| ||||||||||||||||||||||||||||||
Скачать ТСЦ Республика Карелия 81-01-2001 Часть I. Материалы для общестроительных работ. Территориальный сборник средних сметных цен на материалы, изделия и конструкции, применяемые в строительстве (в пяти частях)Дата актуализации: 10.08.2017
|
| Обозначение: | ТСЦ Республика Карелия 81-01-2001 |
| Обозначение англ: | 81-01-2001 |
| Статус: | действует |
| Название рус.: | Часть I. Материалы для общестроительных работ. Территориальный сборник средних сметных цен на материалы, изделия и конструкции, применяемые в строительстве (в пяти частях) |
| Дата добавления в базу: | 01.09.2013 |
| Дата актуализации: | 05.05.2017 |
| Область применения: | Территориальный сборник средних сметных цен на материалы, изделия и конструкции предназначен для определения сметной стоимости строительно-монтажных работ, а также при разработке Территориальных единичных расценок на строительные, монтажные и ремонтно-строительные работы. |
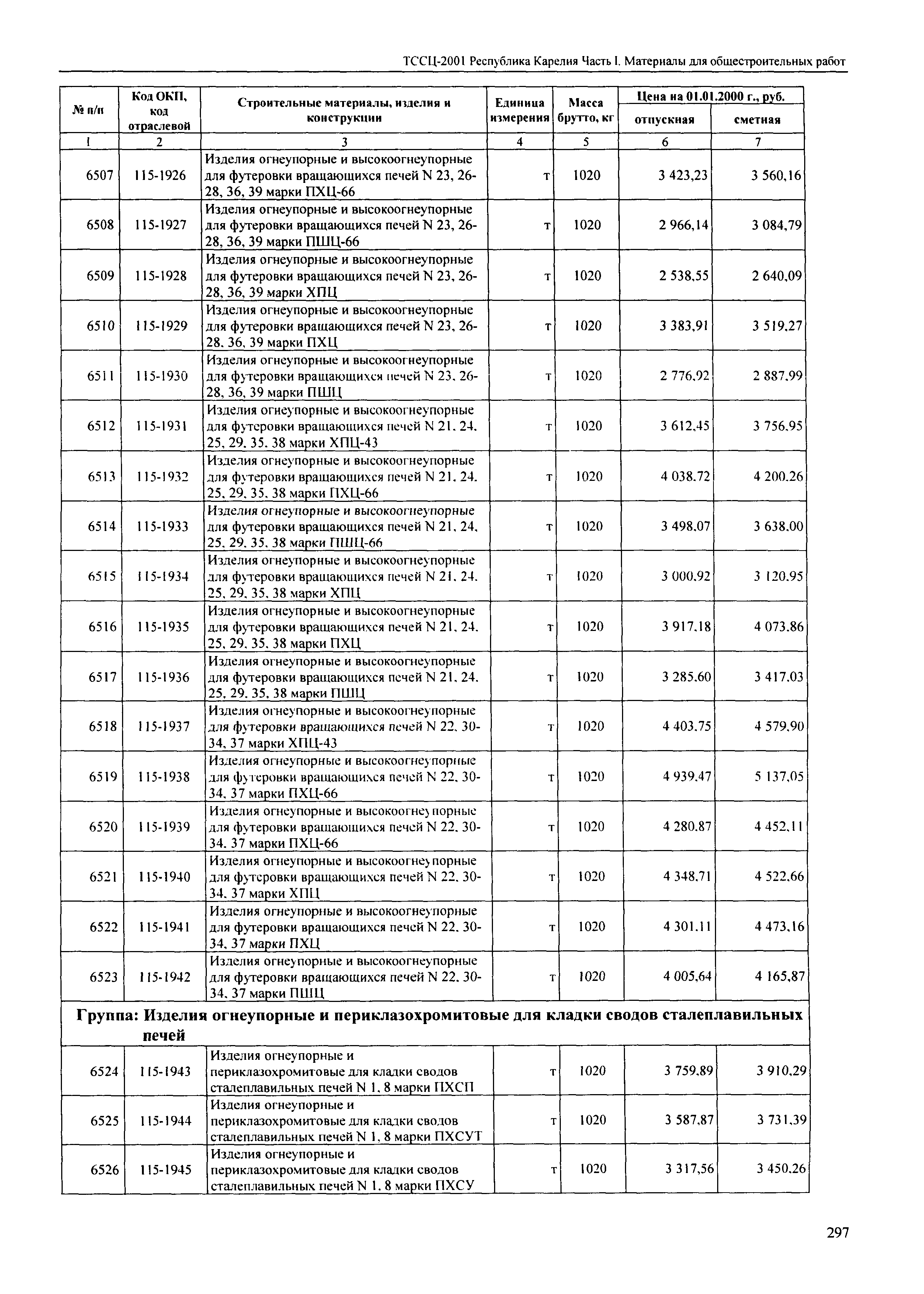
| Оглавление: | Общие положения Техническая часть Раздел 1.01. Материалы для общестроительных работ Подраздел: Материалы асбестосодержащие Группа: Асбест Группа: Асботекстолит Группа: Асбестовая бумага Группа: Асбестовое волокно Группа: Асбестовый картон Группа: Асбестовый шнур Группа: Листы, плиты асбестоцементные Подраздел: ГСМ, специальные жидкости, газы технические и реактивы Группа: Газы технические Группа: Бензин Группа: Бисульфит натрия Группа: Бура Группа: Глицерин Группа: Канифоль Группа: Карбид Группа: Керосин Группа: Кислоты Группа: Концентраты Группа: Креолин Группа: Купорос Группа: Магний Группа: Мазут Группа: Масла Группа: Натр едкий Группа: Нашатырь Группа: Сера Группа: Скипидар Группа: Смазка Группа: Сода кальцинированная Группа: Толуол Группа: Уайт-спирит Группа: Топливо дизельное Группа: Топливо моторное Группа: Кальций хлористый Группа: Петролатум окисленный Группа: Спирты Группа: Магний хлористый Группа: Карборунд Подраздел: Прочие материалы и изделия для общестроительных работ Группа: Баббиты Группа: Бакелит Группа: Блоки Группа: Бумага, калька Группа: Бязь Группа: Веревка Группа: Воск Группа: Дисперсии Группа: Замазки Группа: Зеркала Группа: Плитки стеклянные Группа: Канаты Группа: Каболка Группа: Картон Группа: Термопрен Группа: Листы латунные Группа: Марля Группа: Мешки Группа: Миткаль Группа: Мыло Группа: Опилки Группа: Парафин Группа: Парусина Группа: Пек Группа: Пемза шлаковая Группа: Полистирол Группа: Поручень Группа: Роли свинцовые Группа: Сиккатив Группа: Уголь древесный Группа: Уголь каменный Группа: Фольга алюминиевая Группа: Цепи якорные Группа: Шнуры Группа: Шпагаты Группа: Доски электротехнические Группа: Плиты подоконные Группа: Кубовый остаток Группа: Шкурка шлифовальная Группа: Брезент Группа: Батист Группа: Мадаполам Группа: Круг отрезной Группа: Круги шлифовальные, абразивные Группа: Рогожа Группа: Очес льняной Группа: Патроны Группа: Войлок Группа: Пакля Группа: Сопла Группа: Устройства отбойные Группа: Покрышки автомобильные для отбойных устройств Группа: Скоба концевая Группа: Звено соединительное Группа: Цепь-звено общее Группа: Ветошь Группа: Тальк Группа: Ткань Группа: Порошок минеральный Группа: Решетки для приямков Группа: Сверла кольцевые алмазные Группа: Пена монтажная Группа: Прочие материалы, не вошедшие в позиции группы Группа: Камень Группа: Прокладки Группа: Решетки вентиляционные Группа: Компаунд Группа: Нитки Группа: Рукава металлические Группа: Добавки Группа: Вата Подраздел: Битумы и битумная продукция Группа: Битумы Группа: Битумы нефтяные кровельные Группа: Гудрон Группа: Битумы нефтяные дорожные Группа: Эмульсия битумная Подраздел: Метизы Группа: Болты Группа: Винты Группа: Гайки Группа: Гвозди Группа: Дюбели Группа: Заклепки Группа: Шпильки Группа: Шурупы Группа: Закрепы Группа: Шайбы Подраздел: Материалы для устройства кровели и гидроизоляции Группа: Герметик Группа: Гидростеклоизол Группа: Изол Группа: Пергамин Группа: Рубероид Группа: Стеклорубероид Группа: Гидроизол Группа: Холст стеклянный Группа: Пороизол Группа: Гернит Группа: Толь Группа: Бризол Группа: Прокладка герметизирующая Группа: Материалы кровельные Группа: Черепица Подраздел: Известь и вяжущие материалы Группа: Вяжущие Группа: Известь Группа: Мел Группа: Портландцемент Группа: Шлакопортландцемент Группа: Цемент Подраздел: Материалы отделочные Группа: Грунтовки Группа: Клей Группа: Линкруст Группа: Паста меловая Группа: Пластики Группа: Плиты фибролитовые Группа: Плиты фильтрующие Группа: Плиты цементно-стружечные Группа: Церезин Группа: Шпатлевка Группа: Панели Группа: Панели для перегородок Группа: Дерматин Группа: Композиция Группа: Плитки кумароновые Группа: Обои Группа: Листы и плиты облицовочные, декоративные Подраздел: Изделия керамические Группа: Плитки керамические глазурованные для внутренней облицовки стен Группа: Плитки керамические фасадные Группа: Плитки керамические для полов Группа: Прокладки дистанционные Группа: Плитка разная Группа: Изразцы керамические Подраздел: Резинотехнические изделия Группа: Резина Группа: Пластины Группа: Резина листовая Группа: Шнуры резиновые Группа: Прокладки резиновые Группа: Прочие резинотехнические изделия Подраздел: Материалы лакокрасочные Группа: Прочие краски Группа: Краски водно-дисперсионные Группа: Краски масляные и алкидные густотертые. Белила Группа: Краски масляные и алкидные, готовые к применению Группа: Краски порошковые Группа: Лаки бакелитовые Группа: Лаки каменноугольные Группа: Лаки меламинные Группа: Лаки мочевинные Группа: Лаки полиакриловые Группа: Лаки поливинилацетатные Группа: Олифа Группа: Отвердитель Группа: Пудра алюминиевая Группа: Пудра бронзовая Группа: Разбавитель Группа: Растворители Группа: Эмаль Группа: Лаки прочие Группа: Латекс Группа: Краска огнезащитная Группа: Краска БТ Группа: Грунтовки Группа: Краски силикатные Группа: Пигмент Группа: Прочее Группа: Охра Подраздел: Ленты Группа: Лента стальная Группа: Лента разная Подраздел: Материалы для устройства полов Группа: Линолеум Группа: Покрытие Группа: Плитка Группа: Плиты чугунные Группа: Плинтусы для полов из пластиката Подраздел: Мастики, пасты Группа: Мастика бутилкаучуковая Группа: Мастика битумная Группа: Мастика герметизирующая Группа: Паста герметизирующая Группа: Мастика клеящая Группа: Мастика тиоколовая Группа: Мастика сланцевая Группа: Паста огнезащитная Группа: Паста антисептическая Группа: Прочие мастики Подраздел: Плиты Группа: Древесноволокнистые Группа: Древесностружечные Группа: Плиты из шлакоситалла Группа: Плиты прочие Подраздел: Материалы гипсосодержащие Группа: Плиты гипсовые Группа: Листы и панели гипсокартонные Группа: Панели гипсобетонные Группа: Плиты гипсоволокнистые Подраздел: Сталь разная Группа: Поковки Группа: Проволока Группа: Сетка Группа: Стружка стальная Группа: Сталь круглая Группа: Сталь листовая Группа: Сталь полосовая Группа: Сталь шестигранная Группа: Сталь кровельная Подраздел: Материалы для дорожного строительства Группа: Полотно иглопробивное Группа: Асидол Группа: Дегти Группа: Пленка для дорожных знаков Группа: Пленкообразующие материалы для дорожных работ Группа: Смолы Подраздел: Металлопрокат Группа: Профили гнутые Группа: Сортовой и фасонный горячекатаный прокат Группа: Балки двутавровые Группа: Швеллеры Группа: Двутавры Группа: Просечно-вытяжной прокат Группа: Широкополосный прокат Группа: Угловой прокат Группа: Рифленый прокат Группа: Толстолистовой прокат Группа: Тонколистовой прокат Группа: Оцинкованный прокат Группа: Профили фасонные Группа: Прокат для армирования Группа: Сталь листовая Группа: Круглый прокат Группа: Прочий металлопрокат Подраздел: Скобяные изделия Группа: Скобы такелажные Группа: Скобяные изделия Подраздел: Стекло строительное и изделия Группа: Стекло листовое Группа: Стекло армированное Группа: Стекло