Информационная система
«Ёшкин Кот»

Скачать базу одним архивом
Скачать обновления
История создания базы
Карта сайта

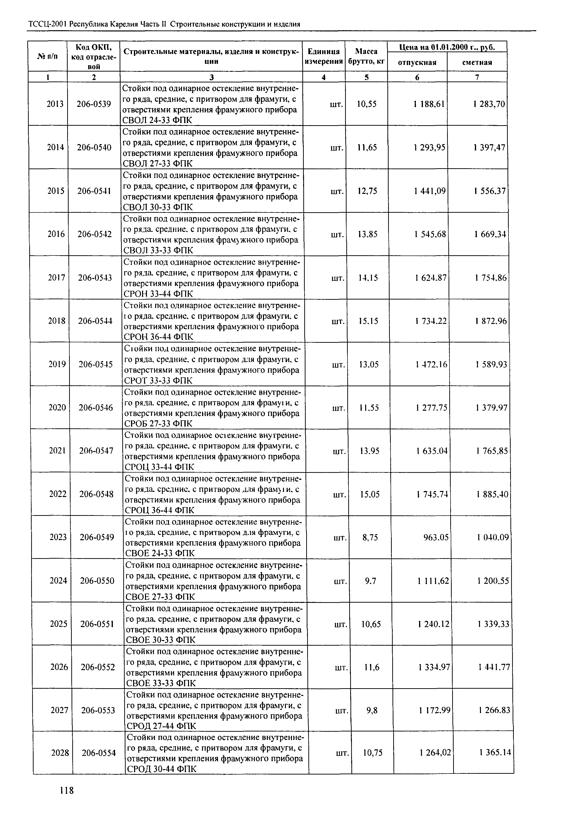
Скачать ТСЦ Республика Карелия 81-01-2001 Часть II. Строительные конструкции и изделия. Территориальный сборник средних сметных цен на материалы, изделия и конструкции, применяемые в строительстве (в пяти частях)

Дата актуализации: 10.08.2017

ТСЦ Республика Карелия 81-01-2001

Часть II. Строительные конструкции и изделия. Территориальный сборник средних сметных цен на материалы, изделия и конструкции, применяемые в строительстве (в пяти частях)

Обозначение: ТСЦ Республика Карелия 81-01-2001
Обозначение англ: 81-01-2001
Статус:действует
Название рус.:Часть II. Строительные конструкции и изделия. Территориальный сборник средних сметных цен на материалы, изделия и конструкции, применяемые в строительстве (в пяти частях)
Дата добавления в базу:01.09.2013
Дата актуализации:05.05.2017
Оглавление:Общие положения
Техническая часть
Раздел 2.01. Строительные конструкции промышленных и сельскохозяйственных зданий, сооружений и мостов
Подраздел: Конструкции легкие металлические
Группа: Каркасы одноэтажных производственных зданий с рамными конструкциями (коробчатого сечения), типа «ОРСК»
Группа: Комплекты (секция СКБ) с пространственной (решетчатой) конструкцией покрытия, типа «КИСЛОВОДСК»
Группа: Комплекты (секция СК) с пространственной (решетчатой) конструкцией покрытия типа «КИСЛОВОДСК»
Группа: Конструкции покрытий производственных зданий с применением профилей замкнутых гнутосварных прямоугольного сечения, типа «МОЛОДЕЧНО»
Группа: Конструкции покрытий пространственных типа «МОСКВА»
Подраздел: Конструкции ограждающие и встроенные для производственных зданий
Группа: Переплеты оконные из одинарных прямоугольных стальных труб и элементы переплетов оконных
Группа: Элементы перегородок каркасных
Группа: Конструкции многослойные облегченные ограждающие
Подраздел: Конструкции стальные ограждающие и встроенные производственных зданий
Группа: Окна с переплетами из гнутосварных профилей
Группа: Окна с переплетами из гнутых замкнутых стальных профилей
Группа: Ригели ветровые
Группа: Прочие стальные ограждающие конструкции производственных зданий
Группа: Лестницы маршевые, площадки и ограждения стальные
Подраздел: Конструкции резервуарные, рулонированные
Группа: Конструкции строительные стальные резервуаров вертикальных цилиндрических для нефти и нефтепродуктов объемом от 100 до 50000 м3, для эксплуатации в районах с температурой -40 С и выше
Группа: Конструкции строительные стальные резервуаров вертикальных цилиндрических для нефти и нефтепродуктов объемом от 100 до 50000 м, для эксплуатации в районах с температурой ниже -40 С до -65 С
Подраздел: Строительные стальные конструкции, изготавливаемые по индивидуальным проектам (чертежам КМ) для зданий одноэтажных производственных
Группа: Основные несущие конструкции Каракаса в зданиях бескрановых или с подвесным транспортом, или с мостовыми кранами до 50 т, пролетами до 36 м, при шаге колонн до 12 м : колонны, опорные плиты, подкрановые балки с тормозными конструкциями, деталями
