Информационная система
«Ёшкин Кот»

Скачать базу одним архивом
Скачать обновления
История создания базы
Карта сайта

Скачать ГОСТ 26167-2005 Обувь повседневная. Общие технические условия

Дата актуализации: 10.08.2017

ГОСТ 26167-2005

Обувь повседневная. Общие технические условия

Обозначение: ГОСТ 26167-2005
Обозначение англ: GOST 26167-2005
Статус:действует
Название рус.:Обувь повседневная. Общие технические условия
Название англ.:Machine-made footwear. General specifications
Дата добавления в базу:01.09.2013
Дата актуализации:05.05.2017
Дата введения:01.01.2007
Область применения:Стандарт распространяется на повседневную мужскую и женскую обувь из кожи, текстиля и с комбинированым верхом.
Оглавление:1 Область применения
2 Нормативные ссылки
3 Классификация, основные параметры иразмеры
4 Общие технические требования
5 Правила приемки
6 Методы контроля
7 Транспортирование и хранение
8 Гарантии изготовителя
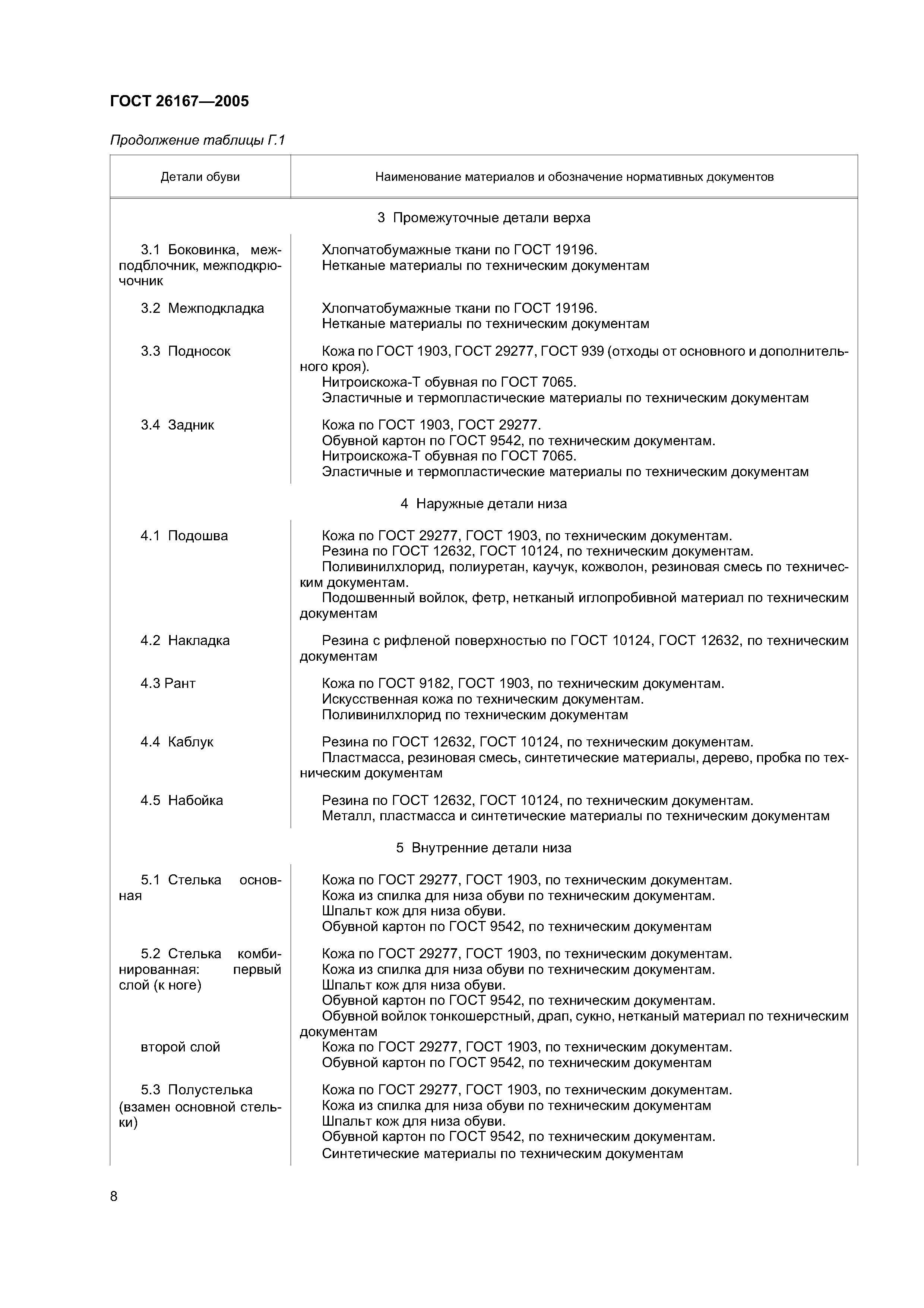
Приложение А Линейные размеры обуви и ее деталей
Приложение Б Требования к обуви, предусматриваемые в техническом описании
Приложение В Конструктивные особенности обуви для людей пожилого возраста
Приложение Г Перечень материалов, применяемых для изготовления обуви
Приложение Д Рекомендации по выбору, уходу и эксплуатации обуви
Разработан: ФГУП ЦНИИКП
Утверждён:09.12.2005 Межгосударственный Совет по стандартизации, метрологии и сертификации (Inter-Governmental Council on Standardization, Metrology, and Certification 28)
15.05.2006 Федеральное агентство по техническому регулированию и метрологии (96-ст)
Издан: Стандартинформ (2006 г. )
Расположен в:Техническая документация Электроэнергия ШВЕЙНАЯ ПРОМЫШЛЕННОСТЬ Обувь Экология ШВЕЙНАЯ ПРОМЫШЛЕННОСТЬ Обувь
Заменяет собой:
Нормативные ссылки:
ГОСТ 26167-2005ГОСТ 26167-2005ГОСТ 26167-2005ГОСТ 26167-2005ГОСТ 26167-2005ГОСТ 26167-2005ГОСТ 26167-2005ГОСТ 26167-2005ГОСТ 26167-2005ГОСТ 26167-2005ГОСТ 26167-2005ГОСТ 26167-2005ГОСТ 26167-2005ГОСТ 26167-2005ГОСТ 26167-2005

© 2013 Ёшкин Кот :-) Карта сайта