| ||||||||||||||||||||||||
Скачать СТО 00220256-004-2006 Аппараты теплообменные спиральные. Методика расчета на прочностьДата актуализации: 10.08.2017
|
| Обозначение: | СТО 00220256-004-2006 |
| Обозначение англ: | STO 00220256-004-2006 |
| Статус: | действует |
| Название рус.: | Аппараты теплообменные спиральные. Методика расчета на прочность |
| Дата добавления в базу: | 01.09.2013 |
| Дата актуализации: | 01.09.2013 |
| Дата введения: | 01.02.2006 |
| Область применения: | Стандарт распространяется на нормы и методы расчета на прочность спиральных теплообменных аппаратов с тупиковыми, сквозными и глухими каналами, выполненных из углеродистых и легированных сталей. |
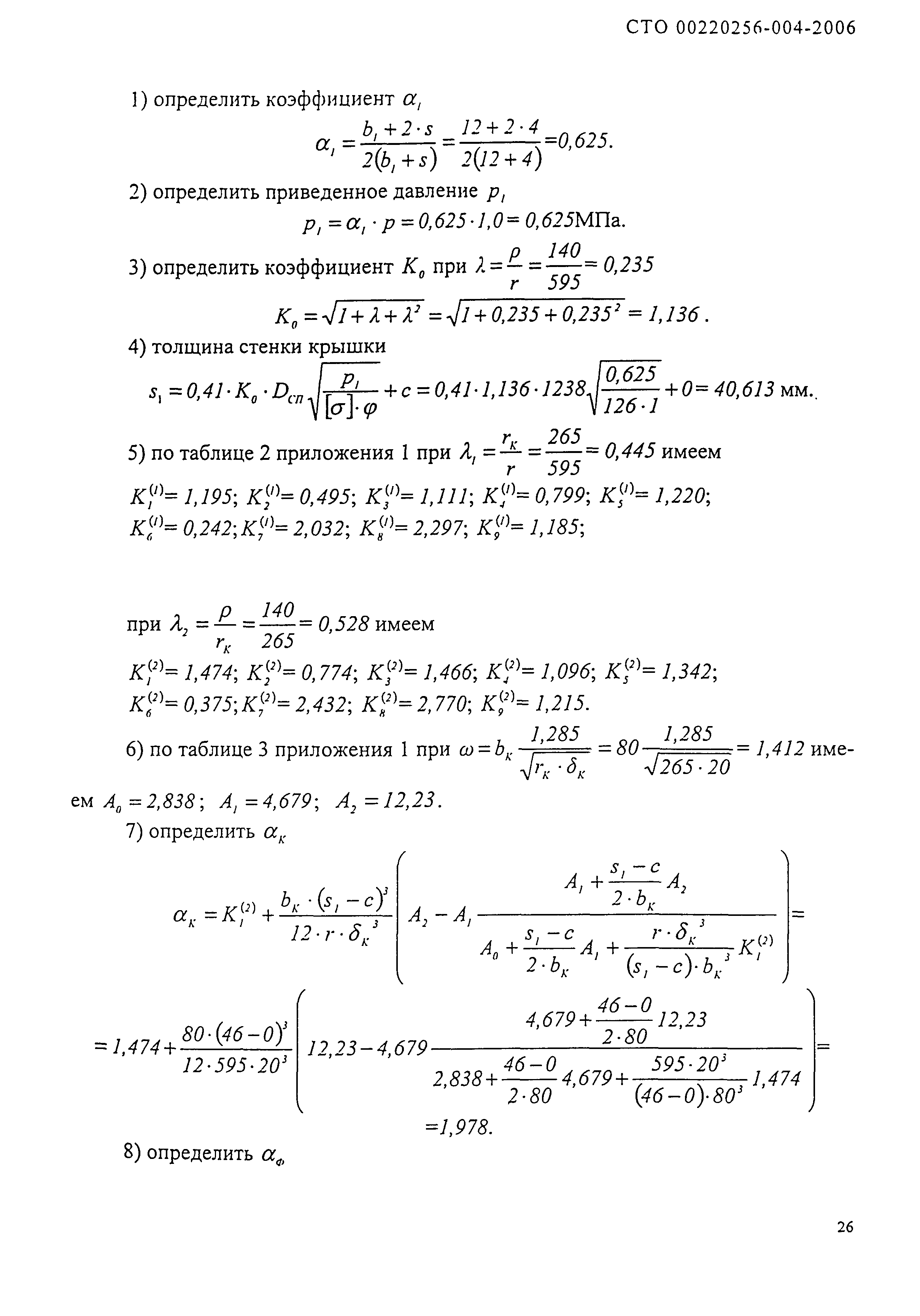
| Оглавление: | 1 Область применения 2 Нормативные ссылки 3 Условные обозначения 4 Расчет корпуса (спирали) 5 Расчет крышек 6 Приложения |
| Расположен в: |































