| ||||||||||||||||||||||
Скачать Подъемно-транспортное оборудование. Грузоподъемные краныДата актуализации: 10.08.2017 |
| Статус: | действует |
| Название рус.: | Подъемно-транспортное оборудование. Грузоподъемные краны |
| Дата добавления в базу: | 01.09.2013 |
| Дата актуализации: | 05.05.2017 |
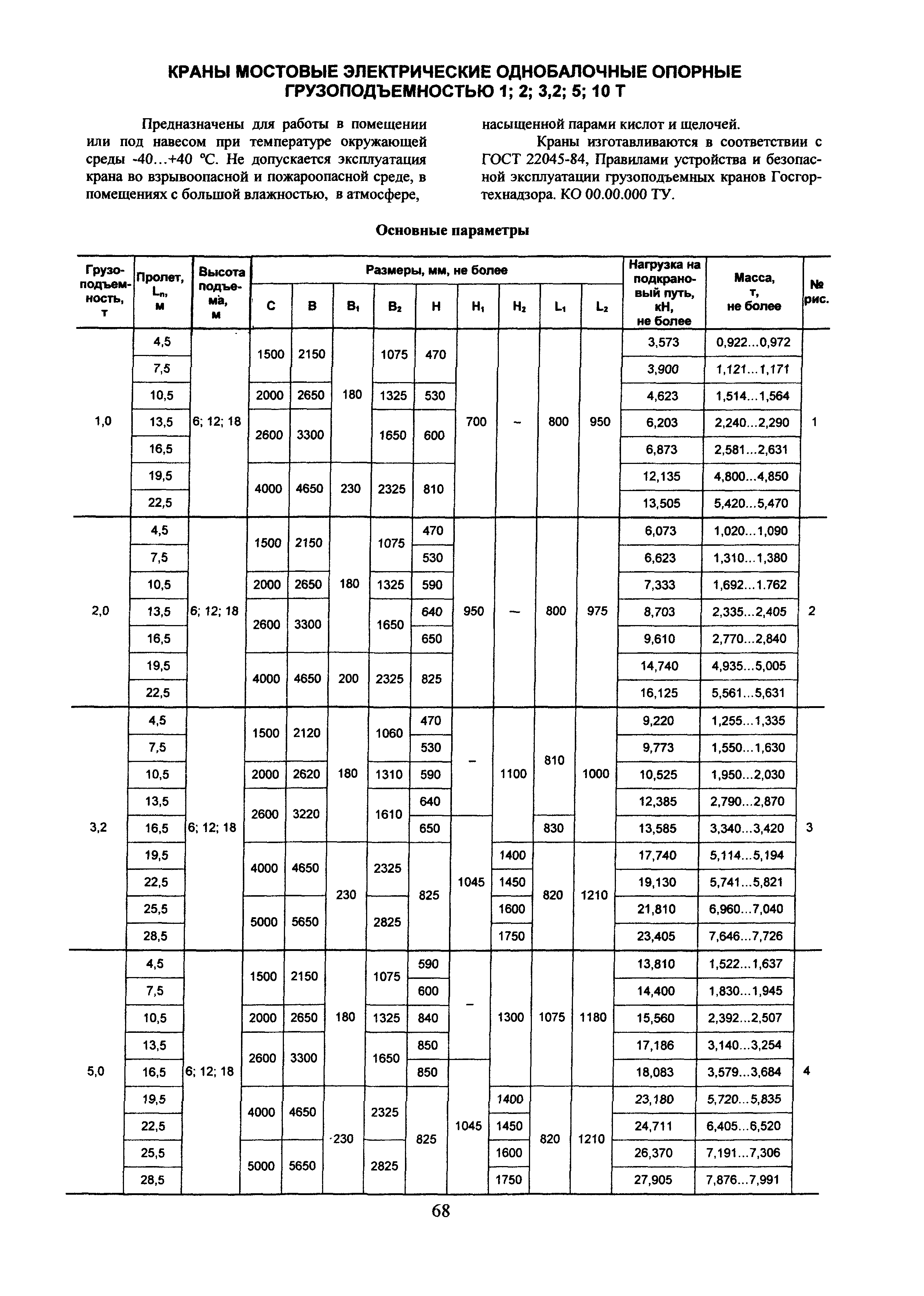
| Оглавление: | Краны башенные Кран-погрузчик КБ-578 Кран башенный КБ-408.21 Кран башенный КБ-403Б.4 Кран башенный КБ-403Б Кран башенный строительный приставной КБ-471.У 1 Кран башенный БК-1000Б Кран башенный мобильный самомонтирующийся КБМ-401П Краны мостовые Краны мостовые электрические общего назначения грузоподъемностью 5; 10; 16; 16/3,2т Краны мостовые электрические общего назначения грузоподъемностью 20/5; 32/5; 50/12.5; 60/20; 100/20 т Краны мостовые электрические общего назначения грузоподъемностью 5; 10; 12,5; 16; 16/3,2; 20; 20/5; 32; 32/5; 50; 50/10 т Краны мостовые электрические общего назначения грузоподъемностью 80/20; 100/20; 125/20; 160/32; 250/32; 320/32 т Краны мостовые электрические общего назначения грузоподъемностью 16/3,2; 20/5; 32/5; 50/12,5 т Краны мостовые электрические грузоподъемностью 32/5; 20/5 т Краны мостовые электрические специальные грузоподъемностью 5; (2,5+2,5) т Краны мостовые электрические специальные грузоподъемностью 16; 16/3,2; 20/5; 32/5 т Краны мостовые электрические специальные для длинномерных грузов с гибким подвесом траверсы грузоподъемностью 10 (5+5); 20 (10+10); 32 (16+16); 40 (20+20) т Краны мостовые электрические специальные двухтележечные, управляемые с пола (с подвесного пульта) или по радиоканалу грузоподъемностью 5+5; 10+10; 16+16; 20+20 т Краны мостовые электрические специальные с увеличенной до 50 м высотой подъема, управляемые из кабины грузоподъемностью 5; 10; 12,5; 16/3,2; 20/5; 32/5; 50/10 т Краны мостовые специальные с траверсой поперек грузоподъемностью (5+5); (8+8) т Краны мостовые электрические с жестким подвесом траверсы и поворотной тележкой грузоподъемностью 16; 23 т Краны мостовые электрические специальные магнито-грейферные грузоподъемностью 5; 10; 16; 20 т Краны мостовые магнито-грейферные грузоподъемностью 16/16; 10/10 т Краны мостовые магнито-грейферные грузоподъемностью 16/3,2; 10/10 т и более Краны мостовые магнитные грузоподъемностью 10; 16; 16/3,2; 20/5; 32 т Кран мостовой электрический- мульдозавалочный грузоподъемностью 20/5 т Краны мостовые электрические специальные грейферные грузоподъемностью 2; 3,2; 5; 12,5 т Краны мостовые электрические специальные грейферные грузоподъемностью 5; 10; 12,5; 16; 20 т Краны мостовые общего назначения КМ 80/20, КМ 100/20, КМ 