Информационная система
«Ёшкин Кот»

Скачать базу одним архивом
Скачать обновления
История создания базы
Карта сайта

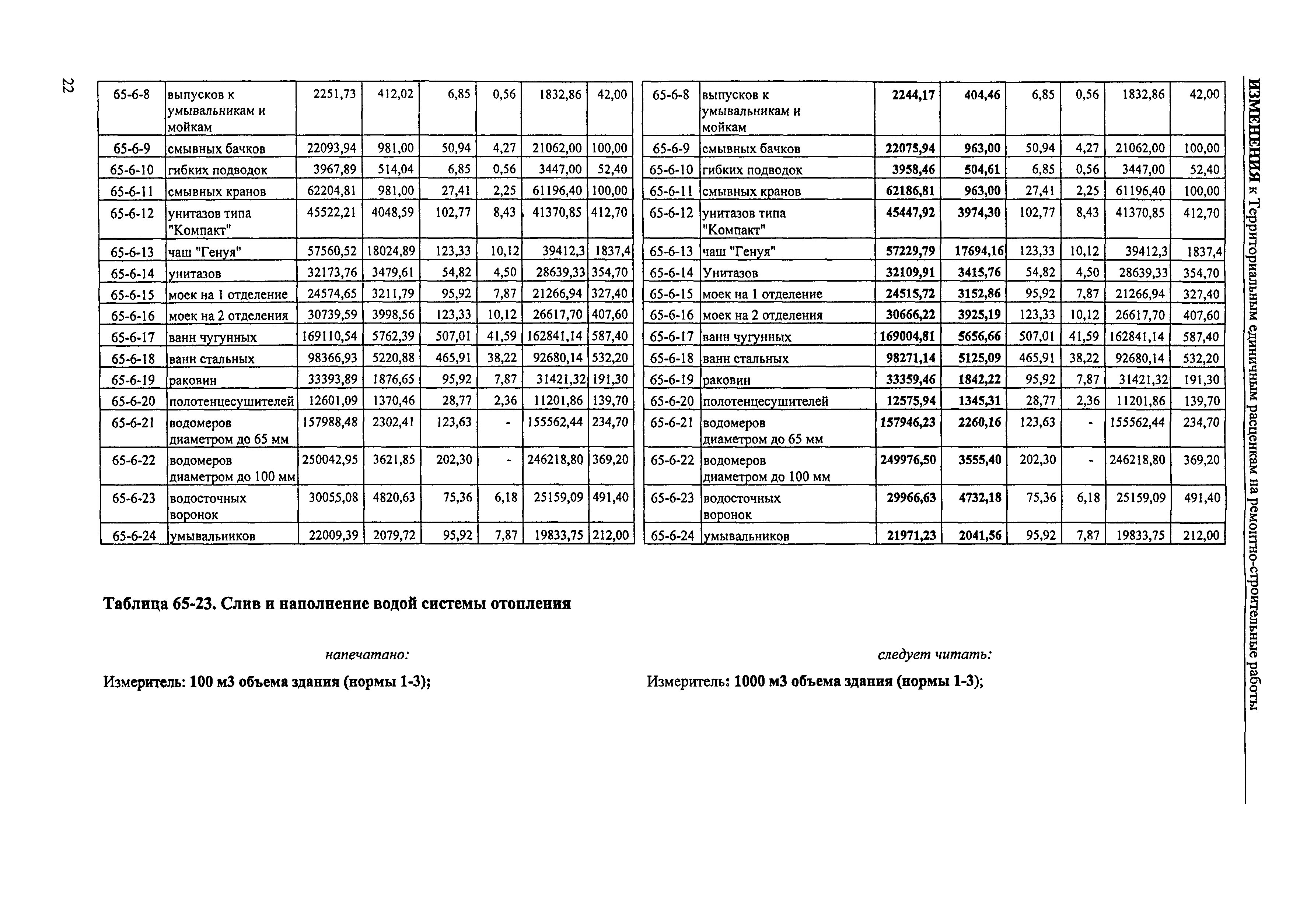
Скачать ТЕРр Калининградской области ТЕРр-2001 Территориальные единичные расценки на ремонтно-строительные работы в Калининградской области

Дата актуализации: 10.08.2017

ТЕРр Калининградской области ТЕРр-2001

Территориальные единичные расценки на ремонтно-строительные работы в Калининградской области

Обозначение: ТЕРр Калининградской области ТЕРр-2001
Обозначение англ: ТЕРр-2001
Статус:действует
Название рус.:Территориальные единичные расценки на ремонтно-строительные работы в Калининградской области
Дата добавления в базу:01.09.2013
Дата актуализации:05.05.2017
Дата введения:13.02.2002
Область применения:Предназначены для определения прямых затрат в сметной стоимости ремонтно-строительных работ по разборке, демонтажу, ремонту, усилению и замене строительных конструкций, инженерного оборудования и восстановлению отделочных покрытий в условиях организации рабочих мест внутрипостроечного перемещения строительных материалов, деталей и конструкций на объекттах ремонта и реконструкции зданий и сооружений, а также для расчетов за выполненные ремонтно-строительные работы.
Оглавление:Общие указания по применению Территориальных единичных расценок на ремонтно-строительные работы в Калининградской области ТЕРр-2001
    1. Общие положения
    2. Применение единичных расценок
    3. Средние сметные цены
    4. Затраты труда и размер средств на оплату труда
Разработан: Калининградский ОГУ Региональный центр по ценообразованию в строительстве
Утверждён:17.12.2001 Межведомственная комиссия по переходу на новые сметные нормы и цены в строительстве при строительном комитете администрации Калиниградской области (2)
Издан: Администрация Калининградской области (2002 г. )
Расположен в:Техническая документация Строительство Нормативные документы Нормативные документы субъектов Российской Федерации Нормативные документы Калининградской области
Список изменений:
Заменяет собой:
  • «Сборника ведомственных единичных расценок на ремонтно-строительные работы, утвержденного решением Калининградского облисполкома 28.01.1998 г. № 25-р»
Нормативные ссылки:
ТЕРр Калининградской области ТЕРр-2001ТЕРр Калининградской области ТЕРр-2001ТЕРр Калининградской области ТЕРр-2001ТЕРр Калининградской области ТЕРр-2001ТЕРр Калининградской области ТЕРр-2001ТЕРр Калининградской области ТЕРр-2001

Текстовое изменение № 1 от 15.12.2003

№ 1№ 1№ 1№ 1№ 1№ 1№ 1№ 1№ 1№ 1№ 1№ 1№ 1№ 1№ 1№ 1№ 1№ 1№ 1№ 1№ 1№ 1№ 1№ 1№ 1№ 1№ 1№ 1№ 1№ 1№ 1№ 1№ 1№ 1

© 2013 Ёшкин Кот :-) Карта сайта