| ||||||||||||||||||||||||||||
Скачать ТСЦ Республика Карелия 81-01-2001 Часть IV. Бетонные, железобетонные и керамические изделия. Нерудные материалы. Товарные бетоны и растворы. Территориальный сборник средних сметных цен на материалы, изделия и конструкции, применяемые в строительстве (в пяти частях)Дата актуализации: 10.08.2017
|
| Обозначение: | ТСЦ Республика Карелия 81-01-2001 |
| Обозначение англ: | 81-01-2001 |
| Статус: | действует |
| Название рус.: | Часть IV. Бетонные, железобетонные и керамические изделия. Нерудные материалы. Товарные бетоны и растворы. Территориальный сборник средних сметных цен на материалы, изделия и конструкции, применяемые в строительстве (в пяти частях) |
| Дата добавления в базу: | 01.09.2013 |
| Дата актуализации: | 05.05.2017 |
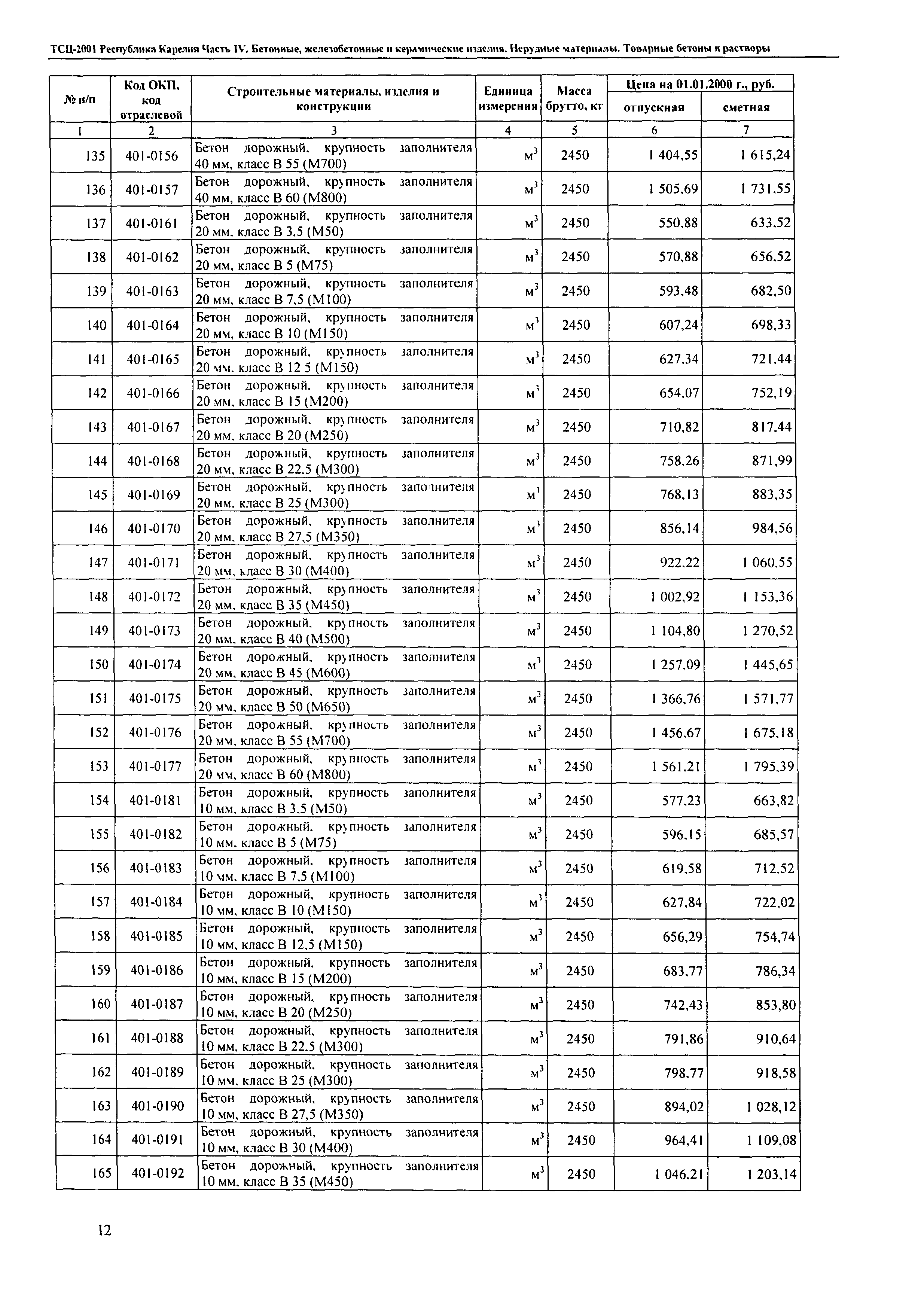
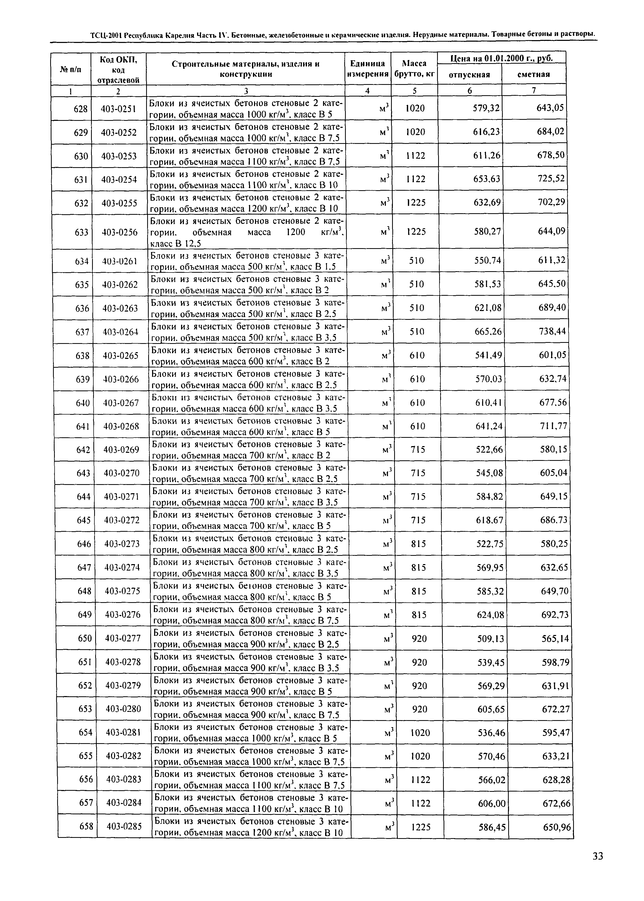
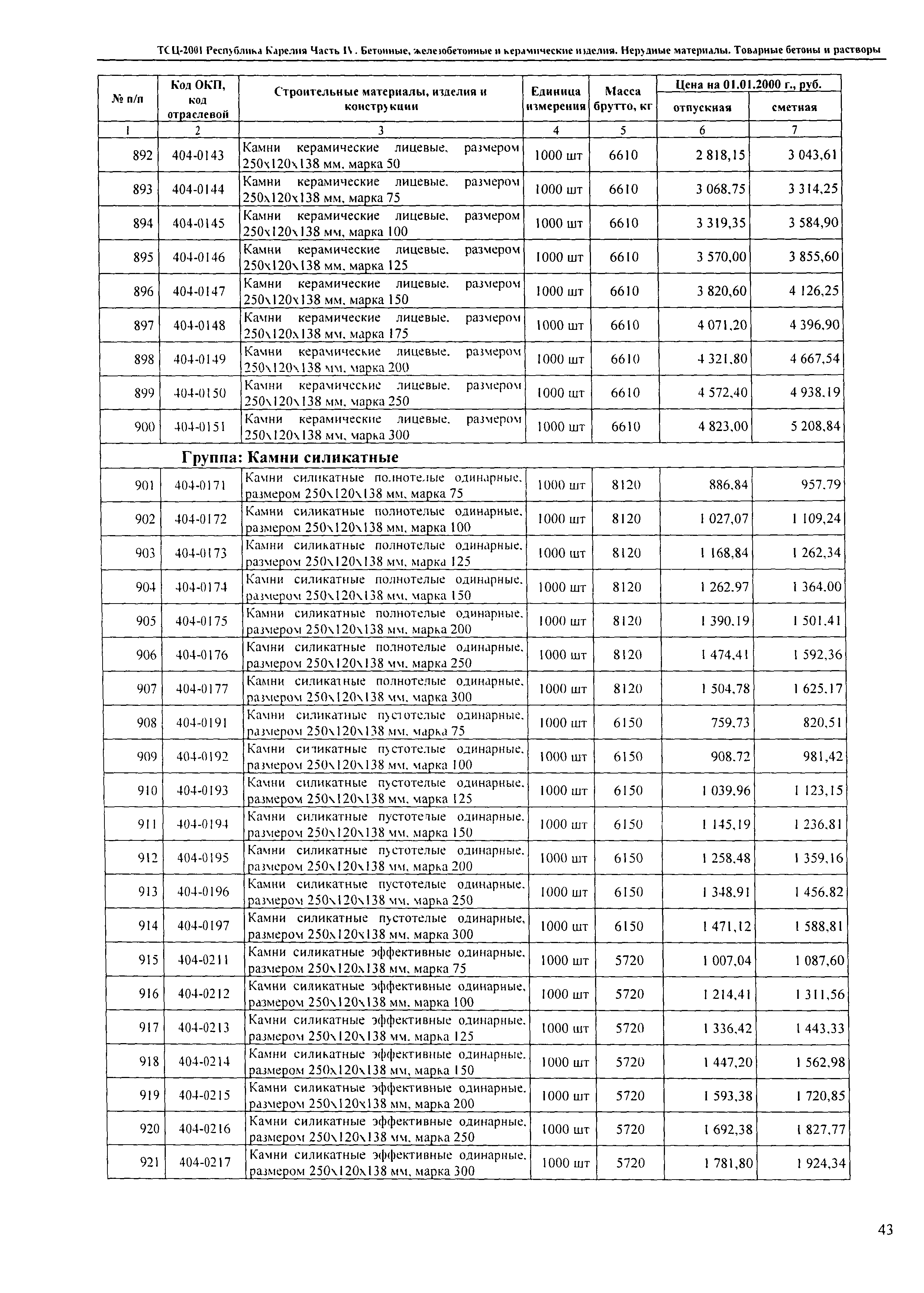
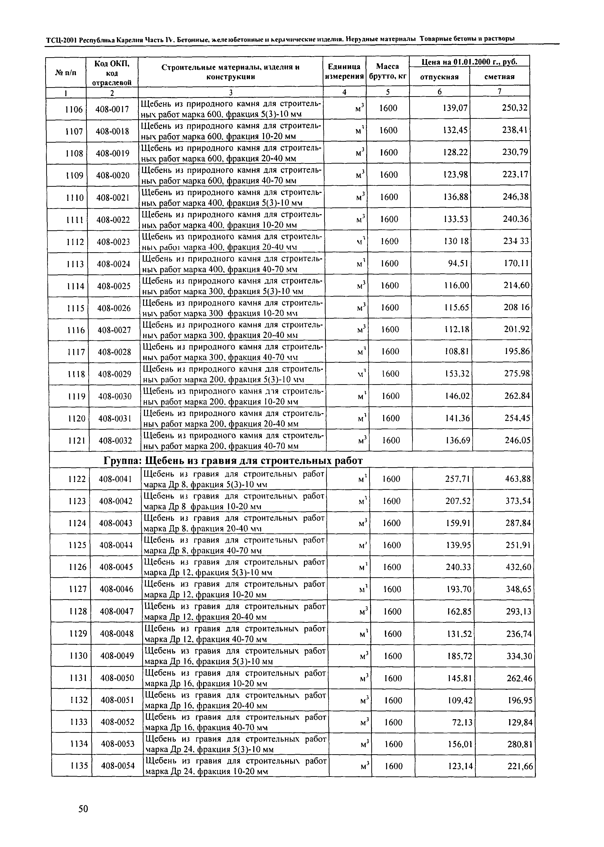
| Оглавление: | Общие положения Техническая часть Отдел I. Местные строительные материалы Раздел 4.01 Бетоны и бетонные сухие смеси Подраздел: Смеси бетонные, готовые к употреблению Группа: Бетон тяжелый Группа: Бетон дорожный Группа: Бетон гидротехнический Группа: Бетон песчаный Группа: Бетон легкий на пористых заполнителях Подраздел: Смеси бетонные сухие Группа: Смеси бетонные сухие тяжелые специализированные Группа: Смеси бетонные сухие легкие Раздел 4.02 Растворы строительные Подраздел: Растворы готовые Группа: Растворы кладочные Группа: Растворы отделочные Подраздел: Смеси сухие Группа: Прочие сухие смеси Группа: Цементно-песчаные смеси специализированные Группа: Цементно-песчаные смеси комплексные для штукатурных работ Раздел 4.03. Бетонные и железобетонные изделия Подраздел: Блоки бетонные Группа: Блоки крупные стеновые Группа: Блоки и камни мелкие стеновые Группа: Блоки из ячеистых бетонов Подраздел: Прочие бетонные изделия Группа: Прочие изделия Группа: Камни сборные бордюрные Группа: Плиты Группа: Панели Группа: Брусчатка Группа: Прочий кирпич Раздел 4.04. Кирпич, камни, черепица Подраздел: Прочее Группа: Черепица Группа: Прочее Подраздел: Кирпич Группа: Прочий кирпич Группа: Кирпич керамический Группа: Кирпич силикатный Подраздел: Камни Группа: Камни керамические Группа: Камни силикатные Раздел 4.05. Известь и вяжущие гипсовые Подраздел: Известь и вяжущие гипсовые Группа: Известь Группа: Прочее Группа: Гипсосодержащие вяжущие Раздел 4.06. Гравий керамзитовый, песок керамзитовый, гравий шунгизитовый, щебень аглопоритовый, другие пористые заполнители Подраздел: Гравий керамзитовый, песок керамзитовый, гравий шунгизитовый, щебень аглопоритовый Группа: Гравий Группа: Песок Группа: Щебень Группа: Керамзит щебневидный, смесь керамзитодробленая Раздел 4.07. Земля, глина, торф, грунт, грунтовые смеси Подраздел: Земля, глина, торф, грунт, грунтовые смеси Группа: Земля, глина, торф, грунт, грунтовые смеси Раздел 4.08 Щебень, гравий, песок, камень бутовый Подраздел: Прочее Группа: Прочее Подраздел: Щебень Группа: Щебень из природного камня для строительных работ Группа: Щебень из гравия для строительных работ Группа: Щебень декоративный из природного камня Группа: Щебень из пористых горных пород Группа: Щебень из серпентинита и серпентинизированного перидотита Группа: Щебень известняковый Подраздел: Материалы из отсевов дробления изверженных и осадочных горных пород Группа: Материалы из отсевов дробления осадочных горных пород Группа: Материалы из отсевов дробления изверженных горных пород Подраздел: Гравий Группа: Гравий для строительных работ Подраздел: Песок Группа: Песок природный для строительных работ Группа: Песок природный обогащенный для строительных работ Группа: Песок прочий Группа: Песок для строительных работ из отсевов дробления Группа: Песок для строительных работ из отсевов дробления, обогащенный Группа: Песок декоративный из природного камня Подраздел: Смесь песчано-гравийная Группа: Смесь песчано-гравийная Подраздел: Камень бутовый Группа: Камень бутовый Подраздел: Готовые песчано-щебеночные смеси Группа: Готовые песчано-щебеночные смеси Раздел 4.09 Щебень, шлак и смеси из металлургических шлаков