| 
 | ||||||||||||||||||||||||||||||||
| 
 Скачать Прейскурант 57-09-2002 Цены на картосоставительские и картоиздательские работыДата актуализации: 10.08.2017
 | 
| Обозначение: |    Прейскурант 57-09-2002 | 
| Обозначение англ: |    57-09-2002 | 
| Статус: | действует | 
| Название рус.: | Цены на картосоставительские и картоиздательские работы | 
| Дата добавления в базу: | 01.09.2013 | 
| Дата актуализации: | 05.05.2017 | 
| Дата введения: | 01.01.2003 | 
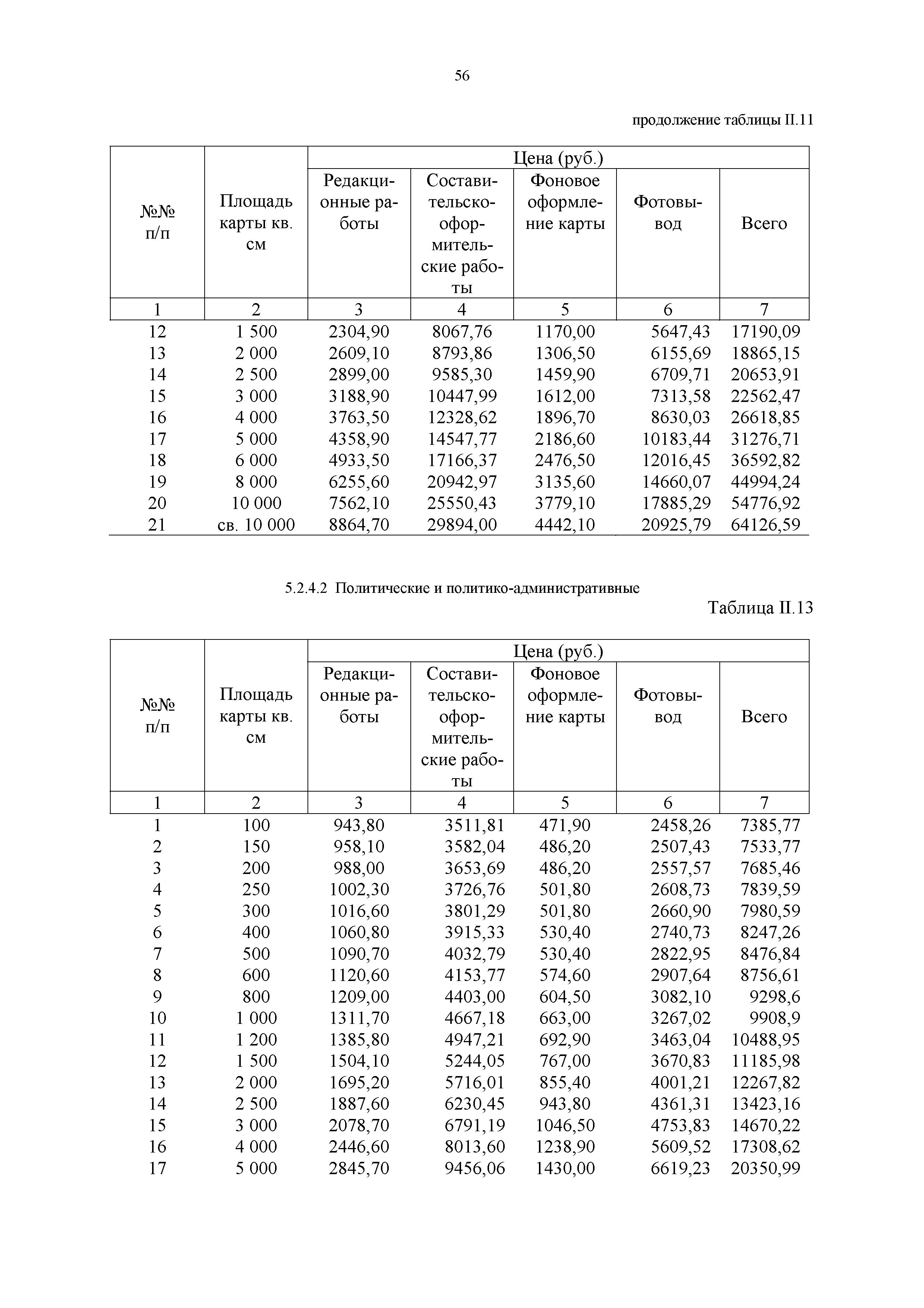
| Оглавление: | Общие положения Часть I. Картографические работы по созданию географических карт и атласов Раздел 1. Редакционные работы, составительские, издательские, красочные оригиналы и штриховые пробы 1.1. Указания о порядке применения цен на редакционные работы, составительские, издательские, красочные оригиналы и штриховые пробы 1.2. Категории трудности работ 1.2.1. Общегеографические, физические (в том числе с краеведческой нагрузкой), политические и политико-административные, природы, контурные 1.2.2 Социально-экономические 1.2.3. Учебные исторические 1.2.4. Справочные и научно-справочные исторические 1.2.5. Туристские 1.3. Цены на карты 1.3.1. Учебные карты 1.3.2. Туристские карты 1.3.3. Справочные карты 1.3.4. Научно-справочные карты 1.3.5. Проектирование атласов 1.3.6. Общие страницы карт и атласов Раздел 2. Красочные пробы 2.1. Указания о порядке применения цен на красочные пробы карт и атласов 2.2. Цены на дубликаты с диапозитивом 2.3. Цены на красочные пробы 2.3.1. Учебные карты 2.3.2. Туристские карты 2.3.3. Справочные карты 2.3.4. Научно-справочные карты 2.3.5. Топографические карты масштаба крупнее 1:1000000 2.3.6. Учебные атласы 2.3.7. Туристские дорожные, популярные атласы 2.3.8. Справочные атласы Раздел 3. Работа контрольной редакции 3.1. Цены на редакционный просмотр карт и атласов для разрешения на переиздание и выпуск в свет 3.2. Цены на пересмотр и утверждение карт и атласов контрольной редакцией Раздел 4. Цены на установление и нормализацию географических названий 4.1. Указания о порядке применения цен на установление и нормализацию географических названий 4.2. Категории трудности работ 4.3. Цены