Информационная система
«Ёшкин Кот»

Скачать базу одним архивом
Скачать обновления
История создания базы
Карта сайта

Скачать ГОСТ Р 41.95-2005 Единообразные предписания, касающиеся защиты водителя и пассажиров в случае бокового столкновения

Дата актуализации: 10.08.2017

ГОСТ Р 41.95-2005

Единообразные предписания, касающиеся защиты водителя и пассажиров в случае бокового столкновения

Обозначение: ГОСТ Р 41.95-2005
Обозначение англ: GOST R 41.95-2005
Статус:действует
Название рус.:Единообразные предписания, касающиеся защиты водителя и пассажиров в случае бокового столкновения
Название англ.:Uniform provisions concerning the protection of the occupants of vehicles in the event of a lateral collision
Дата добавления в базу:01.09.2013
Дата актуализации:05.05.2017
Дата введения:01.07.2006
Область применения:Стандарт устанавливает требования к характеру изменения конструкции салона транспортных средств категорий М1 и N1, в котором точка R самого низкого сиденья находится на высоте не более 700 мм над поверхностью земли, в случае бокового столкновения, если техническое состояние транспортного средства таково, что его масса соответствует контрольной массе.
Оглавление:1 Область применения
1а Нормативные ссылки
2 Термины и определения
3 Заявка на проведение испытаний
4 Соответствие требованиям настоящего стандарта
5 Технические требования и испытания
6 Модификация типа транспортного средства
Приложение 1 Форма приложения к заявке на проведение испытаний. Техническое описание
Приложение 2 Процедура определения точки Н и фактического угла наклона туловища сидящего в автомобиле водителя или пассажира
   Дополнение 1 Описание объемного механизма определения точки Н
   Дополнение 2 Трехмерная система координат
   Дополнение 3 Исходные данные, касающиеся мест для сидения
Приложение 3 Процедура испытания на столкновение
   Дополнение 1 Определение показателей травмирования