Подраздел: Шлак, песок, щебень из доменного шлака Группа: Щебень из доменного шлака Подраздел: Щебень и песок пористые из металлургического шлака (шлаковая пемза) Группа: Щебень пористый из металлургического шлака (шлаковая пемза) Группа: Песок пористый из металлургического шлака (шлаковая пемза) Подраздел: Щебень и песок шлаковые для дорожного строительства Группа: Щебень шлаковый для дорожного строительства Группа: Песок шлаковый для дорожного строительства Подраздел: Готовые щебеночно-песчаные смеси из шлаков черной металлургии Группа: Готовые щебеночно-песчаные смеси из шлаков черной металлургии Раздел 4.10 Продукция асфальтобетонная и асфальтобитумная Подраздел: Прочее Группа: Прочее Группа: Щебень черный Подраздел: Смеси асфальтобетонные и асфальтобетон Группа: Смеси асфальтобетонные дорожные, аэродромные и асфальтобетон (горячие и теплые для плотного асфальтобетона мелко и крупнозернистые, песчаные) Группа: Смеси асфальтобетонные дорожные, аэродромные и асфальтобетон (горячие и теплые для пористого асфальтобетона щебеночные и гравийные) Группа: Смеси асфальтобетонные дорожные, аэродромные и асфальтобетон (горячие и теплые для высокопористого асфальтобетона щебеночные и гравийные) Группа: Смеси асфальтобетонные дорожные, аэродромные и асфальтобетон (горячие и теплые для высокопористого асфальтобетона песчаные) Группа: Смеси асфальтобетонные дорожные, аэродромные и асфальтобетон (холодные) Группа: Смеси асфальтобетонные прочие Подраздел: Асфальт литой (жесткий) Группа: Асфальт литой (жесткий) для верхних слоев покрытий проезжей части (жесткий) Группа: Асфальт литой прочий Подраздел: Эмульсия битумно-полимерная Группа: Эмульсия битумно-полимерная Группа: Эмульсия битумно-полимерная быстрораспадающаяся Подраздел: Мастики Группа: Мастики Раздел 4.11 Вода, пар, сжатый воздух, электроэнергия Подраздел: Вода, пар, сжатый воздух, электроэнергия Группа: Вода Группа: Пар Группа: Сжатый воздух Группа: Электроэнергия Раздел 4.12 Материалы облицовочные из природного камня Подраздел: Плиты облицовочные пиленые из природного