Группа: Основные несущие конструкции каракаса в зданиях бескрановых или с подвижным транспортом, пролетами 42-48 м или при шаге колонн более 12 м; или с мостовыми кранами грузоподъемностью от 63-160 т при любых пролетах и шаге колонн: колонны, опорные"
Группа: Основные несущие конструкции Каракаса в зданиях бескрановых или с подвесным транспортом, пролетами более 48 м, или с мостовыми кранами грузоподъемностью более 160 т при любом шаге колонн: колонны, опорные плиты, подкрановые балки с тормозными кон
Группа: Основные несущие конструкции каркасов зданий: колонны, опорные плиты, подкрановые балки с тормозными конструкциями, деталями крепления рельсов и тупиками, пути подвесного транспорта, стропильные и подстропильные фермы или балки, надколонники, рас
Группа: Прочие конструкции
Группа: Фонари зенитные
Группа: Площадки встроенные одноярусные и многоярусные для обслуживания и установки оборудования: колонны, балки, связи
Группа: Конструкции для комплектования одноэтажных производственных зданий с применением легких конструкций в покрытии
Подраздел: Прочие конструкции, изделия и материалы
Группа: Прочие конструкции, материалы, изделия и детали
Группа: Конструкции опор башенного типа различного назначения
Группа: Конструкции для газопроводов (газоходы, воздуховоды, стволы дымовых и вытяжных труб)
Группа: Конструкция устройств для хранения сыпучих материалов
Группа: Конструкции емкостей для хранения жидкостей и газов (без арматуры)
Группа: Элементы негабаритных емкостей
Группа: Конструкции для градирен
Группа: Конструкции узлов коксохимических заводов
Группа: Конструкции объектов сельского хозяйства
Группа: Металлические каркасы промышленных печей
Подраздел: Строительные стальные конструкции, изготавливаемые по индивидуальным проектам (чертежам КМ) для зданий многоэтажных производственного и непроизводственного назначения
Группа: Основные несущие конструкции каркасов зданий производственного и непроизводственного назначения высотой до 100 м: колонны, опорные плиты, балки перекрытий под установку оборудования и покрытий, фермы покрытий и междуэтажных перекрытий, связи, фах
Группа: Конструкции каркасов для зданий многоэтажных с железобетонными колоннами, расход стали на 1 м3 суммарной площади этажей здания
Группа: Прочие конструкции
Подраздел: Галереи и эстакады различного назначения
Группа: Галереи транспортерные: пролетные строения, опоры, монорельсы
Группа: Эстакады
Подраздел: Радио и телевизионные мачты, башни, антенные устройства
Группа: Мачты (отдельностоящие или объединенные в системы) в комплекте с реями, вибраторами, консолями, опорными кожухами, лестничными площадками и т.д., высотой до 350 м
Группа: Башни (отдельностоящие или объединенные в системы) в комплекте с вибраторами, каркасами антенн, лестницами, площадками и т.п.
Подраздел: Конструкции, заказываемые и поставляемые для комплектации объектов в виде отдельных сборочных единиц
Группа: Отдельные конструктивные элементы зданий и сооружений (колонны, балки, фермы, связи, ригели, стойки и т.д.)