закаленное Группа: Стеклянные полотна Группа: Стекло профильное Группа: Сетка стеклянная Группа: Стеклопакеты Группа: Стекло витринное Подраздел: Материалы для сварочных работ Группа: Электроды Группа: Пруток сварочный Раздел 1.02. Лесоматериалы Подраздел: Лесоматериалы круглые хвойных пород Группа: Сваи Группа: Опоры Группа: Подтоварник Группа: Жерди Группа: Стойки Группа: Мачты Подраздел: Прочие лесоматериалы Группа: Пластины и планки Группа: Дрова Группа: Паркет Группа: Доски паркетные Группа: Щиты паркетные Группа: Фанера Группа: Заготовки Группа: Прочее Группа: Дрань Подраздел: Лесоматериалы круглые березовые и мягких лиственных пород Группа: Строительные брёвна Группа: Подтоварник Группа: Жерди Подраздел: Пиломатериалы хвойных пород Группа: Бруски и брусья обрезные Группа: Бруски и брусья необрезные Группа: Доски обрезные Группа: Доски необрезные Группа: Горбыль Группа: Обапол Подраздел: Пиломатериалы мягких лиственных пород: берёза и липа Группа: Бруски обрезные Группа: Доски обрезные Группа: Доски необрезные Подраздел: Пиломатериалы осина, ольха, тополь и другие мягкие породы Группа: Бруски обрезные Группа: Доски обрезные Группа: Доски необрезные Раздел 1.03. Трубы стальные, чугунные, асбестоцементные и керамические и пульпопроводные Подраздел: Трубы полиэтиленовые Группа: Трубы полиэтиленовые дренажные Подраздел: Трубы стальные сварные водогазопроводные с резьбой чёрные Группа: Чёрные легкие Группа: Чёрные обыкновенные Группа: Чёрные усиленные Подраздел: Трубы стальные сварные водогазопроводные с резьбой оцинкованные Группа: Оцинкованные легкие Группа: Оцинкованные обыкновенные Группа: Оцинкованные усиленные Подраздел: Фасонные соединительные части и прочие изделия Группа: Угольники Группа: Тройники из ковкого чугуна Группа: Кресты из ковкого чугуна Группа: Муфты Группа: Контргайки из ковкого чугуна Группа: Кольца резиновые Группа: Фасонные чугунные соединительные части Группа: Люки и лазы Группа: Раструбные соединения Группа: Быстроразъемные соединения Группа: Фасонные стальные сварные части Подраздел: Трубы стальные электросварные Группа: Прямошовные диаметром от 20 до 377 мм Группа: Прямошовные и спирально-шовные больших диаметров Группа: Трубы стальные электросварные Подраздел: Трубы стальные бесшовные Группа: Горячедеформированные Группа: Обсадные Подраздел: Трубы бурильные Группа: Трубы бурильные Группа: Муфты к трубам бурильным Подраздел: Трубы чугунные напорные Группа: Раструбные Группа: Фланцевые Группа: Трубы под резиновые уплотнительные манжеты Подраздел: Трубы асбестоцементные Группа: Класса ВТ-6 Группа: Класса ВТ-9 Группа: Класса ВТ-12 Группа: Класса ВТ-15 Группа: Безнапорные Группа: Муфты асбестоцементные Группа: Прочие асбестоцементные трубы Подраздел: Трубы керамические Группа: Канализационные Группа: Кислотоупорные Группа: Дренажные Подраздел: Трубы стальные сварные для магистральных газонефтепроводов Группа: Наружный диаметр 159 мм Группа: Наружный диаметр 168 мм Группа: Наружный диаметр 219 мм Группа: Наружный диаметр 245 мм Группа: Наружный диаметр 273 мм Группа: Наружный диаметр 325 мм Группа: Наружный диаметр 377 мм Группа: Наружный диаметр 426 мм Группа: Наружный диаметр 530 мм класса прочности К 52 Группа: Наружный диаметр 630 мм класса прочности К 52 Группа: Наружный диаметр 720 мм класса прочности К 52 Группа: Наружный диаметр 820 мм класса прочности К 52 Группа: Наружный диаметр 219 мм класса прочности К 42 Группа: Наружный диаметр 273 мм класса прочности К 42 Группа: Наружный диаметр 325 мм класса прочности К 42 Группа: Наружный диаметр 426 мм класса прочности К 42 Группа: Наружный диаметр 1220 мм класса прочности К 52 Группа: Наружный диаметр 1020 мм класса прочности К 52 Группа: Наружный диаметр 820 мм класса прочности К 60 Группа: Наружный диаметр 1020 мм класса прочности К 60 Группа: Наружный диаметр 1220 мм класса прочности К 60 Группа: Наружный диаметр 1420 мм класса прочности К 60 Подраздел: Трубы прочие Группа: Прочие трубы Раздел 1.04. Материалы для теплоизоляционных работ Подраздел: Разные теплоизоляционные материалы Группа: Асбозурит Группа: Фольга алюминиевая Группа: Стеклопластик рулонный Группа: Холсты стекловолокнистые Группа: Скорлупы Группа: Сегменты Группа: Муллитокремнеземистый рулонный материал Группа: Муллитокремнеземистый войлок Группа: Ткань стеклянная конструкционная Группа: Стекловолокно Группа: Стеклоровнинг Группа: Прочие теплоизоляционные материалы Группа: Вермикулит вспученный Группа: Щебень перлитовый Группа: Войлок Группа: Песок перлитовый Группа: Кирпич диатомитовый Подраздел: Вата теплоизоляционная Группа: Вата минеральная Группа: Вата из стекловолокна Подраздел: Плиты теплоизоляционные Группа: Из минеральной ваты Группа: Минераловатные гофрированной структуры Группа: Минераловатные повышенной жесткости Группа: На основе муллитокремнеземистой ваты Группа: Известково-кремнеземистые Группа: Плиты теплоизоляционные из пенопласта Подраздел: Маты теплоизоляционные Группа: Маты минераловатные Группа: Маты из базальтового штапельного волокна Группа: Маты строительные Группа: Маты технические Группа: Маты рулонные Группа: Маты из стекловолокна Группа: Маты обшитые стеклотканью Группа: Маты минераловатные вертикально-слоистые Подраздел: Шнуры теплоизоляционные Группа: Шнуры теплоизоляционные Подраздел: Цилиндры и полуцилиндры теплоизоляционные Группа: Из минваты Подраздел: Конструкции и изделия теплоизоляционные Группа: Конструкции теплоизоляционные из матов минераловатных марки КТПП Группа: Конструкции теплоизоляционные из матов минераловатных марки КТКП Группа: Изделия с армирующими материалами на основе стеклоткани Группа: Изделия с покровным материалом на основе алюминиевой фольги Группа: Конструкции полносборные из плит минватных Группа: Конструкции полносборные из матов минватных Группа: Пакеты минераловатные Раздел 1.05. Материалы верхнего строения пути железных дорог широкой колеи Подраздел: Болты Группа: Путевые Группа: Для рельсовых стыков Группа: Клеммные Группа: Закладные Подраздел: Прочие материалы для верхнего строения пути железных дорог широкой колеи Группа: Шайбы Группа: Шурупы Группа: Костыли Группа: Клеммы Группа: Накладки Группа: Подкладки Группа: Противоугоны пружинные Группа: Шпалы Группа: Крестовины Группа: Механизм переводной Группа: Остряк Группа: Перевод стрелочный Группа: Пересечения Группа: Прибор уравнительный Группа: Брусья Группа: Прокладки Группа: Ткань стеклянная Группа: Трубки водоотводные Группа: Втулки Группа: Скобы Группа: Указатель стрелочный Группа: Плакаты предупредительные Группа: Фонарь стрелочный Группа: Прочее Подраздел: Рельсы Группа: Рельсы железнодорожные широкой колеи Группа: Рельсы железнодорожные термообработанные Группа: Рельсы с поверхностной закалкой Группа: Рельсы старогодные Раздел 1.06. Материалы верхнего строения пути железных дорог узкой колеи Подраздел: Материалы верхнего строения пути железных дорог узкой колеи Группа: Болты Группа: Костыли Группа: Накладки Группа: Подкладки и прокладки Группа: Переводы стрелочные, пересечения, съезды Группа: Рельсы Группа: Брусья Группа: Шпалы Раздел 1.07. Материалы верхнего строения трамвайных путей Подраздел: Материалы верхнего строения трамвайных путей Группа: Клеммы Группа: Накладки Группа: Подкладки Группа: Рельсы Группа: Стрелки Группа: Тяги путевые Группа: Шайбы Группа: Компенсаторы Раздел 1.08. Материалы и изделия для строительства метрополитенов и тоннелей Подраздел: Материалы для тоннельных работ Группа: Анкер-тяга Группа: Гидроизоляция Группа: Болтовые комплекты Группа: Металлоконструкции Группа: Планки Группа: Пробки тюбинговые Группа: Тюбинги Группа: Цемент расширяющийся Группа: Шайбы Группа: Шпильки Группа: Элементы водозащитного зонта Подраздел: Материалы и изделия для путевых работ Группа: Прокладки Группа: Шайбы Группа: Башмаки Группа: Вкладыши