   Дополнение 2 Процедура для расчета показателя по мягким тканям для манекена EUROSID-1
Приложение 4 Характеристики подвижного деформирующегося барьера
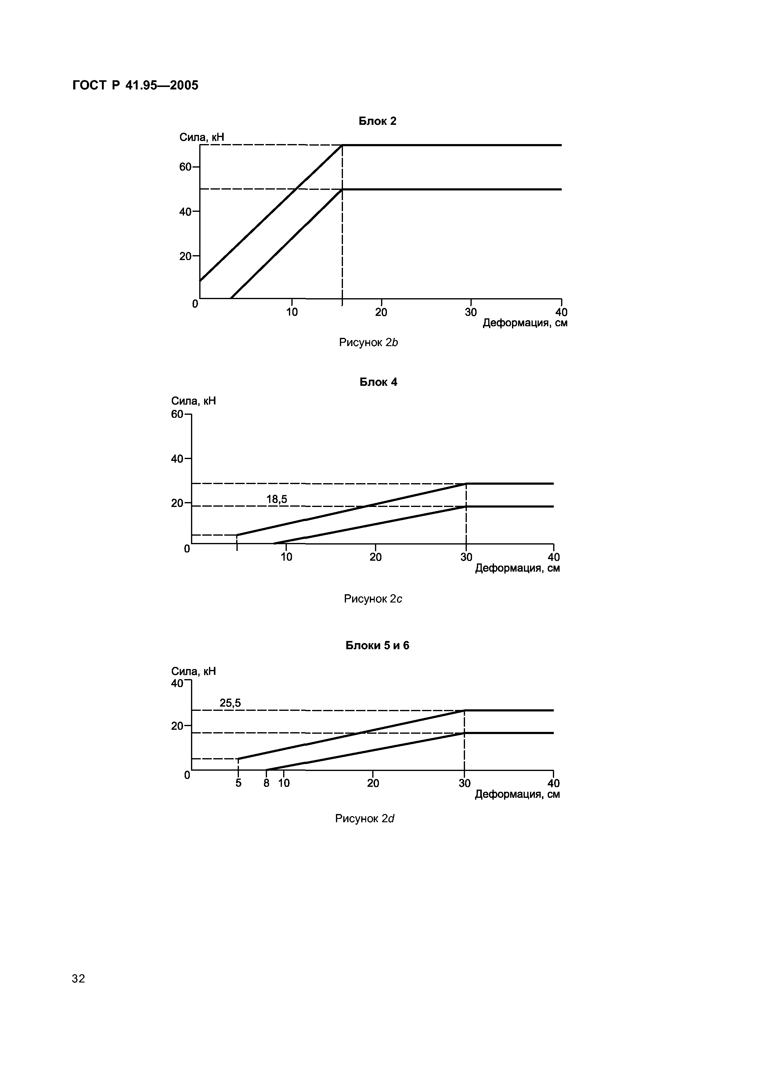
   Дополнение 1 Кривые соотношения сила-деформация для статических испытаний
   Дополнение 2 Кривые соотношения сила- деформация для динамических испытаний
Приложение 5 Техническое описание манекена для испытания на боковой удар
Приложение 6 Установка манекена для испытания на боковой удар
Приложение 7 Частичные испытания
Приложение 8 Сравнение структуры настоящего стандарта со структурой Правил ЕЭК ООН № 95
Библиография
Разработан: ВНИИНМАШ
Утверждён:29.12.2005 Федеральное агентство по техническому регулированию и метрологии (465-ст)
Издан: Стандартинформ (2006 г. )
Расположен в:Техническая документация Электроэнергия ДОРОЖНО-ТРАНСПОРТНАЯ ТЕХНИКА Системы дорожно-транспортных средств Кузова и их компоненты Экология ДОРОЖНО-ТРАНСПОРТНАЯ ТЕХНИКА Системы дорожно-транспортных средств Кузова и их компоненты
Заменяет собой:
Нормативные ссылки:
ГОСТ Р 41.95-2005ГОСТ Р 41.95-2005ГОСТ Р 41.95-2005ГОСТ Р 41.95-2005ГОСТ Р 41.95-2005ГОСТ Р 41.95-2005ГОСТ Р 41.95-2005ГОСТ Р 41.95-2005ГОСТ Р 41.95-2005ГОСТ Р 41.95-2005ГОСТ Р 41.95-2005ГОСТ Р 41.95-2005ГОСТ Р 41.95-2005ГОСТ Р 41.95-2005ГОСТ Р 41.95-2005ГОСТ Р 41.95-2005ГОСТ Р 41.95-2005ГОСТ Р 41.95-2005ГОСТ Р 41.95-2005ГОСТ Р 41.95-2005ГОСТ Р 41.95-2005ГОСТ Р 41.95-2005ГОСТ Р 41.95-2005ГОСТ Р 41.95-2005ГОСТ Р 41.95-2005ГОСТ Р 41.95-2005ГОСТ Р 41.95-2005ГОСТ Р 41.95-2005ГОСТ Р 41.95-2005ГОСТ Р 41.95-2005ГОСТ Р 41.95-2005ГОСТ Р 41.95-2005ГОСТ Р 41.95-2005ГОСТ Р 41.95-2005ГОСТ Р 41.95-2005ГОСТ Р 41.95-2005ГОСТ Р 41.95-2005ГОСТ Р 41.95-2005ГОСТ Р 41.95-2005ГОСТ Р 41.95-2005ГОСТ Р 41.95-2005ГОСТ Р 41.95-2005ГОСТ Р 41.95-2005ГОСТ Р 41.95-2005ГОСТ Р 41.95-2005ГОСТ Р 41.95-2005ГОСТ Р 41.95-2005ГОСТ Р 41.95-2005ГОСТ Р 41.95-2005ГОСТ Р 41.95-2005ГОСТ Р 41.95-2005ГОСТ Р 41.95-2005

© 2013 Ёшкин Кот :-) Карта сайта