Информационная система
«Ёшкин Кот»

Скачать базу одним архивом
Скачать обновления
История создания базы
Карта сайта

Скачать Серия 2.440-2 Выпуск 7. Болтовые фланцевые рамные соединения балок с колоннами стальных каркасов зданий и сооружений. Материалы для проектирования и рабочие чертежи с программным обеспечением

Дата актуализации: 10.08.2017

Серия 2.440-2

Выпуск 7. Болтовые фланцевые рамные соединения балок с колоннами стальных каркасов зданий и сооружений. Материалы для проектирования и рабочие чертежи с программным обеспечением

Обозначение: Серия 2.440-2
Обозначение англ: Series 2.440-2
Статус:не определен законодательством
Название рус.:Выпуск 7. Болтовые фланцевые рамные соединения балок с колоннами стальных каркасов зданий и сооружений. Материалы для проектирования и рабочие чертежи с программным обеспечением
Дата добавления в базу:01.09.2013
Дата актуализации:05.05.2017
Дата введения:01.02.1994
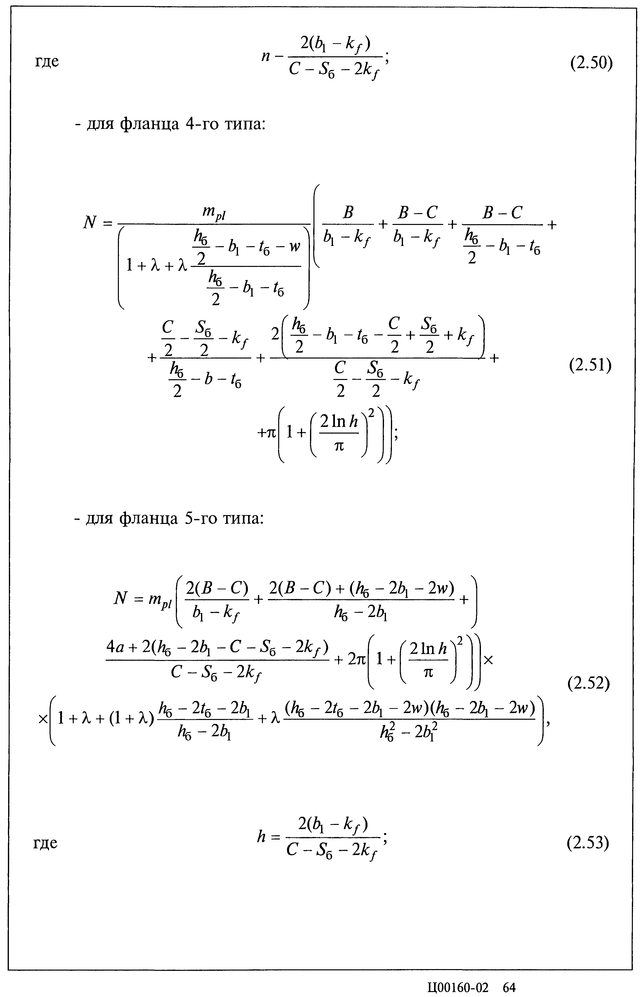
Оглавление:Раздел 1 Пояснительная записка к программному обеспечению
Раздел 2 Методика расчета прочности, жесткости и деформативности рамных фланцевых соединений
Разработан: НИПИПромстальконструкция
Утверждён:29.12.1993 Госстрой России (Russian Federation Gosstroy 9-3-3/306)
Расположен в:Техническая документация Строительство Справочные документы Типовые строительные конструкции, изделия и узлы Общероссийский строительный каталог Строительные конструкции, изделия и узлы зданий и сооружений для всех видов строительства Конструкции, изделия и узлы зданий Несущие конструкции одноэтажных зданий Узлы и детали сопряжения железобетонных и стальных конструкций
Серия 2.440-2Серия 2.440-2Серия 2.440-2Серия 2.440-2Серия 2.440-2Серия 2.440-2Серия 2.440-2Серия 2.440-2Серия 2.440-2Серия 2.440-2Серия 2.440-2Серия 2.440-2Серия 2.440-2Серия 2.440-2Серия 2.440-2Серия 2.440-2Серия 2.440-2Серия 2.440-2Серия 2.440-2Серия 2.440-2Серия 2.440-2Серия 2.440-2Серия 2.440-2Серия 2.440-2Серия 2.440-2Серия 2.440-2Серия 2.440-2Серия 2.440-2Серия 2.440-2Серия 2.440-2Серия 2.440-2Серия 2.440-2Серия 2.440-2Серия 2.440-2Серия 2.440-2Серия 2.440-2Серия 2.440-2Серия 2.440-2Серия 2.440-2Серия 2.440-2Серия 2.440-2Серия 2.440-2Серия 2.440-2Серия 2.440-2Серия 2.440-2Серия 2.440-2Серия 2.440-2Серия 2.440-2Серия 2.440-2Серия 2.440-2Серия 2.440-2Серия 2.440-2Серия 2.440-2Серия 2.440-2Серия 2.440-2Серия 2.440-2Серия 2.440-2Серия 2.440-2Серия 2.440-2Серия 2.440-2Серия 2.440-2Серия 2.440-2Серия 2.440-2Серия 2.440-2Серия 2.440-2Серия 2.440-2Серия 2.440-2Серия 2.440-2Серия 2.440-2Серия 2.440-2Серия 2.440-2Серия 2.440-2Серия 2.440-2Серия 2.440-2Серия 2.440-2Серия 2.440-2Серия 2.440-2Серия 2.440-2Серия 2.440-2Серия 2.440-2Серия 2.440-2Серия 2.440-2Серия 2.440-2

© 2013 Ёшкин Кот :-) Карта сайта