| ||||||||||||||||||||||||||||||
Скачать ТЕРм Республика Карелия 2001-12 Технологические трубопроводы. Территориальные единичные расценки на монтаж оборудования в Республике КарелияДата актуализации: 10.08.2017
|
| Обозначение: | ТЕРм Республика Карелия 2001-12 |
| Обозначение англ: | 2001-12 |
| Статус: | действует |
| Название рус.: | Технологические трубопроводы. Территориальные единичные расценки на монтаж оборудования в Республике Карелия |
| Дата добавления в базу: | 01.09.2013 |
| Дата актуализации: | 05.05.2017 |
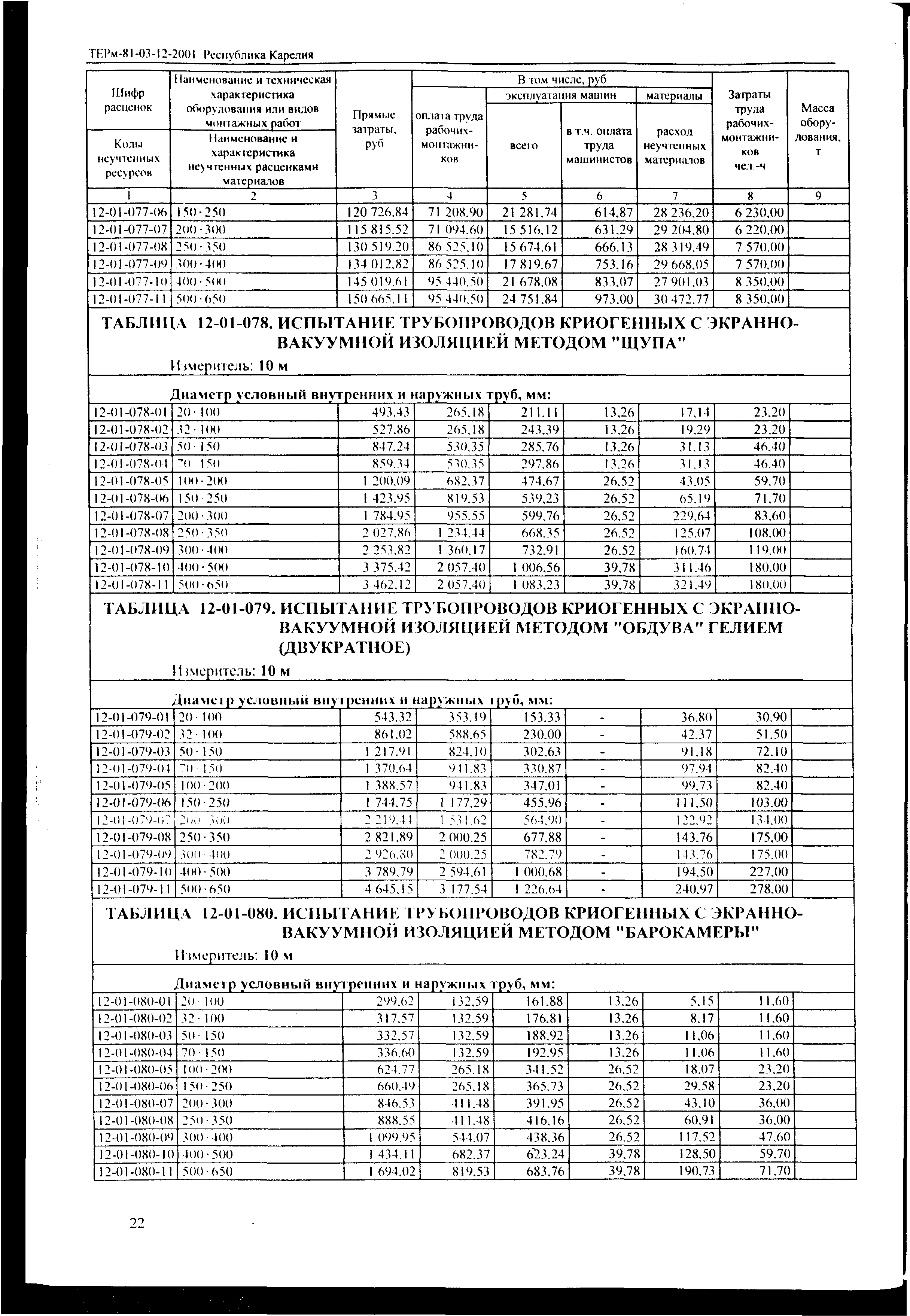
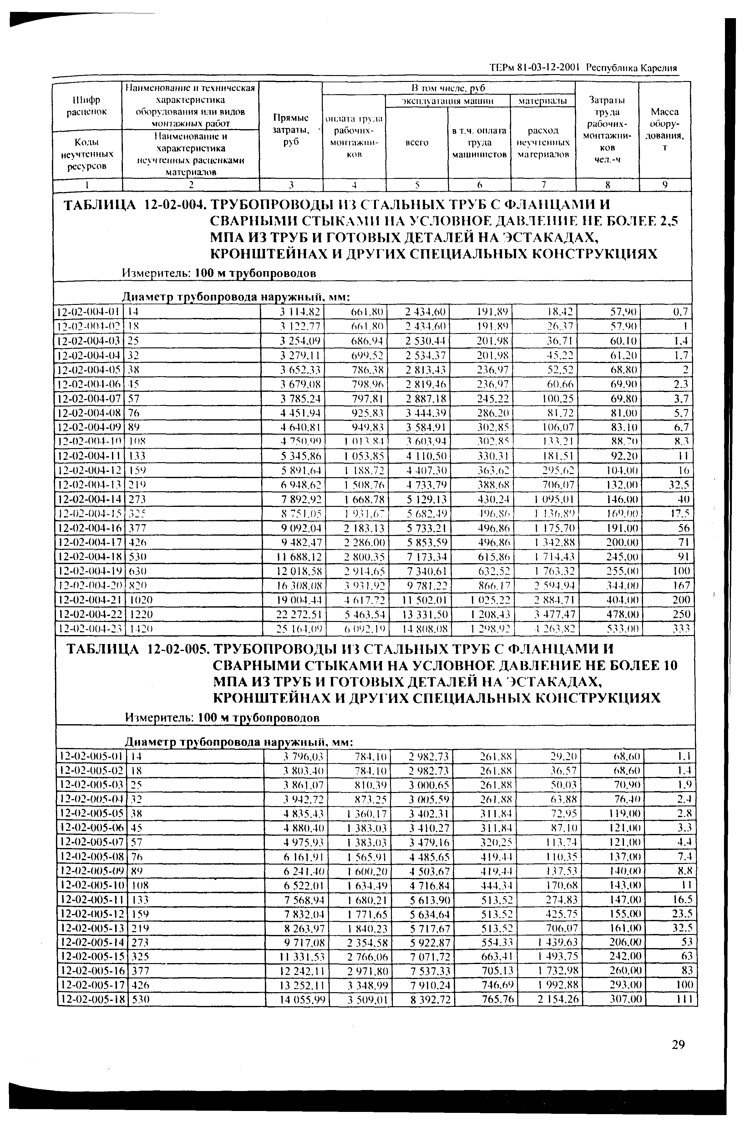
| Область применения: | Предназначены для определения прямых затрат в сметной стоимости работ по монтажу технологических трубопроводов. |
| Оглавление: | Техническая часть Отдел 01. Трубопроводы технологические цеховые Вводные указания Раздел 1. Трубопроводы из труб углеродистых и качественных сталей Раздел 2. Трубопроводы из труб легированных и высоколегированных сталей Раздел 3. Трубопроводы из алюминиевых труб Раздел 4. Трубопроводы из медных и латунных труб Раздел 5. Трубопроводы из свинцовых труб Раздел 6. Трубопроводы из чугунных труб Раздел 7. Трубопроводы из керамических и фарфоровых труб Раздел 8. Трубопроводы из пластмассовых труб Отдел 02. Трубопроводы и технологические межцеховые Вводные указания Раздел 1. Трубопроводы из труб углеродистых в качественных сталей Раздел 2. Трубопроводы из алюминиевых труб Раздел 3. Трубопроводы из медных и латунных труб Раздел 5. Трубопроводы из чугунных труб Раздел 6. Трубопроводы из керамических и фарфоровых труб Раздел 7. Трубопроводы из пластмассовых труб Раздел 8. Трубопроводы из труб легированных и высоколегированных сталей Отдел 05. Трубопроводы молочных, молочно-консервных, маслодельных и сыродельных заводов на быстроразъемных соединениях Вводные указания Отдел 07. Устройства микропроцессорной и вычислительной техники Вводные указания Раздел 1. Трубные проводки из труб углеродистых и низколегированных сталей Раздел 2. Трубные проводки из труб легированных и коррозионно Раздел 3. Трубные проводки из труб цветных металлов Раздел 4. Трубные проводки из