камня Группа: Изделия архитектурно-строительные из гранита, гранодиорита, габбродиабаза, лабрадорита, кварцита и других прочных пород пиленые Группа: Изделия архитектурно-строительные из мрамора белого, серого и цветного, мраморизованный известняк Группа: Изделия архитектурно-строительные из известняка, доломита, гипсового камня, травертина и конглобрекчии Группа: Изделия архитектурно-строительные из пористых горных пород (ракушечника и туфа) Подраздел: Плиты декоративные на основе природного камня Группа: Плиты декоративные на основе природного камня Группа: Плиты доломитовые Группа: Плиты мраморные Группа: Плиты гранитные и мраморно-гранитные Раздел 4.13 Камни бортовые и стеновые из природного камня Подраздел: Камни бортовые и стеновые из природного камня Группа: Камни бортовые и стеновые из природного камня Раздел 4.14 Материалы для озеленения Подраздел: Материалы для озеленения Группа: Деревья лиственные, крупномерные (с комом земли 1,2x1,2 м), высота 3,5-4 м Группа: Деревья лиственные, повышенный стандарт (с комом земли), высота 3,0-3,5 м Группа: Деревья лиственные, средний размер, высота 3,0-3,5 м Группа: Деревья лиственные, садовые формы, саженцы лиственных деревьев Группа: Деревья хвойные, саженцы хвойных пород Группа: Прочие материалы для озеленения Группа: Кустарники лиственных пород Группа: Хвойные кустарники, высота 0,6-0,7 м Группа: Сортовые розы и сирени, высота 0,3-0,4 м Группа: Семена трав Раздел 4.15 Цементные и гипсовые изделия Подраздел: Цементные и гипсовые изделия Группа: Базы Группа: Балясины Группа: Прочее Группа: Вазы Группа: Гербы Группа: Капители гипсовые Группа: Картуши Группа: Кронштейны и модульоны Группа: Листы Группа: Изделия погонные орнаментованные Группа: Поручни Группа: Розетки потолочные Группа: Сухари Группа: Триглифы Группа: Эмблемы Группа: Капители цементные Отдел II. Сборные железобетонные изделия Раздел 4.41. Конструкции и детали фундаментов Подраздел: Железобетонные изделия Группа: Плиты Группа: Блоки Группа: Фундаменты Группа: Сваи, приставки Группа: Шпунт Группа: Прочие изделия