125/20, КМ 160, КМ 200 Краны мостовые электрические общего назначения грузоподъемностью 5…50 т Кран мостовой (ТУ 24.09.404.83):электрический - управление из кабины, унифицированный – управление с пола грузоподъемностью 5 т Кран мостовой электрический (ТУ 24.09.646.90) грузоподъемностью 10 т Кран мостовой электрический (ТУ 24.09.404.83) грузоподъемностью 16 т Кран мостовой электрический (ТУ 24.09.404.83) грузоподъемностью 12,5 т Краны мостовые электрические, управление из кабины (ТУ 24.09.404.83) грузоподъемностью 20 т и 20/5 т Кран мостовой грузоподъемностью 30/5 т Кран мостовой грузоподъемностью 16 т Кран мостовой электрический с конвейерным захватом грузоподъемностью 20 т Краны мостовые электрические двухбалочные опорные грузоподъемностью 5; 10; 12,5; 16; 20 т Краны мостовые электрические двухбалочные опорные грузоподъемностью 16/3,2; 20/5; 32/5 т Краны мостовые двухбалочные опорные грузоподъемностью до 10 т Краны мостовые грейферные, управляемые из кабины грузоподъемностью 5; 10 т Краны мостовые электрические однобалочные опорные грузоподъемностью 1; 2; 3,2; 5; 10 т Краны мостовые электрические однобалочные опорные грузоподъемностью 1; 2; 3,2; 12,5 т Краны мостовые электрические однобалочные опорные грузоподъемностью 3,2; 5; 10 т Краны мостовые электрические однобалочные опорные грузоподъемностью 5; 10; 12,5 т Краны мостовые электрические однобалочные опорные грузоподъемностью 1; 2; 3,2; 5; 10 т Краны мостовые электрические однобалочные опорные грузоподъемностью 2; 3,2; 5 т Кран мостовой электрический однобалочный опорный грузоподъемностью 10 т Краны мостовые электрические однобалочные опорные грузоподъемностью 1; 2; 3,2; 5 т Кран мостовой электрический однобалочный опорный грузоподъемностью 10,0 т Краны мостовые электрические однобалочные опорные грузоподъемностью 1; 2; 3,2; 5; 10 т Краны мостовые электрические однобалочные опорные блочно-модульной конструкции грузоподъемностью 1; 2; 3,2; 5 и 6,3 т Краны мостовые однобалочные опорные ручные грузоподъемностью 3,2; 5; 8 т Краны мостовые однобалочные опорные ручные грузоподъемностью 1; 2; 3,2; 5 т Краны мостовые электрические однобалочные подвесные грузоподъемностью 1; 2; 3,2; 5 т Краны мостовые электрические однобалочные подвесные грузоподъемностью 10 т Краны мостовые электрические однобалочные подвесные грузоподъемностью 1; 2; 3,2; 5; 10 т Кран электрический подвесной КР-676.00.000 ГЧ грузоподъемностью 1 т Кран мостовой электрический однобалочный подвесной грузоподъемностью 10 т Краны мостовые электрические однобалочные подвесные однопролетные грузоподъемностью 1; 2; 3,2; 5 т Краны мостовые электрические однобалочные подвесные