Информационная система
«Ёшкин Кот»

Скачать базу одним архивом
Скачать обновления
История создания базы
Карта сайта

Скачать ТЕР Калининградской области 2001-19 Газоснабжение - внутренние устройства. Территориальные единичные расценки на строительные работы в Калининградской области

Дата актуализации: 10.08.2017

ТЕР Калининградской области 2001-19

Газоснабжение - внутренние устройства. Территориальные единичные расценки на строительные работы в Калининградской области

Обозначение: ТЕР Калининградской области 2001-19
Обозначение англ: 2001-19
Статус:действует
Название рус.:Газоснабжение - внутренние устройства. Территориальные единичные расценки на строительные работы в Калининградской области
Дата добавления в базу:01.09.2013
Дата актуализации:05.05.2017
Дата введения:22.12.2004
Область применения:Предназначен для определения прямых затрат в сметной стоимости строительных работ по установке внутренних устройств газоснабжения в жилых, общественных и коммунально-бытовых зданиях независимо от материалов стен, перекрытий и перегородок и для расчетов за выполненные работы.
Оглавление: Техническая часть
    1. Общие указаиня
    2. Правила исчисления объемов работ
    3. Коэффициенты к расценкам
    4. Оплата труда рабочих-строителей
 Приложение 1. Сметные расценки на эксплуатацию строительных машин и автотранспортных средств в базисных енах Калининградской области по состоянию на 01.01.2000 г.
 Приложение 2. Сметные цены на материалы, изделия и конструкции в базисных ценах Калининградской области по состоянию на 01,01.2000 г.
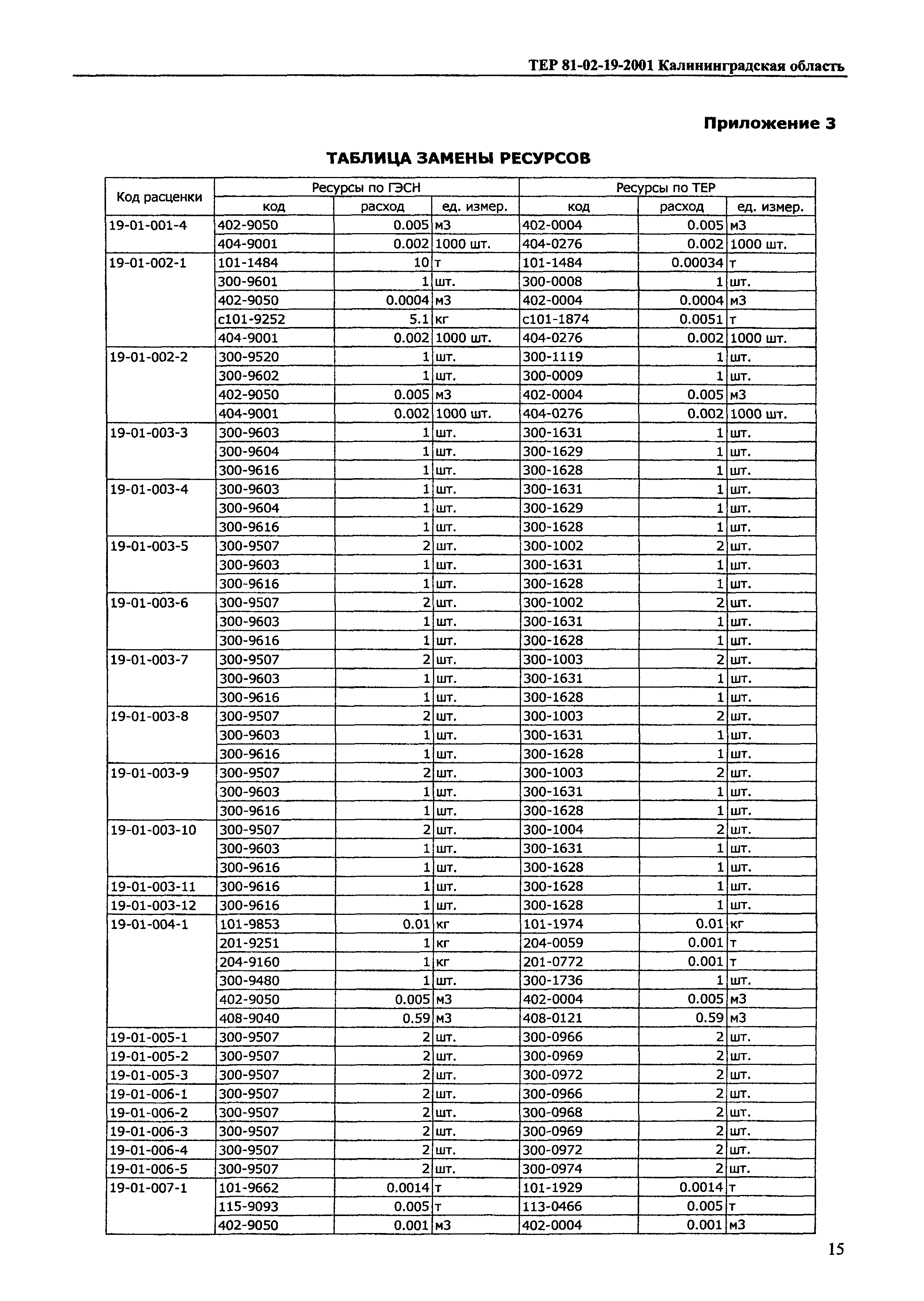
 Приложеине 3. Таблица замены ресурсов
Разработан: Калининградский ОГУ Региональный центр по ценообразованию в строительстве
Утверждён:22.12.2004 Администрация Калининградской области (592)
Издан: Администрация Калининградской области (2004 г. )
Расположен в:Техническая документация Строительство Нормативные документы Нормативные документы субъектов Российской Федерации Нормативные документы Калининградской области Документы Системы нормативных документов в строительстве Нормативные документы по экономике к.81 Ценообразование и сметы Классификатор ISO Нормативные документы по экономике Ценообразование и сметы
Заменяет собой:
  • «Сборника № 19 "Газоснабжение-внутренние устройства" СНиП IV-5-82»
Нормативные ссылки:
ТЕР Калининградской области 2001-19ТЕР Калининградской области 2001-19ТЕР Калининградской области 2001-19ТЕР Калининградской области 2001-19ТЕР Калининградской области 2001-19ТЕР Калининградской области 2001-19ТЕР Калининградской области 2001-19ТЕР Калининградской области 2001-19ТЕР Калининградской области 2001-19ТЕР Калининградской области 2001-19ТЕР Калининградской области 2001-19ТЕР Калининградской области 2001-19ТЕР Калининградской области 2001-19ТЕР Калининградской области 2001-19ТЕР Калининградской области 2001-19ТЕР Калининградской области 2001-19ТЕР Калининградской области 2001-19

© 2013 Ёшкин Кот :-) Карта сайта