Информационная система
«Ёшкин Кот»

Скачать базу одним архивом
Скачать обновления
История создания базы
Карта сайта

Скачать РД 50-411-83 Методические указания. Расход жидкостей и газов. Методика выполнения измерений с помощью специальных сужающих устройств

Дата актуализации: 10.08.2017

РД 50-411-83

Методические указания. Расход жидкостей и газов. Методика выполнения измерений с помощью специальных сужающих устройств

Обозначение: РД 50-411-83
Обозначение англ: RD 50-411-83
Статус:действует
Название рус.:Методические указания. Расход жидкостей и газов. Методика выполнения измерений с помощью специальных сужающих устройств
Дата добавления в базу:01.09.2013
Дата актуализации:05.05.2017
Дата введения:01.07.1984
Область применения:Методические указания устанавливают основы измерения расхода жидкостей и газов методом переменного перепада давления, создаваемого специальными сужающими устройствами, и регламентируют требования к расходомерным устройствам при их разработке, проектировании, монтаже, эксплуатации и поверке.
Оглавление:Условные обозначения
1. Основные положения
2. Основные уравнения расхода
3. Коэффициент расхода
4. Определение основных параметров потоков измеряемой среды
5. Погрешности измерения расхода
6. Требования к специальным сужающим устройствам
7. Потеря давления
8. Установка специальных сужающих устройств
9. Расчет специального сужающего устройства
10. Поверка расходомера
Приложение 1 Первые производные функции
Приложение 2 Зависимость для специальных сужающих устройств
Приложение 3 Значения величины для износоустойчивых диафрагм
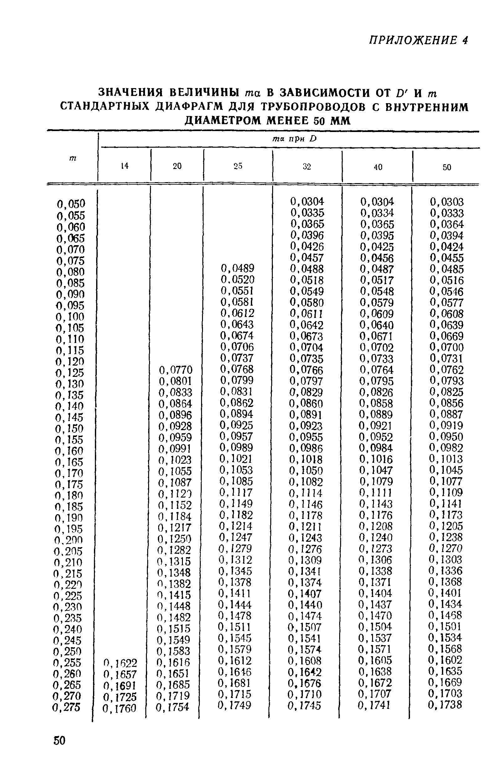
Приложение 4 Значения величины стандартных диафрагм для трубопроводов с внутренним диаметром менее 50 мм
Разработан: Госстандарт СССР
Утверждён:17.06.1983 Госстандарт СССР (USSR Gosstandart 2586)
Издан: Издательство стандартов (1984 г. )
Расположен в:Техническая документация Экология МЕТРОЛОГИЯ И ИЗМЕРЕНИЯ. ФИЗИЧЕСКИЕ ЯВЛЕНИЯ Измерения параметров потока жидкости Измерения параметров потока жидкости в целом МАТЕМАТИКА. ЕСТЕСТВЕННЫЕ НАУКИ Физика. Химия
Нормативные ссылки:
РД 50-411-83РД 50-411-83РД 50-411-83РД 50-411-83РД 50-411-83РД 50-411-83РД 50-411-83РД 50-411-83РД 50-411-83РД 50-411-83РД 50-411-83РД 50-411-83РД 50-411-83РД 50-411-83РД 50-411-83РД 50-411-83РД 50-411-83РД 50-411-83РД 50-411-83РД 50-411-83РД 50-411-83РД 50-411-83РД 50-411-83РД 50-411-83РД 50-411-83РД 50-411-83РД 50-411-83РД 50-411-83РД 50-411-83РД 50-411-83РД 50-411-83РД 50-411-83РД 50-411-83РД 50-411-83РД 50-411-83РД 50-411-83РД 50-411-83РД 50-411-83РД 50-411-83РД 50-411-83РД 50-411-83РД 50-411-83РД 50-411-83РД 50-411-83РД 50-411-83РД 50-411-83РД 50-411-83РД 50-411-83РД 50-411-83РД 50-411-83РД 50-411-83РД 50-411-83РД 50-411-83

© 2013 Ёшкин Кот :-) Карта сайта