| ||||||||||||||||||||||||||||||
Скачать Серия 1.130.1-1с Выпуск 1-1. Элементы внутренних стен. Арматурные изделия. Рабочие чертежиДата актуализации: 10.08.2017
|
| Обозначение: | Серия 1.130.1-1с |
| Обозначение англ: | Series 1.130.1-1с |
| Статус: | не определен законодательством |
| Название рус.: | Выпуск 1-1. Элементы внутренних стен. Арматурные изделия. Рабочие чертежи |
| Дата добавления в базу: | 01.09.2013 |
| Дата актуализации: | 05.05.2017 |
| Дата введения: | 01.07.1987 |
| Область применения: | Настоящий выпуск содержит чертежи пространственных арматурных блоков типа БГ и БД для конструктивного армирования типовых элементов внутренних монолитных стен, пространственных каркасов типа КВО для армирования узлов сопряжения стен, а также чертежи плоских арматурных изделий и отдельных стержней, из которых собираются пространственные каркасы и арматурные блоки как для конструктивного, так и для расчетного армирования |
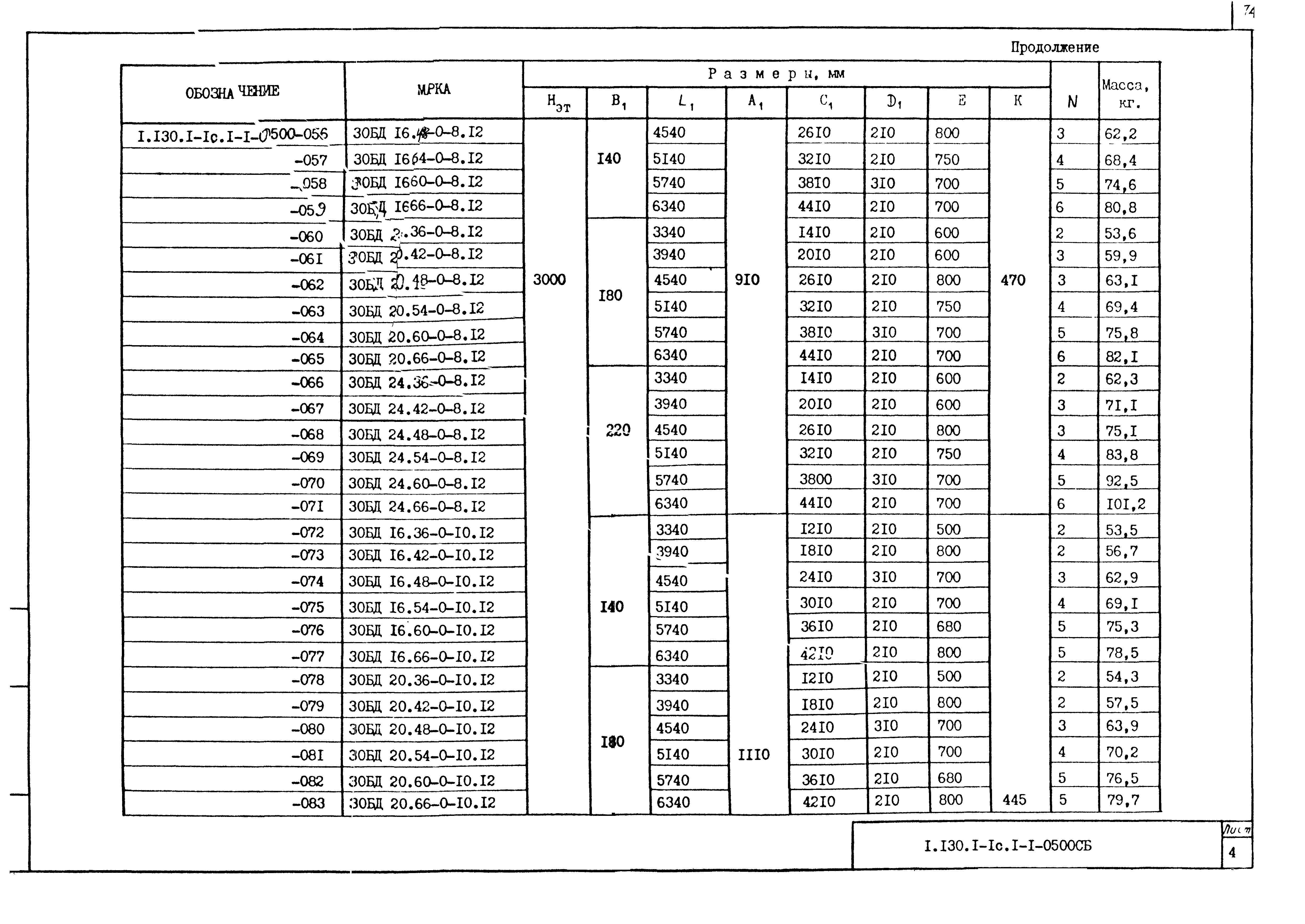
| Оглавление: | 1.130.1-1с.1-1-0000 Содержание 1.130.1-1с.1-1-0000 ПЗ Пояснительная записка. 1.130.1-1с.1-1-0100 Блок арматурный БГ 1.130.1-1с.1-1-0100 СБ Блок арматурный БГ. Сборочный чертеж. 1.130.1-1с.1-1-0200 Блок арматурный БД с нулевой привязкой дверного проема. 1.130.1-1с.1-1-0200 СБ Блок арматурный БД с нулевой привязкой дверного проема. Сборочный чертеж 1.130.1-1с.1-1-0300 Блок арматурный БД с центральной привязкой дверного проема. 