Группа: Клинья Группа: Короба Группа: Кронштейны Группа: Накладки Группа: Нашпальники Группа: Отводы концевые Группа: Подкладки Группа: Противоугоны Группа: Рельсы Группа: Реперы тоннельные Группа: Скобы Группа: Стыки изолирующие Группа: Упоры Группа: Штыри маятниковые Группа: Изоляторы...; Раздел 1.09. Материалы для горнопроходческих работ Подраздел: Материалы для горнопроходческих работ Группа: Буры Группа: Глина бентонитовая Группа: Долота Группа: Зубок для проходческих комбайнов Группа: Коронки Группа: Крепь Группа: Опалубка самоотрывающаяся Группа: Патроны ударные Группа: Переводы стрелочные Группа: Пика для отбойных молотков Группа: Пневмоударники Группа: Штанги буровые и прочие Группа: Желонки с плоским клапаном Группа: Верхняки металлические Группа: Проводники Группа: Расстрелы Группа: Стяжки Группа: Сталь буровая Группа: Резец породный Группа: Рельсы железнодорожные Группа: Став буровой Группа: Шнек Раздел 1.10. Материалы дли сооружений связи Подраздел: Материалы для сооружения связи Группа: Блоки контргруза Группа: Болты Группа: Глухари Группа: Держатели Группа: Детали Группа: Ерши для кронштейнов Группа: Закладные части Группа: Прокладки Группа: Клин Группа: Колонки Группа: Кольца Группа: Консоли Группа: Кронштейны Группа: Крюки Группа: Прочие изделия и материалы для сооружений связи Группа: Люки Группа: Накладки Группа: Обоймы Группа: Перемычки Группа: Подкосы Группа: Пластины Группа: Поковки Группа: Проволока стальная Группа: Сетка стальная Группа: Скрепы Группа: Совол пластификаторный Группа: Сплавы цинковые Группа: Стальные конструкции Группа: Ступени столбовые Группа: Стойки Группа: Траверсы Группа: Хомуты Группа: Штыри Группа: Канаты Группа: Оттяжки мачт и опор Группа: Сталь полосовая Группа: Сталь угловая Группа: Зажимы Группа: Втулки Группа: Соединительные элементы Группа: Муфты Группа: Ткань стеклянная Группа: Плиты столярные Группа: Манжеты стальные Группа: Стойки телефонные Подраздел: Изоляторы Группа: Изоляторы стеатитовые Группа: Изоляторы линейные штыревые Группа: Изоляторы антенные Группа: Изоляторы опорные Группа: Изоляторы такелажные Группа: Изоляторы прочие Раздел 1.11. Материалы для строительства сигнализации, централизации, автоблокировки и электрификации железных дорог Подраздел: прочие материалы для сигнализации, централизации, автоблокировки и электрификации железных дорог Группа: Болты Группа: Верхушки оголовков Группа: Зажимы Группа: Конструкции Группа: Кронштейны Группа: Надставки Группа: Ограничитель грузов Группа: Соединитель стыковой Группа: Схема расположения хомутов Группа: Хомуты Группа: Траверсы Группа: Узел крепления Группа: Штанга одинарная для грузов Группа: Оголовок крепления Группа: Бруски траверсные Группа: Накладки Группа: Изоляторы Группа: Бирки Группа: Прочее Подраздел: Консоли Группа: Консоли неизолированные прямые Группа: Консоли неизолированные трубчатые Группа: Консоли изолированные швеллерные со сжатой тягой Группа: Консоли изолированные швеллерные с растянутой тягой Группа: Консоли изолированные швеллерные прочие Раздел 1.12. Материалы для взрывных общестроительных и горнопроходческих работ Подраздел: Материалы для производства взрывных работ Группа: Алюмотол Группа: Аммонит Группа: Аммонал Группа: Граммонит Группа: Гранулотол Группа: Детонит Группа: Заряды Группа: Шашки детонаторы Группа: Провода Группа: Шнуры Группа: Капсюли-детонаторы Группа: Зажигатели огнепроводного шнура Группа: Пиротехнические реле Группа: Электродетонаторы Раздел 1.13. Материалы для антикоррозионных защитных покрытий Подраздел: Материалы для антикоррозионных и защитных покрытий Группа: Прочие материалы для антикоррозионных и защитных покрытий Группа: Грунтовки Группа: Замазки Группа: Изделия кислотоупорные Группа: Калий Группа: Каучук Группа: Кирпич кислотоупорный Группа: Кислоты Группа: Клей Группа: Краска Группа: Лаки Группа: Натрий Группа: Насадки кислотоупорные Группа: