Информационная система
«Ёшкин Кот»

Скачать базу одним архивом
Скачать обновления
История создания базы
Карта сайта

Скачать ТЕР Республика Карелия 2001-22 Водопровод - наружные сети. Территориальные единичные расценки для определения стоимости строительства в Республике Карелия

Дата актуализации: 10.08.2017

ТЕР Республика Карелия 2001-22

Водопровод - наружные сети. Территориальные единичные расценки для определения стоимости строительства в Республике Карелия

Обозначение: ТЕР Республика Карелия 2001-22
Обозначение англ: 2001-22
Статус:действует
Название рус.:Водопровод - наружные сети. Территориальные единичные расценки для определения стоимости строительства в Республике Карелия
Дата добавления в базу:01.09.2013
Дата актуализации:05.05.2017
Область применения:Предназначены для определения прямых затрат в сметной стоимости строительных работ в базисных ценах на 1 января 2000 года при выполнении работ по строительству наружных сетей водопровода на территории Республики Карелия.
Оглавление:Техническая часть
1. Общие указания
2. Правила исчисления объемов работ
3. Коэффициенты к расценкам
Раздел 01. Укладка трубопроводов
22-01-001. Укладка асбестоцементных водопроводных труб с соединением при помощи асбестоцементных муфт
22-01-002. Укладка асбестоцементных водопроводных труб с соединением труб чугунными муфтами
22-01-006. Укладка водопроводных чугунных напорных раструбных труб при заделке раструбов асбестоцементом
22-01-007. Укладка водопроводных чугунных напорных труб с заделкой раструбов резиновыми уплотнительными манжетами
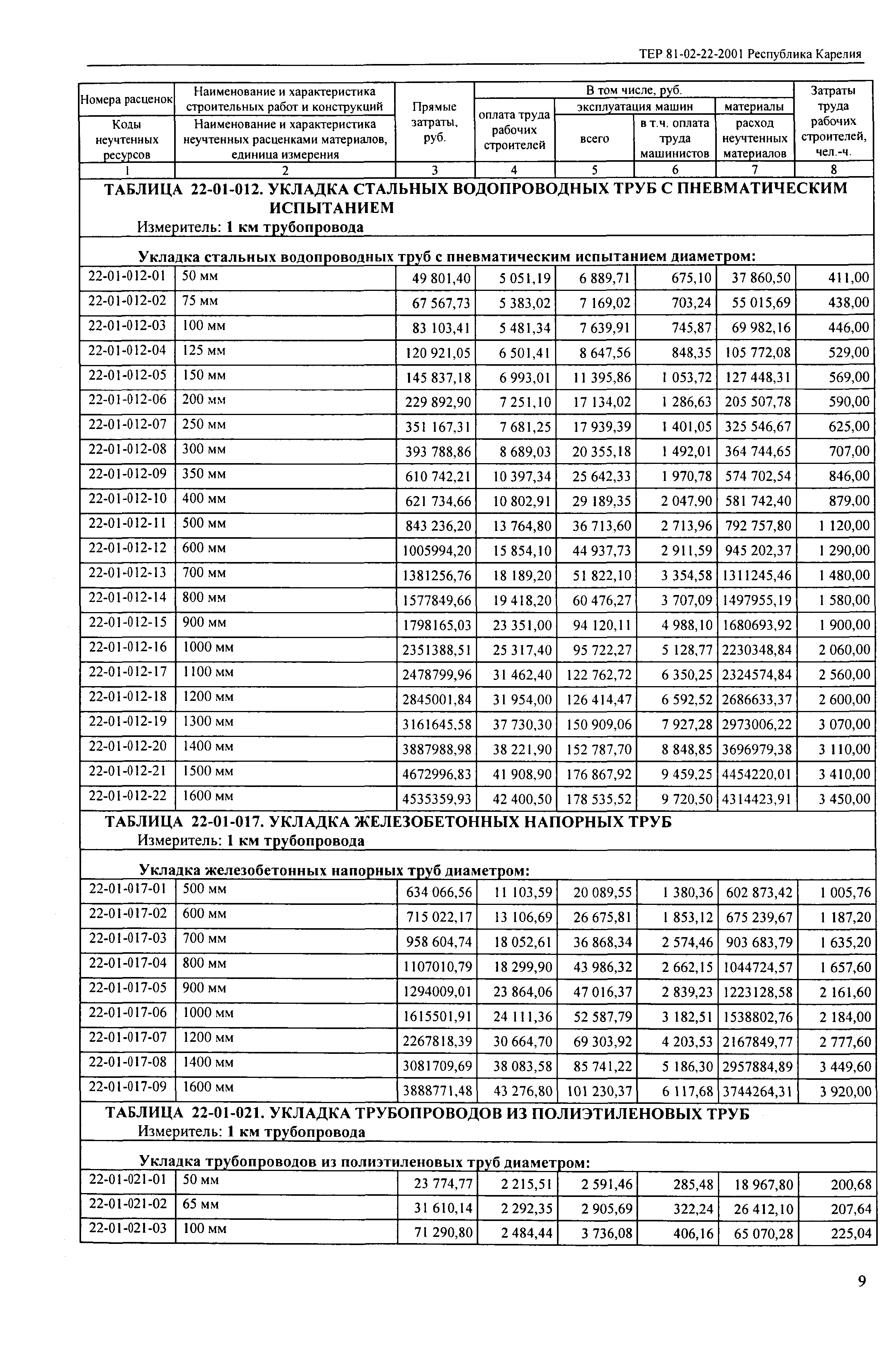
22-01-011. Укладка стальных водопроводных труб с гидравлическим испытанием
22-01-012. Укладка стальных водопроводных труб с пневматическим испытанием
22-01-017. Укладка железобетонных напорных труб
22-01-021. Укладка трубопроводов из полиэтиленовых труб
Раздел 02. Антикоррозийная изоляция стальных трубопроводов
22-02-001. Нанесение нормальной антикоррозионной битумно-резиновой или битумно-полимерной изоляции на стальные трубопроводы
22-02-002. Нанесение усиленной антикоррозионной битумно-резиновой или битумно-полимерной изоляции на стальные трубопроводы
22-02-003. Нанесение весьма усиленной антикоррозионной битумно-резиновой или битумно-полимерной изоляции на стальные трубопроводы
22-02-004. Нанесение нормальной антикоррозионной битумно-резиновой или битумно-полимерной изоляции на стыки и фасонные части стальных трубопроводов