на установление и нормализацию географических названий Часть II. Создание карт с применением компьютерных технологий Раздел 5. Редакционные, составительские работы, фоновое оформление карт, фотовывод 5.1. Указание о порядке применения цен на редакционные, составительские работы, фоновое оформление карт, фотовывод 5.2. Цены на создание карт с применением компьютерных технологий 5.2.1. Учебные карты 2.3.2. Туристские карты 2.3.3. Справочные карты 2.3.4. Научно-справочные карты Часть III. Печатные и отделочные работы Раздел 6. Печатные и отделочные работы 6.1. Указания о порядке применения цен на печатные и отделочные работы 6.2. Цены на печатные и отделочные работы Раздел 7. Брошюровочно-переплетные работы при создании географических атласов 7.1. Указания о порядке применения цен на брошюровочные и переплетные работы 7.2. Цены на брошюровочные и переплетные работы Раздел 8. Печатные и отделочные работы топографических и других карт 8.1. Указания о порядке применения цен 8.2. Цены на топографические карты и планы 8.2.1. Цены на издание топографических карт 8.2.2. Цена на фотовывод 1 кв. дм одной краски на офсетном оборудовании 8.2.3. Изготовление 1 экземпляра цветопробы формата 1 кв. м на плоттере 8.3. Цены на карты-вкладки (вклейки) 8.3.1. Карты-вкладки (вклейки) для учебников 8.3.2. Карты-вклейки для энциклопедий 8.4. Цены на карты комплексного изучения природных ресурсов на основе космофотоснимков Раздел 9. Вспомогательные работы 9.1. Указания о порядке применения цен 9.2. Цены на ламинирование карт, наклейку карт на пенокартон и оформление их в багетных рамках, сканирование картматериалов на бумажной основе 9.2.1. Цены на ламинирование карт 9.2.2. Цены наклейки карт на пенокартон и оформление их в багетные рамки 9.2.3 Цены сканирования картматериалов на бумажной основе | 
| Разработан: | ЦНИИГАиК | 
| Утверждён: | 24.12.2002 Федеральная служба геодезии и картографии России (Russian Federation Federal Geodesy and Cartography Service 196-пр) | 
| Издан: | Роскартография (2003 г. ) | 
| Расположен в: | |
| Заменяет собой: | 
 | 
| Нормативные ссылки: | 





































































