| ||||||||||||||||||||||||||||||
Скачать ТЕРм Республика Карелия 2001-39 Контроль монтажных сварных соединений. Территориальные единичные расценки на монтаж оборудования в Республике КарелияДата актуализации: 10.08.2017
|
| Обозначение: | ТЕРм Республика Карелия 2001-39 |
| Обозначение англ: | 2001-39 |
| Статус: | действует |
| Название рус.: | Контроль монтажных сварных соединений. Территориальные единичные расценки на монтаж оборудования в Республике Карелия |
| Дата добавления в базу: | 01.09.2013 |
| Дата актуализации: | 05.05.2017 |
| Область применения: | Предназначены для определения прямых затрат в сметной стоимости работ по контролю монтажных сварных соединений в базисных ценах на 1 января 2000 года |
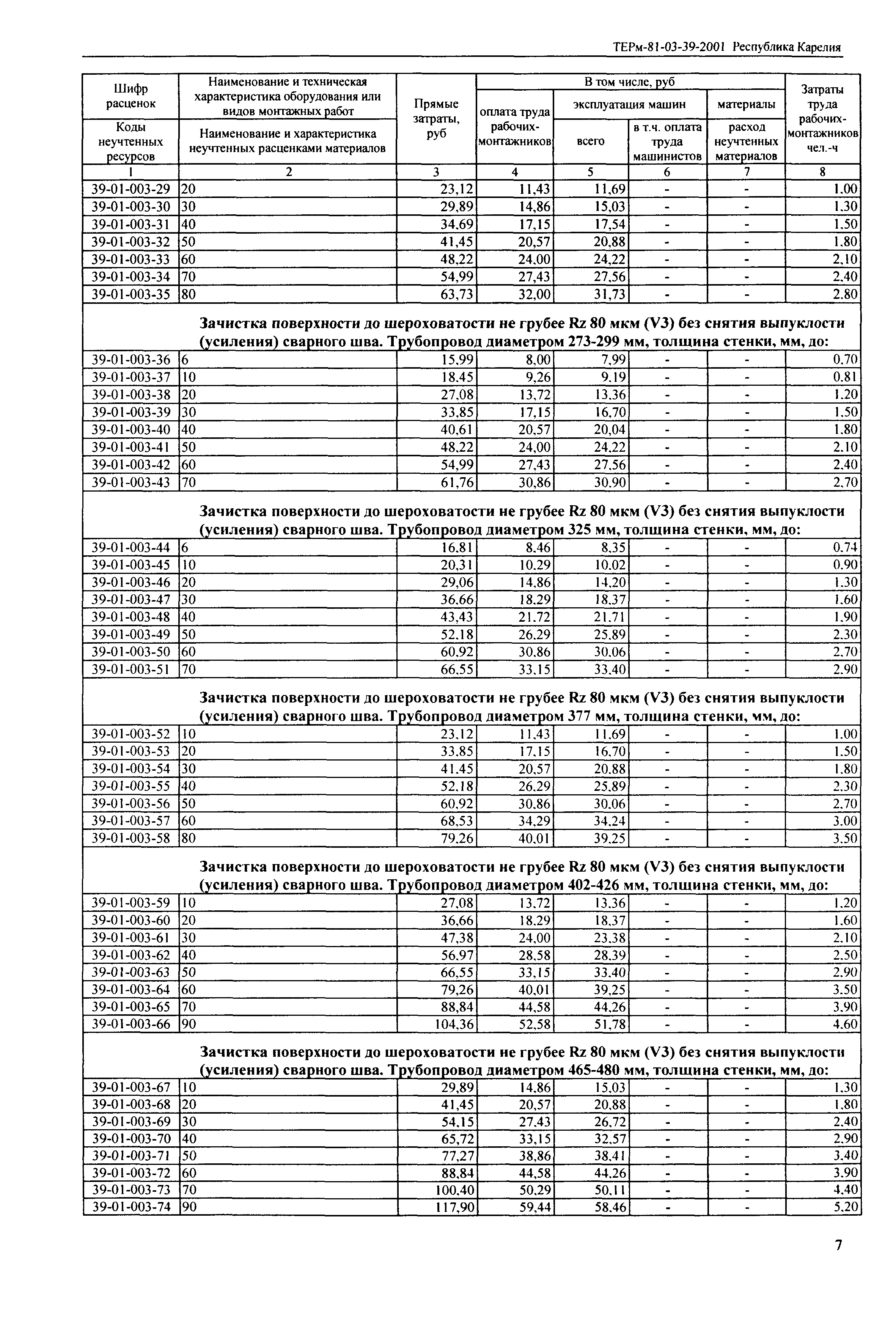
| Оглавление: | Техническая часть Отдел 01 Подготовка к контролю поверхности монтажных сварных соединений и околошовной зоны 39-01-001. Очистка поверхности металлическими щетками 39-01-002. Протирка поверхности ацетоном 39-01-003. Зачистка механизированная поверхности сварного соединения и околошовной зоны трубопроводов из углеродистых и легированных сталей до шероховатости не грубее RZ 80 мкм (V3) без снятия выпуклости (усиления) сварного шва 39-01-004. Зачистка механизированная поверхности сварного соединения и околошовной зоны трубопроводов из углеродистых и легированных сталей до шероховатости не грубее RZ 40 мкм (V4) без снятия выпуклости (усиления) сварного 39-01-005. Зачистка механизированная поверхности сварного соединения и околошовной зоны трубопроводов из углеродистых и легированных сталей до шероховатости не грубее RZ 20 мкм (V5) без снятия выпуклости (усиления) сварного шва 39-01-006. Зачистка механизированная поверхности сварного соединения и околошовной зоны трубопроводов из углеродистых и легированных сталей до шероховатости не грубее RZ 80 мкм (V3) со снятием выпуклости (усиления) сварного 39-01-007. Зачистка механизированная поверхности сварного соединения и околошовной зоны трубопроводов из углеродистых и легированных сталей до шероховатости не грубее RZ 40мкм (V4) со снятием выпуклости (усиления) сварного шва 39-01-008. Зачистка механизированная поверхности сварного соединения и околошовной зоны трубопроводов из углеродистых и легированных сталей до шероховатости не грубее RZ 20мкм (V5) со снятием выпуклости (усиления) сварного шва 39-01-009. Зачистка механизированная поверхности сварного соединения и околошовной зоны трубопроводов из высоколегированных коррозионностойких сталей до шероховатости не грубее RZ 80 мкм (V3) без снятия выпуклости (усиления) сварного шва 39-01-010. Зачистка механизированная поверхности сварного соединения и околошовной зоны трубопроводов из высоколегированных коррозионностойких сталей до шероховатости не грубее RZ 40 мкм (V4) без снятия выпуклости (усиления) сварного шва 39-01-011. Зачистка механизированная поверхности сварного соединения и околошовной зоны трубопроводов из высоколегированных коррозионностойких сталей до шероховатости не грубее RZ 20 мкм (V5) без снятия выпуклости (усиления) сварного шва 39-01-012. Зачистка механизированная поверхности сварного соединения и околошовной зоны трубопроводов из высоколегированных коррозионностойких сталей до шероховатости не грубее RZ 80 мкм (V3) со снятием выпуклости (усиления) сварного 39-01-013. Зачистка механизированная поверхности сварного соединения и околошовной зоны трубопроводов из высоколегированных коррозионностойких сталей до шероховатости не грубее RZ 40 мкм (V4) со снятием выпуклости (усиления) сварного шва 39-01-014. Зачистка механизированная поверхности сварного соединения и околошовной зоны трубопроводов из высоколегированных коррозионностойких сталей до шероховатости не грубее RZ 20 мкм (V5) со снятием выпуклости (усиления) сварного шв 39-01-015. Зачистка вручную поверхности сварного соединения и околошовной зоны трубопроводов из углеродистых и легированных сталей без снятия выпуклости (усиления) сварного шва 39-01-016. Зачистка вручную поверхности сварного соединения и околошовной зоны трубопроводов из углеродистых и легированных сталей со снятием выпуклости (усиления) сварного шва 39-01-017. Зачистка механизированная поверхности сварного соединения и околошовной зоны конструкций и оборудования из углеродистых и легированных сталей до шероховатости не грубее RZ 80 мкм (V3) без снятия выпуклости (усиления) сварного шва 39-01-018. Зачистка механизированная поверхности сварного соединения и околошовной зоны конструкций и оборудования из углеродистых и легированных сталей до шероховатости не грубее RZ 40 мкм (V4) без снятия выпуклости (усиления) сварного шва 39-01-019. Зачистка механизированная поверхности сварного соединения и околошовной зоны конструкций и оборудования из углеродистых и легированных сталей до шероховатости не грубее RZ 20 мкм (V5) со снятием выпуклости (усиления) сварного шва 39-01-020. Зачистка механизированная поверхности сварных соединений конструкций и оборудования из углеродистых и легированных сталей. Снятие выпуклости (усиления) сварного соединения 39-01-021. Зачистка механизированная поверхности сварного соединения и околошовной зоны конструкций и оборудования из высоколегированных коррозионностойких сталей до шероховатости не грубее R2 80 мкм (V3) без снятия выпуклости (усиления) сварного шва 39-01-022. Зачистка механизированная поверхности сварного соединения и околошовной зоны конструкций и оборудования из высоколегированных коррозионностойких сталей до шероховатости не грубее RZ 40 мкм (V4) без снятия выпуклости (усиления) сварного шва 39-01-023. Зачистка механизированная поверхности сварного соединения и околошовной зоны конструкций и оборудования из высоколегированных коррозионностойких сталей до шероховатости не грубее RZ 20 мкм (V5) без снятия выпуклости (усиления) сварного шва 39-01-024. Зачистка механизированная поверхности сварных соединений конструкций и оборудования из высоколегированных коррозионностойких сталей. Снятие выпуклости (усиления) сварного соединения 39-01-025. Зачистка механизированная мест под стилоскопирование 39-01-026. Зачистка механизированная мест под испытания на твердость Отдел 02. Контроль монтажных сварных соединений неразрушающими методами 39-02-001. Визуальный и измерительный контроль сварных соединений 39-02-002. Перископный осмотр сварных соединений трубопроводов 39-02-003. Стилоскопирование 39-02-004. Капиллярный контроль (цветной метод) 39-02-005. Магнитопорошковый контроль 39-02-006. Ультразвуковая дефектоскопия одним преобразователем сварных соединений перлитного класса с двух сторон, прозвучивание