Группа: Конструктивные элементы вспомогательного назначения
Группа: Прочие индивидуальные сварные конструкции
Группа: Конструктивные элементы мостов
Раздел 2.02. Строительные конструкции гидротехнических сооружений
Подраздел: Строительные конструкции гидротехнических сооружений
Группа: Прочие строительные конструкции гидротехнических сооружений
Группа: Облицовки
Группа: Пути разные
Группа: Траверса
Группа: Трубопроводы
Группа: Части и закладные
Группа: Эстакада
Раздел 2.03. Деревянные конструкции и изделия
Подраздел: Блоки оконные деревянные для жилых, общественных и производственных зданий
Группа: Блоки оконные с двойным остеклением со спаренными створками для жилых зданий
Группа: Блоки оконные с двойным остеклением с раздельными створками для жилых зданий
Группа: Блоки оконные с двойным остеклением со спаренными створками для общественных зданий
Группа: Блоки оконные с двойным остеклением с раздельными створками для общественных зданий
Группа: Блоки оконные с тройным остеклением с раздельно-спаренными створками для общественных зданий
Группа: Блоки оконные с двойным остеклением с раздельными створками для малоэтажных жилых домов
Группа: Блоки оконные с тройным остеклением с раздельно-спаренными створками для малоэтажных жилых домов
Группа: Блоки оконные разные
Группа: Блоки оконные для зданий промышленных предприятий
Группа: Блоки оконные для зданий сельскохозяйственных предприятий
Подраздел: Блоки балконные дверные деревянные для жилых и общественных зданий
Группа: Блоки балконные дверные деревянные для жилых зданий
Группа: Блоки балконные дверные деревянные для малоэтажных жилых домов
Группа: Блоки балконные дверные деревянные с двойным и тройным остеклением для общественных зданий
Подраздел: Блоки дверные деревянные для жилых, общественных и производственных зданий
Группа: Блоки дверные деревянные внутренние для жилых и общественных зданий
Группа: Блоки дверные деревянные наружные для жилых и общественных зданий. Блоки дверные входные и тамбурные с полотнами под остекление и защищенными полосами в нижней части полотна
Группа: Блоки дверные деревянные наружные для жилых и общественных зданий. Блоки дверные служебные с щитовыми глухими полотнами со сплошным заполнением щита, облицованные твердыми древесноволокнистыми плитами
Группа: Блоки дверные деревянные наружные для жилых и общественных зданий. Люки и лазы со щитовыми полотнами утепленные минераловатной плитой с деревянной обшивкой и защитой оцинкованной сталью полотен и коробок
Группа: Блоки дверные деревянные производственных зданий (промышленных и сельскохозяйственных предприятий)
Подраздел: Сборочные элементы оконных блоков
Группа: Створки оконные для жилых зданий
Группа: Прочие элементы оконных блоков
Группа: Створки оконные для общественных зданий
Группа: Створки оконные для производственных зданий
Группа: Переплеты оконные
Подраздел: Сборочные элементы дверных блоков
Группа: Полотна для блоков дверных (щитовых)
Группа: Полотна для блоков дверных входных и тамбурных
Группа: Полотна для блоков дверных служебных
Группа: Полотна люков и лазов
Группа: Полотна для блоков дверных производственных зданий (промышленных и сельскохозяйственных предприятий)
Группа: Полотна для дверных блоков разных
Подраздел: Коробки оконные и дверные
Группа: Коробки оконные
Группа: Коробки дверные и люков деревянные
Группа: Прочие элементы коробок оконных и дверных
Подраздел: Детали профильные из древесных материалов для строительства
Группа: Доски для покрытия полов со шпунтом и гребнем из древесины антисептированные
Группа: Бруски для покрытия полов со шпунтом и гребнем из древесины
