Информационная система
«Ёшкин Кот»

Скачать базу одним архивом
Скачать обновления
История создания базы
Карта сайта

Скачать Рекомендации Рекомендации по регулированию плотности застройки промышленных территорий в городе

Дата актуализации: 10.08.2017

Рекомендации

Рекомендации по регулированию плотности застройки промышленных территорий в городе

Обозначение: Рекомендации
Обозначение англ: Recommendations
Статус:действует
Название рус.:Рекомендации по регулированию плотности застройки промышленных территорий в городе
Дата добавления в базу:01.09.2013
Дата актуализации:05.05.2017
Дата введения:01.01.1998
Область применения:Рекомендации предназначены для органов архитектуры и градостроительства субъектов Российской Федерации, главных архитекторов городов, а также проектных институтов градостроительного и промышленного профиля.
Оглавление:1 Введение
2 Условия допустимости размещения промышленных предприятий в различных зонах городской застройки
3 Существующие показатели интенсивности застройки территорий и их структура
4 Назначение градостроительного показателя интенсивности застройки промышленных предприятий
5 Малые предприятия в градостроительном регулировании промышленной застройки
6 Заключение
Приложения:
   Таблица 1. Условия размещения предприятий в различных зонах города
   Таблица 2. Расчет фактической плотности застройки промышленного предприятия
   Таблица 3. Расчет фактической развернутой площади застройки промышленного предприятия
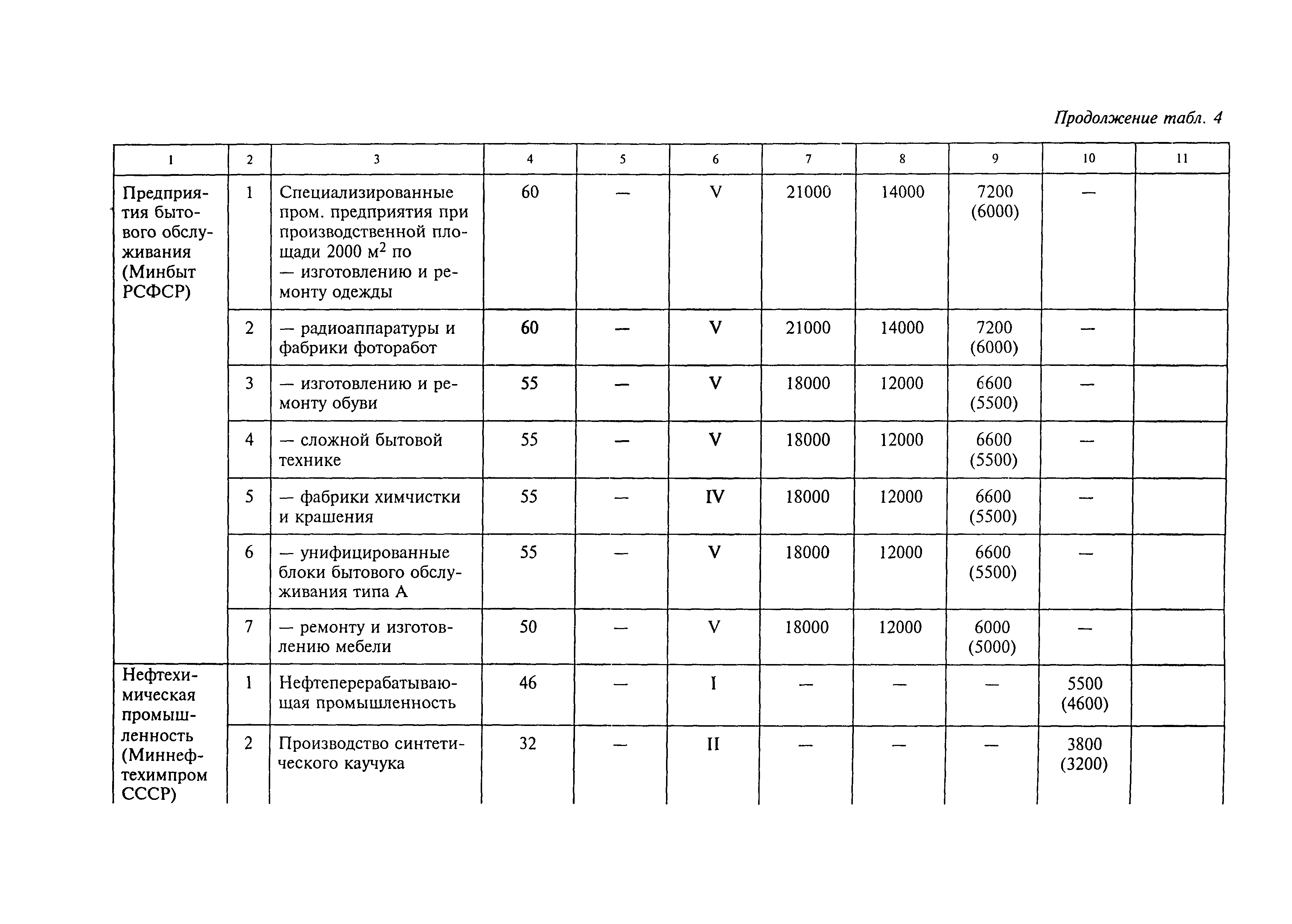
   Таблица 4. Показатели эффективности использования территории промышленными предприятиями
Разработан: ЦНИИпромзданий
Утверждён:01.01.1998 ЦНИИ промзданий (TsNII promzdaniy )
Издан: ЦНИИпромзданий (1998 г. )
Расположен в:Техническая документация Экология ГРАЖДАНСКОЕ СТРОИТЕЛЬСТВО Гражданское строительство в целом Строительство Нормативно-правовые документы Градостроительство, жилищная политика, жилищное строительство
Нормативные ссылки:
Рекомендации Рекомендации Рекомендации Рекомендации Рекомендации Рекомендации Рекомендации Рекомендации Рекомендации Рекомендации Рекомендации Рекомендации Рекомендации Рекомендации Рекомендации Рекомендации Рекомендации Рекомендации Рекомендации Рекомендации Рекомендации Рекомендации Рекомендации Рекомендации Рекомендации Рекомендации Рекомендации Рекомендации Рекомендации Рекомендации Рекомендации Рекомендации Рекомендации Рекомендации Рекомендации Рекомендации Рекомендации Рекомендации Рекомендации Рекомендации Рекомендации Рекомендации

© 2013 Ёшкин Кот :-) Карта сайта