22-02-005. Нанесение усиленной антикоррозионной битумно-резиновой или битумно-полимерной изоляции на стыки и фасонные части стальных трубопроводов
22-02-006. Нанесение весьма усиленной антикоррозионной битумно-резиновой или битумно-полимерной изоляции на стыки и фасонные части стальных трубопроводов
22-02-007. Нанесение изоляции стальных трубопроводов диаметром более 1200 мм
22-02-008. Нанесение нормальной антикоррозионной изоляции из полимерных липких лент на стальные трубопроводы
22-02-009. Нанесение усиленной антикоррозионной изоляции из полимерных липких лент на стальные трубопроводы
22-02-010. Нанесение весьма усиленной антикоррозионной изоляции из полимерных липких лент на стальные трубопроводы
22-02-011. Нанесение нормальной антикоррозионной изоляции из полимерных липких лент на стыки и фасонные части стальных трубопроводов
22-02-012. Нанесение усиленной антикоррозионной изоляции из полимерных липких лент на стыки и фасонные части стальных трубопроводов
22-02-013. Нанесение весьма усиленной антикоррозионной изоляции из полимерных липких лент на стыках и фасонные части стальных трубопроводов
Раздел 03. Установка арматуры
22-03-001. Установка фасонных частей
22-03-002. Установка полиэтиленовых фасонных частей
22-03-006. Установка задвижек или клапанов обратных чугунных
22-03-007. Установка задвижек или клапанов обратных стальных
22-03-011. Установка вантузов, гидрантов, колонок
22-03-014. Приварка фланцев к стальным трубопроводам
Раздел 04. Колодцы водопроводные
22-04-001. Устройство круглых колодцев из сборного железобетона
Таблица 22-04-002. Устройство водопроводных кирпичных колодцев
22-04-003. Устройство водопроводных бетонных колодцев с монолитными стенами и покрытием из сборного железобетона
22-04-004. Установка путевых водоразборных кранов
Раздел 05. Бестраншейная прокладка труб
22-05-001. Продавливание с разработкой грунта вручную
22-05-002. Продавливание без разработки грунта (прокол)
22-05-003. Протаскивание в футляр стальных труб
22-05-004. Заделка битумом и прядью концов футляра
Раздел 06. Прочие работы
22-06-001. Промывка с дезинфекцией трубопроводов
22-06-002. Промывка без дезинфекции трубопроводов
22-06-005. Врезка в существующие сети из стальных труб стальных штуцеров (патрубков)
22-06-006. Врезка в существующие сети из чугунных труб чугунных тройников
22-06-011. Подвешивание подземных коммуникаций при пересечении их трассой трубопровода
22-06-012. Устройство постоянных бетонных упоров на трубопроводе
Приложение
Сметные расценки на эксплуатацию строительных машин