Группа: Плинтусы из древесины
Группа: Наличники из древесины
Группа: Поручни из древесины
Группа: Обшивка наружная и внутренняя из древесины
Группа: Доски подоконные из древесины облицованные сверхтвердой древесноволокнистой плитой или водостойкой фанерой
Группа: Шашки деревянные для торцовых полов, типы 1 и 2, высотой 60 и 80 мм
Группа: Лаги половые антисептированные, применяемые в строительстве жилых, общественных и производственных зданий при производстве деревянных полов
Подраздел: Ворота деревянные распашные для производственных зданий и сооружений с полотнами из деревянных каркасов, с металлическими навесами и накладками, нижняя часть ворот защищена полосами из оцинкованной стали
Группа: Ворота утепленные
Группа: Ворота неутепленные
Группа: Элементы вороти калиток
Подраздел: Конструкции деревянные клееные без металлических изделий
Группа: Прямолинейные клееные конструкции
Группа: Гнутоклееные конструкции
Подраздел: Балки перекрытий деревянные, предназначенные для устройства чердачных, междуэтажных и цокольных перекрытий в одно- двухэтажных жилых и одноэтажных общественных зданиях
Группа: Антисептированные балки из цельной древесины
Группа: Балки из цельной древесины на клею ФРФ-50
Подраздел: Щиты перекрытий деревянные для малоэтажных домов
Группа: Щиты нефрезерованные, антисептированные, толщиной 73 мм, с поперечными планками и подкладками под планки, длиной 1200, 1500, 1800, 2100 мм
Подраздел: Элементы и детали встроенных и антресольных шкафов каркасной конструкции для жилых зданий
Группа: Блоки дверные шкафные и антресольные с накладными полотнами из древесностружечных плит, навешенными на рамки из древесины хвойных пород с фурнитурой (петли, ручки-скобы, защелки)
Группа: Стенки шкафов и антресолей задние, состоящие из полотен из древесностружечных плит, прикрепленных к рамкам из древесины хвойных и лиственных пород
Группа: Прочие элементы шкафов и антресолей
Подраздел: Разные изделия и конструкции
Группа: Разные изделия и конструкции
Группа: Доски для покрытия полов
Подраздел: Опалубка разборно-переставная мелкощитовая инвентарная
Группа: Щиты опалубки
Раздел 2.04. Арматура товарная для монолитных железобетонных конструкций
Подраздел: Арматура товарная для монолитных железобетонных конструкций
Группа: Горячекатаная арматурная сталь
Группа: Проволока арматурная из низкоуглеродистой стали
Группа: Прочее
Группа: Надбавки к ценам заготовок за сборку и сварку каркасов и сеток
Группа: Надбавки на сварку каркасов из листов, полос, уголков, швеллеров и двутавров
Группа: Анкерные детали
Группа: Детали закладные и накладные
Группа: Арматурные сетки, пакеты, каркасы
Раздел 2.05. Литые конструкции промышленных печей и труб
Подраздел: Литые конструкции промышленных печей и труб
Группа: Футеровочные плиты
Группа: Прочие элементы
Группа: Плиты охлаждения
Раздел 2.06. Алюминиевые конструкции
Подраздел: Окна и двери балконные из алюминиевых сплавов для общественных зданий
Группа: Окна
Группа: Двери балконные
Группа: Комплекты элементов вертикального примыкания
Группа: Комплекты элементов горизонтального примыкания
Группа: Комплект элементов горизонтального и вертикального примыкания
Группа: Алюминиевая часть деревянно-алюминиевых окон
Группа: Алюминиевая часть деревянно-алюминиевых балконных дверей
Группа: Детали стыковки и элементы блокировки для окон
Группа: Комплекты элементов обрамления для окон и дверей
Группа: Нащельники для окон
Подраздел: Двери из алюминиевых сплавов для общественных зданий
Группа: Двери
Группа: Комплекты нащельников и деталей для крепления дверей