однопролетные грузоподъемностью 1; 2; 3,2; 5; 10 т Кран мостовой электрический однопролетный подвесной с изменяющимся пролетом грузоподъемностью 5 т Кран мостовой электрический двухпролетный подвесной с изменяющимся пролетом грузоподъемностью 1 т Краны мостовые электрические однобалочные подвесные двухпролетные грузоподъемностью 1; 2; 3,2; 5 т Краны мостовые электрические однобалочные подвесные двухпролетные грузоподъемностью 10 т Краны мостовые электрические однобалочные подвесные двухпролетные грузоподъемностью 1; 2; 3,2; 5 т Краны мостовые электрические однобалочные подвесные двухпролетные грузоподъемностью 10 т Краны мостовые электрические однобалочные подвесные двухпролетные грузоподъемностью 1; 2; 3,2; 5 т Краны мостовые однобалочные подвесные двухпролетные грузоподъемностью 1; 2; 3,2; 5 т Краны мостовые электрические однобалочные подвесные двухпролетные грузоподъемностью 1; 2; 3,2; 5 т Краны мостовые однобалочные подвесные ручные грузоподъемностью 1; 2; 3,2; 5 т Краны мостовые однобалочные подвесные ручные грузоподъемностью 1; 3,2; 5 т Краны мостовые однобалочные подвесные ручные грузоподъемностью 1; 2; 3,2; 5 т Краны ручные подвесные грузоподъемностью 0,5; 1; 2; 3,2; 5 т Краны двухбалочные подвесные ручные и электронные грузоподъемностью до 10 т Краны мостовые специализированного назначения Краны козловые Кран козловой электрический для лесоматериалов грузоподъемностью 16 или 12,5 т Краны козловые электрические специальные ККТ грузоподъемностью 2; 3,2; 5; 10 т Краны козловые ККТ грузоподъемностью 3,2; 5; 10; 12,5 т Кран козловой ККГЗ-25-32 грузоподъемностью 20 (25; 10) т Кран козловой КК-25 Краны козловые грузоподъемностью 10; 12,5; 16; 20 т Краны козловые электрические общего назначения с грузовой тележкой на монорельсе грузоподъемностью 10; 12,5 16/12,5; 3,2; 5; 8; 12,5 т Краны козловые электрические общего назначения с двухрельсовой подвесной тележкой грузоподъемностью 10/12,5; 12,5; 32/12,5 т Краны козловые электрические общего назначения двухбалочные грузоподъемностью 10; 12,5; 20; 20/5 т Краны козловые электрические общего назначения с электроталью грузоподъемностью 3,2; 5; 8; 12,5 т Краны козловые электрические общего назначения с электроталью грузоподъемностью 5 т Кран козловой электрический одноконсольный двухблочный грузоподъемностью 10 т Краны козловые грузоподъемностью 5; 10 т Кран козловой электрический, управляемый из кабины грузоподъемностью 5 т Кран козловой грузоподъемностью 480 т Кран козловой грузоподъемностью 2x320/32 т Кран козловой грузоподъемностью 2x160 т Кран козловой грузоподъемностью 2x50/10 т Кран козловой грузоподъемностью 100/20 т