Скачать Серия 1.463.1-17 Выпуск 0. Указания по применениюДата актуализации: 10.08.2017 Серия 1.463.1-17
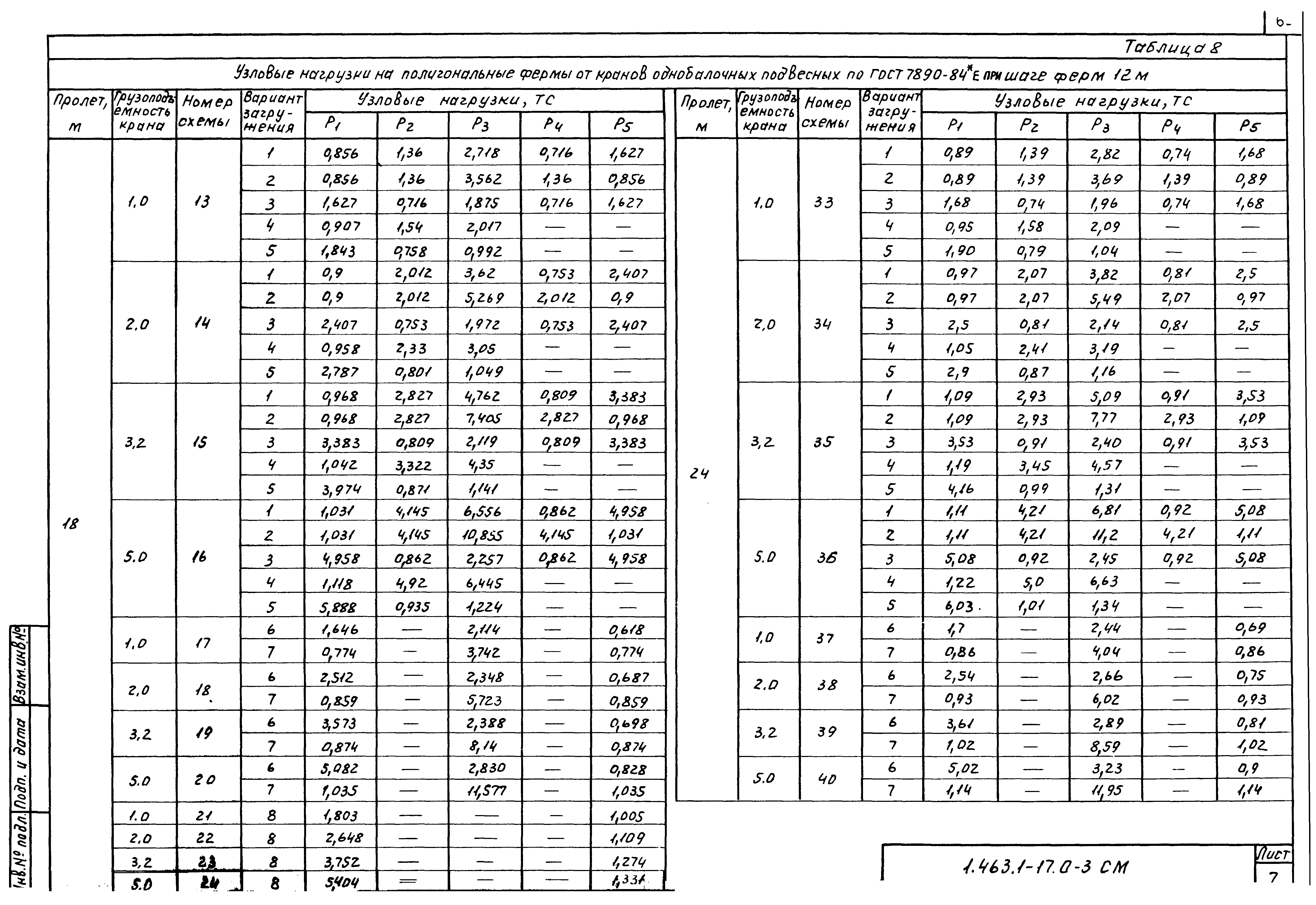
Выпуск 0. Указания по применениюОбозначение: | Серия 1.463.1-17 | Обозначение англ: | Series 1.463.1-17 | Статус: | не определен законодательством | Название рус.: | Выпуск 0. Указания по применению | Дата добавления в базу: | 01.09.2013 | Дата актуализации: | 05.05.2017 | Дата введения: | 01.08.1990 | Оглавление: | 1.463.1-17.0-ПЗ Пояснительная записка 1.463.1-17.0-НИ Номенклатура ферм 1.463.1-17.0-1СМ Таблица подбора марок ферм пролетом 18 м 1.463.1-17.0-2СМ Таблица подбора марок ферм пролетом 24 м 1.463.1-17.0-3СМ Схемы нагрузок на фермы пролетом 18 и 24 м 1.463.1-17.0-4СМ Усилия в элементах ферм пролетом 18 м от единичных нагрузок 1.463.1-17.0-5СМ Усилия в элементах ферм пролетом 24 м от единичных нагрузок 1.463.1-17.0-6СМ Пример раскладки железобетонных плит покрытия 1.463.1-17.0-7СМ Схема связей по покрытию с шагом ферм 6 м в несейсмических районах 1.463.1-17.0-8СМ Разрезы 1-1...4-4,6-6 к схемам № 1, № 11, № 12, № 15, № 16 1.463.1-17.0-9СМ Схема связей по покрытию с шагом ферм 12 м в несейсмических районах 1.463.1-17.0-10СМ Разрезы 1-1...4-4,6-6 к схемам № 2, № 13, № 14, № 17, № 18 1.463.1-17.0-11СМ Схема связей покрытия с шагом ферм 6 м при сейсмичности 7 баллов и отсутствии связей по колоннам 1.463.1-17.0-12СМ Разрезы 1-1...4-4 к схеме № 3 1.463.1-17.0-13СМ Схема связей покрытия с шагом ферм 6 м при сейсмичности 8 баллов и отсутствии связей по колоннам 1.463.1-17.0-14СМ Разрезы 1-1...4-4 к схеме № 4 1.463.1-17.0-15СМ Схема связей по покрытию с шагом ферм 6 м для расчетной сейсмичности 7 баллов (с подстропильными фермами) 1.463.1-17.0-16СМ Разрезы 1-1...4-4 к схеме № 5 1.463.1-17.0-17СМ Схема связей по покрытию с шагом ферм 6 м для расчетной сейсмичности 8 баллов (с подстропильными фермами) 1.463.1-17.0-18СМ Разрезы 1-1...4-4 к схеме № 6 1.463.1-17.0-19СМ Схема связей по покрытию с шагом ферм 12 м для расчетной сейсмичности 7 баллов 1.463.1-17.0-20СМ Разрезы 1-1...4-4 к схеме № 7 1.463.1-17.0-21СМ Схема связей по покрытию с шагом ферм 12 м для расчетной сейсмичности 8 баллов 1.463.1-17.0-22СМ Разрезы 1-1...4-4 к схеме № 8 1.463.1-17.0-23СМ Схема связей