Сметные цены на материалы, изделия и конструкции
Часовая оплата труда рабочих, занятых в строительстве и ремонтно-строительных работах с нормальными условиями труда
Таблица замены кодов
Разработан: РЦЦС Республики Карелия
Утверждён:22.12.2003 Правительство Республики Карелия (450р-П)
Издан: Госстрой Республики Карелия (2003 г. )
Расположен в:Техническая документация Экология СТРОИТЕЛЬНЫЕ МАТЕРИАЛЫ И СТРОИТЕЛЬСТВО Строительная промышленность Стоимость строительства и обслуживания зданий и сооружений -50 Стоимость строительных и строительно-монтажных работ Строительство Нормативные документы Нормативные документы субъектов Российской Федерации Нормативные документы Республики Карелия Документы Системы нормативных документов в строительстве Нормативные документы по экономике к.81 Ценообразование и сметы Классификатор ISO Нормативные документы по экономике Ценообразование и сметы
Список изменений:
  • № от 17.12.2004 (Минстрой Республики Карелия 2006 (выпуск 1, издание 2))
  • № от 29.11.2005 (Минстрой Республики Карелия 2006 (выпуск 2, часть I))
ТЕР Республика Карелия 2001-22ТЕР Республика Карелия 2001-22ТЕР Республика Карелия 2001-22ТЕР Республика Карелия 2001-22ТЕР Республика Карелия 2001-22ТЕР Республика Карелия 2001-22ТЕР Республика Карелия 2001-22ТЕР Республика Карелия 2001-22ТЕР Республика Карелия 2001-22ТЕР Республика Карелия 2001-22ТЕР Республика Карелия 2001-22ТЕР Республика Карелия 2001-22ТЕР Республика Карелия 2001-22ТЕР Республика Карелия 2001-22ТЕР Республика Карелия 2001-22ТЕР Республика Карелия 2001-22ТЕР Республика Карелия 2001-22ТЕР Республика Карелия 2001-22ТЕР Республика Карелия 2001-22ТЕР Республика Карелия 2001-22ТЕР Республика Карелия 2001-22ТЕР Республика Карелия 2001-22ТЕР Республика Карелия 2001-22ТЕР Республика Карелия 2001-22ТЕР Республика Карелия 2001-22ТЕР Республика Карелия 2001-22ТЕР Республика Карелия 2001-22ТЕР Республика Карелия 2001-22ТЕР Республика Карелия 2001-22ТЕР Республика Карелия 2001-22ТЕР Республика Карелия 2001-22ТЕР Республика Карелия 2001-22ТЕР Республика Карелия 2001-22ТЕР Республика Карелия 2001-22ТЕР Республика Карелия 2001-22ТЕР Республика Карелия 2001-22ТЕР Республика Карелия 2001-22ТЕР Республика Карелия 2001-22ТЕР Республика Карелия 2001-22ТЕР Республика Карелия 2001-22ТЕР Республика Карелия 2001-22ТЕР Республика Карелия 2001-22ТЕР Республика Карелия 2001-22

Текстовое изменение № от 17.12.2004

№ № № № № № № № №

Текстовое изменение № от 29.11.2005

№ № № № № № № № № № № № № № № № №

© 2013 Ёшкин Кот :-) Карта сайта