1.130.1-1с.1-1-0300 СБ Блок арматурный БД с центральной привязкой дверного проема. Сборочный чертеж 1.130.1-1с.1-1-0400 Блок арматурный БД с привязкой дверного проема 600 мм. 1.130.1-1с.1-1-0400 СБ Блок арматурный БД с привязкой дверного проема 600 мм. Сборочный чертеж 1.130.1-1с.1-1-0500 Блок арматурный БД с привязкой дверного проема 1200 мм. 1.130.1-1с.1-1-0500 СБ Блок арматурный БД с привязкой дверного проема 1200 мм. Сборочный чертеж 1.130.1-1с.1-1-0600 Блок арматурный БД с привязкой дверного проема 1800 мм 1.130.1-1с.1-1-0600 СБ Блок арматурный БД с привязкой дверного проема 1800 мм. Сборочный чертеж 1.130.1-1с.1-1-0700 Блок арматурный БД с привязкой дверного проема 2400 мм. 1.130.1-1с.1-1-0700 СБ Блок арматурный БД с привязкой дверного проема 2400 мм. Сборочный чертеж 1.130.1-1с.1-1-0800 Каркас пространственный КВО. 1.130.1-1с.1-1-0800 СБ Каркас пространственный КВО. Сборочный чертеж. 1.130.1-1с.1-1-0010 Каркас плоский КВ; КУ. 1.130.1-1с.1-1-0010 СБ Каркас плоский КВ; КУ. Сборочный чертеж. 1.130.1-1с.1-1-0020 Сетка СП. 1.130.1-1с.1-1-0020 СБ Сетка СП. Сборочный чертеж. 1.130.1-1с.1-1-0001 Отдельные стержни Ш; ОСУ; СГ; ОС. 1.130.1-1с.1-1-0000РС Ведомость расхода стали на элемент, кг. |
| Разработан: | ТашЗНИИЭП Госгражданстроя |
| Утверждён: | 01.06.1987 Госгражданстрой (Gosgrazhdanstroy 170) |
| Издан: | ЦИТП Госстроя СССР (CITP, Gosstroy (USSR) 1987 г. ) |
| Расположен в: |







































































































