покрытия с шагом ферм 6 м, при сейсмичности 7 баллов и наличии связей по колоннам 1.463.1-17.0-24СМ Разрезы 1-1...4-4 к схеме № 9 1.463.1-17.0-25СМ Схема связей покрытия с шагом ферм 6 м при сейсмичности 8 баллов и наличии связей по колоннам 1.463.1-17.0-26СМ Разрезы 1-1...4-4 к схеме № 10 1.463.1-17.0-27СМ Схемы связей по покрытию с шагом ферм 6 м, L=18 м в несейсмических районах 1.463.1-17.0-28СМ Схема связей по покрытию с шагом ферм 6 м, L=24 м, в несейсмических районах 1.463.1-17.0-29СМ Схема связей по покрытию с шагом ферм 12 м, L=18 м, в несейсмических районах 1.463.1-17.0-30СМ Схема связей по покрытию с шагом ферм 12 м, L=24 м в несейсмических районах 1.463.1-17.0-31СМ Схема связей покрытия с шагом ферм 6 м, L=18 м, без сейсмичности (фонарь доходит до торца здания) 1.463.1-17.0-32СМ Схема связей покрытия с шагом ферм 6 м, L=24 м, без сейсмичности (фонарь доходит до торца здания) 1.463.1-17.0-33СМ Схема связей покрытия с шагом ферм 12 м, L=18 м, без сейсмичности (фонарь доходит до торца здания) 1.463.1-17.0-34СМ Схема связей покрытия с шагом ферм 12 м, L=24 м, без сейсмичности (фонарь доходит до торца здания) 1.463.1-17.0-35СМ Узлы 1,2 1.463.1-17.0-36СМ Узлы 3,4 1.463.1-17.0-37СМ Узлы 5,6,7 1.463.1-17.0-38СМ Узлы 8,9 1.463.1-17.0-39СМ Узлы 10,11 1.463.1-17.0-40СМ Разбивка дополнительных закладных изделий в фермах пролетом 18 м с шагом 6 и 12 м в здании без фонаря 1.463.1-17.0-41СМ Разбивка дополнительных закладных изделий в фермах пролетом 18 м с шагом 6 и 12 м в здании с фонарем 1.463.1-17.0-42СМ Разбивка дополнительных закладных изделий в фермах пролетом 24 м с шагом 6 и 12 м в здании без фонаря 1.463.1-17.0-43СМ Разбивка дополнительных закладных изделий в рядовых фермах пролетом 24 м с шагом 6 и 12 м в здании с фонарем 1.463.1-17.0-44СМ Разбивка дополнительных закладных изделий в фермах пролетом 24 м, расположенных под торцом фонаря в здании с фонарем | Разработан: | НИИСК НИИЖБ Укрниипроектстальконструкция ГПИ Промстройпроект
| Утверждён: | 18.12.1989 Главоргпроект Госстроя СССР (4/5-1546)
| Издан: | ЦИТП Госстроя СССР (CITP, Gosstroy (USSR) 1990 г. )
| Расположен в: |
|
                                                                                                                                 
|