Группа: Двери качающиеся
Подраздел: Витражи, витрины
Группа: Стойки под одинарное остекление
Группа: Стойки под двойное остекление
Группа: Ригели
Группа: Фрамуги
Группа: Рамы
Группа: Нащельники
Группа: Прочие элементы
Подраздел: Тамбуры
Группа: Тамбурные рамы
Группа: Створки тамбурные (в сборе)
Группа: Комплекты линейных элементов для рам (блоков) тамбуров
Группа: Стойки, ригели
Подраздел: Панели
Группа: Панели
Группа: Полотно ворот
Группа: Вставки
Подраздел: Перегородки
Группа: Каркасы
Группа: Комплекты элементов примыкания и стыка каркасов панельных перегородок
Подраздел: Потолки подвесные
Группа: Комплекты элементов потолков
Группа: Прочие элементы подвесных потолков
Подраздел: Ограждения балконов, лоджий, лестниц
Группа: Экраны ограждений
Группа: Поручни
Подраздел: Конструкции декоративно-облицовочные
Группа: Прочие конструкции декоративно-облицовочные
Группа: Нащельник для стыков панелей
Подраздел: Профили холодногнутые
Группа: Профили холодногнутые
Подраздел: Мачты для радиорелейной связи
Группа: Мачты для радиорелейной связи
Подраздел: Конструкции и изделия прочие
Группа: Конструкции
Разработан: ООО РЦЦС Республики Карелия
Утверждён:17.12.2004 Правительство Республики Карелия (532р-П)
Издан: Госстрой Республики Карелия (2005 г. )
Расположен в:Техническая документация Экология СТРОИТЕЛЬНЫЕ МАТЕРИАЛЫ И СТРОИТЕЛЬСТВО Строительная промышленность Стоимость строительства и обслуживания зданий и сооружений -50 Стоимость строительных и строительно-монтажных работ Строительство Нормативные документы Нормативные документы субъектов Российской Федерации Нормативные документы Республики Карелия Документы Системы нормативных документов в строительстве Нормативные документы по экономике к.81 Ценообразование и сметы Классификатор ISO Нормативные документы по экономике Ценообразование и сметы
Нормативные ссылки:
ТСЦ Республика Карелия 81-01-2001ТСЦ Республика Карелия 81-01-2001ТСЦ Республика Карелия 81-01-2001ТСЦ Республика Карелия 81-01-2001ТСЦ Республика Карелия 81-01-2001ТСЦ Республика Карелия 81-01-2001ТСЦ Республика Карелия 81-01-2001ТСЦ Республика Карелия 81-01-2001ТСЦ Республика Карелия 81-01-2001ТСЦ Республика Карелия 81-01-2001ТСЦ Республика Карелия 81-01-2001ТСЦ Республика Карелия 81-01-2001ТСЦ Республика Карелия 81-01-2001ТСЦ Республика Карелия 81-01-2001ТСЦ Республика Карелия 81-01-2001ТСЦ Республика Карелия 81-01-2001ТСЦ Республика Карелия 81-01-2001ТСЦ Республика Карелия 81-01-2001ТСЦ Республика Карелия 81-01-2001ТСЦ Республика Карелия 81-01-2001ТСЦ Республика Карелия 81-01-2001ТСЦ Республика Карелия 81-01-2001ТСЦ Республика Карелия 81-01-2001ТСЦ Республика Карелия 81-01-2001ТСЦ Республика Карелия 81-01-2001ТСЦ Республика Карелия 81-01-2001ТСЦ Республика Карелия 81-01-2001ТСЦ Республика Карелия 81-01-2001ТСЦ Республика Карелия 81-01-2001ТСЦ Республика Карелия 81-01-2001ТСЦ Республика Карелия 81-01-2001ТСЦ Республика Карелия 81-01-2001ТСЦ Республика Карелия 81-01-2001ТСЦ Республика Карелия 81-01-2001ТСЦ Республика Карелия 81-01-2001ТСЦ Республика Карелия 81-01-2001ТСЦ Республика Карелия 81-01-2001ТСЦ Республика Карелия 81-01-2001ТСЦ Республика Карелия 81-01-2001ТСЦ Республика Карелия 81-01-2001ТСЦ Республика Карелия 81-01-2001ТСЦ Республика Карелия 81-01-2001ТСЦ Республика Карелия 81-01-2001ТСЦ Республика Карелия 81-01-2001ТСЦ Республика Карелия 81-01-2001ТСЦ Республика Карелия 81-01-2001ТСЦ Республика Карелия 81-01-2001ТСЦ Республика Карелия 81-01-2001ТСЦ Республика Карелия 81-01-2001ТСЦ Республика Карелия 81-01-2001ТСЦ Республика Карелия 81-01-2001ТСЦ Республика Карелия 81-01-2001ТСЦ Республика Карелия 81-01-2001ТСЦ Республика Карелия 81-01-2001ТСЦ Республика Карелия 81-01-2001ТСЦ Республика Карелия 81-01-2001ТСЦ Республика Карелия 81-01-2001ТСЦ Республика Карелия 81-01-2001ТСЦ Республика Карелия 81-01-2001ТСЦ Республика Карелия 81-01-2001ТСЦ Республика Карелия 81-01-2001ТСЦ Республика Карелия 81-01-2001ТСЦ Республика Карелия 81-01-2001ТСЦ Республика Карелия 81-01-2001ТСЦ Республика Карелия 81-01-2001ТСЦ Республика Карелия 81-01-2001ТСЦ Республика Карелия 81-01-2001ТСЦ Республика Карелия 81-01-2001ТСЦ Республика Карелия 81-01-2001ТСЦ Республика Карелия 81-01-2001ТСЦ Республика Карелия 81-01-2001ТСЦ Республика Карелия 81-01-2001ТСЦ Республика Карелия 81-01-2001ТСЦ Республика Карелия 81-01-2001ТСЦ Республика Карелия 81-01-2001ТСЦ Республика Карелия 81-01-2001ТСЦ Республика Карелия 81-01-2001ТСЦ Республика Карелия 81-01-2001ТСЦ Республика Карелия 81-01-2001ТСЦ Республика Карелия 81-01-2001ТСЦ Республика Карелия 81-01-2001ТСЦ Республика Карелия 81-01-2001ТСЦ Республика Карелия 81-01-2001ТСЦ Республика Карелия 81-01-2001ТСЦ Республика Карелия 81-01-2001ТСЦ Республика Карелия 81-01-2001ТСЦ Республика Карелия 81-01-2001ТСЦ Республика Карелия 81-01-2001ТСЦ Республика Карелия 81-01-2001ТСЦ Республика Карелия 81-01-2001ТСЦ Республика Карелия 81-01-2001ТСЦ Республика Карелия 81-01-2001ТСЦ Республика Карелия 81-01-2001ТСЦ Республика Карелия 81-01-2001ТСЦ Республика Карелия 81-01-2001ТСЦ Республика Карелия 81-01-2001ТСЦ Республика Карелия 81-01-2001ТСЦ Республика Карелия 81-01-2001ТСЦ Республика Карелия 81-01-2001ТСЦ Республика Карелия 81-01-2001ТСЦ Республика Карелия 81-01-2001ТСЦ Республика Карелия 81-01-2001ТСЦ Республика Карелия 81-01-2001ТСЦ Республика Карелия 81-01-2001ТСЦ Республика Карелия 81-01-2001ТСЦ Республика Карелия 81-01-2001ТСЦ Республика Карелия 81-01-2001ТСЦ Республика Карелия 81-01-2001ТСЦ Республика Карелия 81-01-2001ТСЦ Республика Карелия 81-01-2001ТСЦ Республика Карелия 81-01-2001ТСЦ Республика Карелия 81-01-2001ТСЦ Республика Карелия 81-01-2001ТСЦ Республика Карелия 81-01-2001ТСЦ Республика Карелия 81-01-2001ТСЦ Республика Карелия 81-01-2001ТСЦ Республика Карелия 81-01-2001ТСЦ Республика Карелия 81-01-2001ТСЦ Республика Карелия 81-01-2001ТСЦ Республика Карелия 81-01-2001ТСЦ Республика Карелия 81-01-2001ТСЦ Республика Карелия 81-01-2001ТСЦ Республика Карелия 81-01-2001ТСЦ Республика Карелия 81-01-2001ТСЦ Республика Карелия 81-01-2001ТСЦ Республика Карелия 81-01-2001ТСЦ Республика Карелия 81-01-2001ТСЦ Республика Карелия 81-01-2001ТСЦ Республика Карелия 81-01-2001ТСЦ Республика Карелия 81-01-2001ТСЦ Республика Карелия 81-01-2001ТСЦ Республика Карелия 81-01-2001ТСЦ Республика Карелия 81-01-2001ТСЦ Республика Карелия 81-01-2001ТСЦ Республика Карелия 81-01-2001ТСЦ Республика Карелия 81-01-2001ТСЦ Республика Карелия 81-01-2001ТСЦ Республика Карелия 81-01-2001ТСЦ Республика Карелия 81-01-2001ТСЦ Республика Карелия 81-01-2001ТСЦ Республика Карелия 81-01-2001ТСЦ Республика Карелия 81-01-2001ТСЦ Республика Карелия 81-01-2001ТСЦ Республика Карелия 81-01-2001ТСЦ Республика Карелия 81-01-2001ТСЦ Республика Карелия 81-01-2001ТСЦ Республика Карелия 81-01-2001ТСЦ Республика Карелия 81-01-2001ТСЦ Республика Карелия 81-01-2001ТСЦ Республика Карелия 81-01-2001ТСЦ Республика Карелия 81-01-2001ТСЦ Республика Карелия 81-01-2001ТСЦ Республика Карелия 81-01-2001ТСЦ Республика Карелия 81-01-2001ТСЦ Республика Карелия 81-01-2001ТСЦ Республика Карелия 81-01-2001ТСЦ Республика Карелия 81-01-2001ТСЦ Республика Карелия 81-01-2001ТСЦ Республика Карелия 81-01-2001

© 2013 Ёшкин Кот :-) Карта сайта