Раздел 4.42. Конструкции и детали каркаса зданий и сооружений Подраздел: Железобетонные изделия Группа: Колонны Группа: Стойки Группа: Опоры Группа: Балки Группа: Прогоны Группа: Ригели Группа: Перемычки Группа: Прочие изделия Раздел 4.43. Конструкции, элементы стен и перегородок Подраздел: Железобетонные изделия Группа: Прочие изделия Группа: Плиты Группа: Панели Группа: Элементы Подраздел: Прочие бетонные изделия Группа: Элементы наружных стен Раздел 4.44. Плиты, панели и настилы перекрытий и покрытий Подраздел: Железобетонные изделия Группа: Плиты Группа: Панели Группа: Настилы Группа: Прочие изделия Раздел 4.45. Конструкции и детали инженерных сооружений Подраздел: Железобетонные изделия Группа: Плиты Группа: Блоки Группа: Панели Группа: Балки Группа: Лотки Группа: Кольца Группа: Колодцы Группа: Утяжелители для трубопроводов Группа: Элементы Группа: Прочие изделия Подраздел: Прочие бетонные изделия Группа: Прочие изделия Раздел 4.46. Конструкции и детали специального назначения Подраздел: Железобетонные изделия Группа: Плиты Группа: Блоки Группа: Панели Группа: Фундаменты Группа: Столбы Группа: Сваи, приставки Группа: Стойки Группа: Лотки Группа: Ригели Группа: Трубы Группа: Шпалы Группа: Опоры Группа: Прочие изделия Подраздел: Прочие бетонные изделия Группа: Камни сборные бордюрные Группа: Плиты Раздел 4.47. Объемные сооружения Подраздел: Железобетонные изделия Группа: Объемные сооружения Раздел 4.48. Архитектурно-строительные элементы зданий и сооружений Подраздел: Железобетонные изделия Группа: Плиты Группа: Панели Группа: Ступени Группа: Марши лестничные Группа: Прочие изделия Подраздел: Прочие бетонные изделия Группа: Плиты |
| Разработан: | ООО РЦЦС Республики Карелия |
| Утверждён: | 17.12.2004 Правительство Республики Карелия (532р-П) |
| Издан: | Госстрой Республики Карелия (2006 г. ) |
| Расположен в: | |
| Нормативные ссылки: |




















































































































































