пластмассовых труб и пневматических кабелей, коробки соединительные для пневмокабелей кс-7 и кс-14 Отдел 08. Трубопроводы и арматура установок автоматического пожаротушения Вводные указания Отдел 09. Компенсаторы и смотровые фонари Вводные указания Раздел 1. Компенсаторы стальные линзовые и сальниковые Раздел 2. Компенсаторы волнистые из углеродистых качественных, легированных, коррозионно-стойких и жаростойких сталей Отдел 10. Закладные и отборные устройства систем автоматизации Вводные указания Раздел 1. Закладные устройства систем автоматизации Отдел 11. Разные работы, связанные с монтажом трубопроводов Вводные указания Отдел 12. Арматура общего назначения Вводные указания Раздел 1. Арматура фланцевая, приварная, муфтовая Раздел 2. Арматура газовой промышленности Раздел 3. Арматура аммиачная Отдел 14. Арматура для кислородных установок Вводные указания Раздел 1. Вентили латунные Раздел. 2. Вентили стальные Раздел 3. Задвижки стальные Раздел 4. Заслонки стальные Отдел 15. Приводы дистанционные Вводные указания Отдел 16 Трубопроводы систем пластичной смазки Вводные указания Отдел 18 Изготовление узлов и секций трубопроводов Вводные указания Раздел 1. Изготовление узлов трубопроводов Раздел 2. Изготовление секций трубопроводов Приложение №1 Перечень материальных ресурсов, не учтенных в расценках сборника Приложение №2 Нормы отходов труб Приложение №3 Счетные расцепки на эксплуатацию строительных машин в базисных ценах Республики Карелия по состоянию на 01.01.2000 г Приложение №4 Сметные цены на материалы, изделия и конструкции в базисных ценах Республики Карелия по состоянию на 01.01.2000 г Приложение №5 Часовая оплата труда рабочих, занятых в строительстве и ремонтно-строительных работах с нормальными условиями труда в базисных ценах Республики Карелия о состоянию на 01.01.2000 г Приложение №6 Таблица замены кодов |
| Разработан: | РЦЦС Республики Карелия |
| Утверждён: | 14.09.2004 Правительство Республики Карелия (408р-П) |
| Издан: | Госстрой Республики Карелия (2004 г. ) |
| Расположен в: | |
| Заменяет собой: |
|




















































