Кран козловой грузоподъемностью 500/63/5 т Кран козловой грузоподъемностью 500/100+10 т Кран козловой грузоподъемностью 2x100/20+10 т Кран козловой грузоподъемностью 630/50 т Кран козловой грузоподъемностью 160/50 т Кран козловой грузоподъемностью 100+10 т Кран козловой грузоподъемностью 320 т Кран козловой грузоподъемностью 120 т Кран козловой грузоподъемностью 160/25+10 т Кран козловой электрический грейферный грузоподъемностью 12,5 т Кран козловой контейнерный грузоподъемностью 36,5 т Кран козловой контейнерный грузоподъемностью 30,5; 34 т Кран полукозловой с магнитной шайбой грузоподъемностью 5 т Кран полукозловой завалочный грузоподъемностью 2x40 т Кран полукозловой грузоподъемностью 2х110 т Кран полукозловой завалочный грузоподъемностью 2х130 т Краны полукозловые электрические, управляемые с пола грузоподъемностью 3,2; 5; 6,3 т Краны консольные Краны консольные стационарные поворотные грузоподъемностью 0,5; 1; 2; 3,2 т Краны консольные стационарные электрические с ручным поворотом консоли грузоподъемностью 0,25; 0,5; 1;2 т Краны консольные стационарные электрические с ручным поворотом консоли грузоподъемностью 0,25; 0,5; 1; 2 т Краны консольные стационарные электрические с механическим поворотом консоли грузоподъемностью 0,5; 1; 2; 3,2 т Краны консольные стационарные настенные с ручным поворотом консоли грузоподъемностью 0,25; 0,5; 1 т Краны консольные электрические настенные с ручным поворотом консоли грузоподъемностью 0,25; 0,5; 1 т Краны консольные электрические поворотные грузоподъемностью 1… 5 т Краны консольные электрические и ручные грузоподъемностью до 3,2 т Краны судовые и портовые Кран-балка электрическая комбинированная КБЭ-2,5 Краны судовые грузовые электрогидравлические КЭГ 2013, КЭГ 3212, КЭГ 5014 грузоподъемностью 2; 3,2; 6 т Кран судовой грузовые электрогидравлический универсальный «УНИВЕРСАЛ» грузоподъемностью 5 т Краны судовые грузовые электрогидравлические КЭГ 8012, КЭГ 8014, КЭГ 8014М, КЭГ 8018 грузоподъемностью 8 т Краны судовые грузовые электрогидравлические тип «АТЛАНТ» грузоподъемностью 12,5 т Краны судовые мостовые с электрическим приводом тип КЭМ грузоподъемностью 3,2; 5; 10 т Краны портальные перегрузочные КПП 40-34-10,5; КПП 16-36-10,5 Кран портальный КПМ 40-27-10,5 Кран портальный монтажный КПМ 160/80-38/63-15 Адреса предприятий-изготовителей Содержание |
| Разработан: | ОАО ВНИИТЭМР |
| Утверждён: | 13.03.2006 ОАО ВНИИТЭМР |
| Издан: | ИФК Каталог (2006 г. ) |
| Расположен в: |






































































































































