Паста Группа: Плитки кислотоупорные Группа: Растворители Группа: Смолы Группа: Щебень Группа: Эмаль Группа: Эбонитосодержащие материалы Группа: Состав Раздел 1.14. Материалы для удобрения и химических средств зашиты растений Подраздел: Материалы для удобрения и химических средств защиты растений Группа: Материалы для удобрения и химических средств защиты растений Раздел 1.15. Огнеупорные материалы и изделия Подраздел: Изделия кремнеземистые (динасовые) Группа: Изделия огнеупорные динасовые общего назначения Группа: Изделия огнеупорные динасовые для кладки мартеновских печей марки ДМ Группа: Изделия огнеупорные динасовые для электросталеплавильных печей Группа: Изделия кремнеземистые (динасовые, огнеупорные) для кладки стекловаренных печей Группа: Изделия огнеупорные для кладки воздухонагревателей и воздухопроводов горячего дутья доменных печей марки ДВ Группа: Изделия огнеупорные кварцитовые безобжиговые для футеровки сталеразливочных ковшей марки КВКБ Группа: Изделия легковесные теплоизоляционные огнеупорные общего назначения Группа: Изделия огнеупорные динасовые легковесные для изоляции куполов воздухонагревателей доменных печей объемом 5000 м3 марок ДЛ-1, 2; ДЛ1-1, 2 Группа: Изделия огнеупорные динасовые для коксовых печей Группа: Изделия бетонные (блоки, панели) огнеупорные, кремнеземистые Подраздел: Алюмосиликатные изделия Группа: Изделия огнеупорные полукислые общего назначения Группа: Изделия огнеупорные шамотные общего назначения Группа: Изделия огнеупорные шамотные для кладки мартеновских печей Группа: Изделия огнеупорные шамотные для футеровки сталеразливочных ковшей Группа: Изделия огнеупорные шамотные для футеровки чугуновозных ковшей Группа: Изделия огнеупорные для стабилизирующих камер газовых горелок марки ША Группа: Изделия огнеупорные шамотные и полукислые для футеровки вагранок Группа: Изделия огнеупорные алюмосиликатные для стекловаренных печей Группа: Изделия огнеупорные шамотные для топок котлов морского флота марки ШСТ Группа: Изделия огнеупорные шамотные для кладки доменных печей Группа: Изделия огнеупорные для кладки воздухонагревателей и воздухопроводов горячего дутья доменных печей Группа: Изделия огнеупорные для футеровки вращающихся печей Группа: Изделия огнеупорные бетонные шамотные на фосфатной связке Группа: Изделия огнеупорные шамотные и шамотнокарбидкремниевые для трубчатых рекуператоров Группа: Изделия огнеупорные бетонные (блоки) шамотные по индивидуальным рабочим чертежам Группа: Изделия легковесные теплоизоляционные огнеупорные Группа: Изделия огнеупорные легковесные теплоизоляционные для футеровки вращающихся печей Группа: Изделия огнеупорные для сифонной разливки стали (шамотные и полукислые) Группа: Изделия огнеупорные шамотные мелкоштучные Группа: Изделия огнеупорные стопорные для разливки стали из ковша Группа: Изделия огнеупорные для непрерывной разливки стали Группа: Изделия огнеупорные для заливочной установки чугуна Группа: Изделия огнеупорные для шиберных затворов сталеразливочных ковшей Подраздел: Изделия алюмосиликатные (высокоглиноземистые) и глиноземистые Группа: Изделия огнеупорные муллитокремнеземистые, муллитокорундовые, муллитовые и корундовые общего назначения Группа: Изделия алюмосиликатные (высокоглиноземистые) и глиноземистые Группа: Изделия огнеупорные для стабилизирующих камер газовых горелок Группа: Изделия огнеупорные алюмосиликатные крупноблочные для стекловаренных печей Группа: Изделия высокоогнеупорные муллитовые для кладки лещади доменных печей Группа: Изделия огнеупорные и высокоогнеупорные для кладки воздухонагревателей и воздухопроводов горячего дутья доменных печей Группа: Изделия огнеупорные и высокоогнеупорные для футеровки вращающихся печей Группа: Изделия высокоогнеупорные легковесные теплоизоляционные Группа: Изделия легковесные теплоизоляционные и высокоогнеупорные общего назначения Группа: Изделия высокоогнеупорные муллитокорундовые