поперечное 39-02-007. Ультразвуковая дефектоскопия одним преобразователем сварных соединений перлитного класса с двух сторон, прозвучивание поперечное негабаритных трубопроводов гидротехнических сооружений 39-02-008. Ультразвуковая дефектоскопия одним преобразователем сварных соединений перлитного класса с двух сторон, прозвучивание поперечное оборудования и конструкций 39-02-009. Ультразвуковая дефектоскопия одним преобразователем сварных соединений перлитного класса с двух сторон, прозвучивание продольное 39-02-010. Ультразвуковая дефектоскопия одним преобразователем сварных соединений перлитного класса с двух сторон, прозвучивание поперечное закладных деталей 39-02-011. Измерение толщины металла ультразвуковым способом 39-02-012. Рентгенографический контроль трубопроводов через две стенки 39-02-013. Рентгенографический контроль трубопроводов через одну стенку 39-02-014. Рентгенографический контроль оборудования и конструкций 39-02-015. Гаммаграфический контроль трубопроводов через две стенки 39-02-016. Гаммаграфический контроль трубопроводов через одну стенку 39-02-017. Гаммаграфический контроль трубопроводов, панорамное просвечивание 39-02-018. Гаммаграфический контроль оборудования и конструкций 39-02-019. Гаммаграфический контроль арматурной стали 39-02-020. Контроль плотности способом керосиновой пробы 39-02-021. Испытание вакуум-камерой 39-02-022. Контроль методом гелиевой или вакуумной камеры 39-02-023. Измерение твёрдости металла шва Отдел 03. Контроль монтажных сварных соединений разрушающими методами 39-03-001. Механические испытания 39-03-002. Металлографические исследования 39-03-003. Испытания на межкристаллитную коррозию Отдел 04. Изготовление образцов для монтажных сварных соединений 39-04-001. Изготовление образцов для механических испытаний 39-04-002. Изготовление образцов для металлографических исследований 39-04-003. Изготовление образцов для испытания на межкристаллитную коррозию Отдел 05. Предварительный контроль 39-05-001. Контроль сварочных материалов 39-05-002. Контроль деталей, материалов, полуфабрикатов 39-05-003. Контроль сборочно-сварочного и термического оборудования, аппаратуры и приспособлений 39-05-004. Контроль материалов для дефектоскопии 39-05-005. Контроль труб и блоков трубопроводов Отдел 06. Операционный контроль 39-06-001. Контроль подготовки деталей трубопроводов под сварку на сборочной площадке 39-06-002. Контроль сборки деталей трубопроводов под сварку на месте монтажа 39-06-003. Контроль процессов сварки и наплавки Приложение № 1 Сметные расценки на эксплуатацию строительных машин в базисных ценах Республики Карелия по состоянию на 01.01.2000 г Приложение № 2 Сметные цены на материалы, изделия и конструкции в базисных ценах Республики Карелия по состоянию на 01.01.2000 г Приложение № 3 Часовая оплата труда рабочих, занятых в строительстве и ремонтно-строительных работах с нормальными условиями труда в базисных ценах Республики Карелия по состоянию на 01.01.2000 г Приложение № 4 Таблица замены кодов |
| Разработан: | РЦЦС Республики Карелия |
| Утверждён: | 20.04.2004 Правительство Республики Карелия (172р-П) |
| Издан: | Госстрой Республики Карелия (2004 г. ) |
| Расположен в: | |
| Заменяет собой: |
|



































