для реакторов сажевого производства и печей по производству электродного термоантрацита (по чертежам заказчика) Группа: Изделия огнеупорные стопорные для разливки стали из ковша Группа: Изделия огнеупорные и высокоогнеупорные для непрерывной разливки стали Группа: Изделия огнеупорные для заливочной установки чугуна Группа: Изделия корундовые высокоплотные для термопар Группа: Изделия высокоогнеупорные корундоциркониевые марки КЦ Группа: Изделия огнеупорные для шиберных затворов сталеразливочных ковшей Группа: Изделия огнеупорные бадделеитокорундовые для стекловаренных печей Группа: Изделия корундовые электроплавленные литые Подраздел: Изделия высокомагнезиальные, магнезиально-шпинелидные и магнезиально-силикатные Группа: Изделия огнеупорные высокомагнезиальные (периклазовые) Группа: Изделия высокоогнеупорные периклазохромитовые и хромитопериклазовые безобжиговые Группа: Изделия огнеупорные форстеритовые и форстеритохромитовые Группа: Изделия высокоогнеупорные хромитопериклазовые для конвертеров кислородной продувки марки ХПКК Группа: Изделия огнеупорные хромитопериклазовые Группа: Изделия огнеупорные и высокоогнеупорные для футеровки вращающихся печей Группа: Изделия огнеупорные и периклазохромитовые для кладки сводов сталеплавильных печей Группа: Изделия высокоогнеупорные периклазохромитовые для футеровки сталеплавильных конвертеров Группа: Изделия высокоогнеупорные магнезиально-шпилевидные для футеровки конвертеров цветной металлургии Группа: Изделия высокоогнеупорные периклазохромитовые для кладки высокотемпературных туннельных печей Группа: Изделия высокоогнеупорные периклазохромитовые для футеровки кессонных мартеновских печей Группа: Детали периклазовые для лабораторных криптоловых печей Группа: Изделия огнеупорные стопорные для разливки стали из ковша Группа: Изделия высокоогнеупорные обожженные периклазовые и периклазохромитовые для сталевыпускного отверстия конвертеров и мартеновских печей Группа: Плиты высокоогнеупорные периклазовые под вкладыши для шиберных затворов сталеразливочных ковшей марки ППВ Группа: Изделия огнеупорные для шиберных затворов сталеразливочных ковшей Группа: Изделия периклазохромитовые из плавленого периклазохромита Группа: Фурмы высокоогнеупорные периклазовые для продувки металла газами Группа: Изделия огнеупорные безобжиговые периклазоизвестковые и известковопериклазовые на смоляной и пековой связках для футеровки кислородных конвертеров Группа: Блоки огнеупорные и высокоогнеупорные бетонные на основе отходов обогащения лома магнезиально-шпинелидных изделий марки МШБЛГ Подраздел: Изделия углеродистые Группа: Изделия огнеупорные графитосодержащие, вкладыши, плитки и пробки кюмпельные Группа: Изделия огнеупорные стопорные для разливки стали из ковша Группа: Изделия огнеупорные и высокоогнеупорные для непрерывной разливки стали из ковша Группа: Изделия огнеупорные графитошамотные, изложницы и крышки Группа: Изделия огнеупорные для шиберных затворов сталеразливочных ковшей марки ПГРБС Группа: Стопора-моноблоки огнеупорные корундографитовые для МНЛЗ Подраздел: Изделия карбидкремниевые Группа: Изделия высокоогнеупорные карбидкремниевые Группа: Изделия высокоогнеупорные карбидкремниевые на алюмосиликатной связке для печей газовой цементации марки КАЦ, по индивидуальным чертежам Группа: Изделия огнеупорные шамотнокарбидкремниевые для трубчатых рекуператоров Группа: Капсели, плиты и приспособления огнеупорные шамотнокарбидкремниевые для обжига фарфорных изделий Группа: Изделия огнеупорные шамотнокарбидкремниевые для футеровки вращающихся трубчатых печей Группа: Резисторы постоянные карбидкремниевые Подраздел: Изделия цирконистые Группа: Изделия высокоогнеупорные для непрерывной разливки стали Группа: Изделия цирконовые высокоогнеупорные для кладки печей для плавки алюминия марки ЦА Группа: Изделия цирконистые для электропечей по производству кварцевого стекла марки ЦКС Группа: Изделия цирконистые высшей огнеупорности стабилизированные окисью иттрия Группа: Изделия плавленнолитые бадделеитокорундовые повышенной чистоты для стекловаренных печей Группа: Изделия цирконистые стабилизированные окисью кальция с добавкой окиси алюминия Группа: Изделия цирконистые для непрерывной разливки стали Подраздел: Прочие изделия Группа: Изделия высокоогнеупорные окисные, корундовые, цирконистые, иттриевые Группа: Изделия высокоогнеупорные хромокислые, уплотненные марки ХСУ Группа: Изделия высокоогнеупорные хромокислые обычные марки ХСС Группа: Изделия хромокислые для фидеров стекловаренных печей Группа: Материалы и изделия огнеупорные теплоизоляционные стекловолокнистые Группа: Прочие изделия Подраздел: Огнеупоры неформованные Группа: Порошки периклазовые и периклазоизвестковые спеченные для сталеплавильного производства Группа: Порошки периклазовые спеченные Группа: Порошки магнезитовые каустические Группа: Порошки периклазовые плавленые для плит шиберного затвора Группа: Порошок периклазовый на фосфатной связке Группа: Материалы периклазовые непорошковые Группа: Порошки периклазовые электротехнические Группа: Порошки из плавленого периклаза для индукционных печей Группа: Порошки плавленые периклазовые Группа: Доломит Группа: Дунит Группа: Смеси прочие Группа: Смеси огнеупорные алюмосиликатные бетонные на высокоглиноземистом цементе, сухие Группа: Смеси хромитовые Группа: Смеси цирконистых порошков для набивных масс, бетонов Группа: Масса Группа: Порошки шамотные теплоизоляционные Группа: Порошки из плавленого муллита Группа: Порошки корундовые плавленые для огнеупорных изделий и набивных масс Группа: Порошки прочие Группа: Порошки цирконистые Подраздел: Мертели огнеупорные и высокоогнеупорные Группа: Мертели огнеупорные и высокоогнеупорные Группа: Мертель огнеупорный динасовый для кладки коксовых печей Группа: Мертели огнеупорные алюмосиликатные Группа: Мертель периклазовый, периклазохромитовый и хромитопериклазовый для установок внепечного вакуумирования стали Группа: Мертели прочие Группа: Мертели цирконистые Подраздел: Заполнители Группа: Заполнители кремнеземистые для бетонных изделий, масс, смесей, покрытий, мертелей Группа: Заполнители алюмосиликатные для бетонных изделий, масс, смесей, покрытий, мертелей Группа: Заполнители глиноземистые для бетонных изделий, масс, смесей, покрытий, мертелей Группа: Заполнители магнезиальные для бетонных изделий, масс, смесей, покрытий, мертелей Группа: Заполнители магнезиально-известковые для бетонных изделий, масс, смесей, покрытий, мертелей Группа: Заполнители магнезиально-шпинелидные для бетонных изделий, масс, смесей, покрытий, мертелей Группа: Заполнители магнезиально-силикатные для бетонных изделий, масс, смесей, покрытий, мертелей Группа: Заполнители цирконистые для бетонных изделий, масс, смесей, покрытий, мертелей Группа: Заполнители и смеси кварцитовые для огнеупорных бетонов Группа: Заполнители хромистые для огнеупорных бетонов Группа: Заполнители для каолинового шамота для огнеупорных бетонов Группа: Заполнители прочие Подраздел: Огнеупорное сырье Группа: Шамот Группа: Глина огнеупорная Латненского месторождения Группа: Глина огнеупорная Суворовского месторождения Группа: Глина огнеупорная Боровичско-Любижинской группы месторождений Группа: Глина огнеупорная Часов-Ярского месторождения |
| Разработан: | ООО РЦЦС Республики Карелия |
| Утверждён: | 17.12.2004 Правительство Республики Карелия (532-р-П) |
| Издан: | Госстрой Республики Карелия (2005 г. ) |
| Расположен в: | |
| Нормативные ссылки: |





































































































































































































































































































































































