| ||||||||||||||||||||||||||||
Скачать ТЕР 2001-22 Московской области Водопровод - наружные сети. Территориальные единичные расценки для определения стоимости строительства в Московской областиДата актуализации: 10.08.2017
|
| Обозначение: | ТЕР 2001-22 Московской области |
| Обозначение англ: | TER 2001-22 Московской области |
| Статус: | действует |
| Название рус.: | Водопровод - наружные сети. Территориальные единичные расценки для определения стоимости строительства в Московской области |
| Дата добавления в базу: | 01.09.2013 |
| Дата актуализации: | 05.05.2017 |
| Область применения: | Предназначены для определения прямых затрат в сметной стоимости строительных работ, выполняемых при строительстве наружных сетей водопровода, а также для расчетов за выполненные работы. |
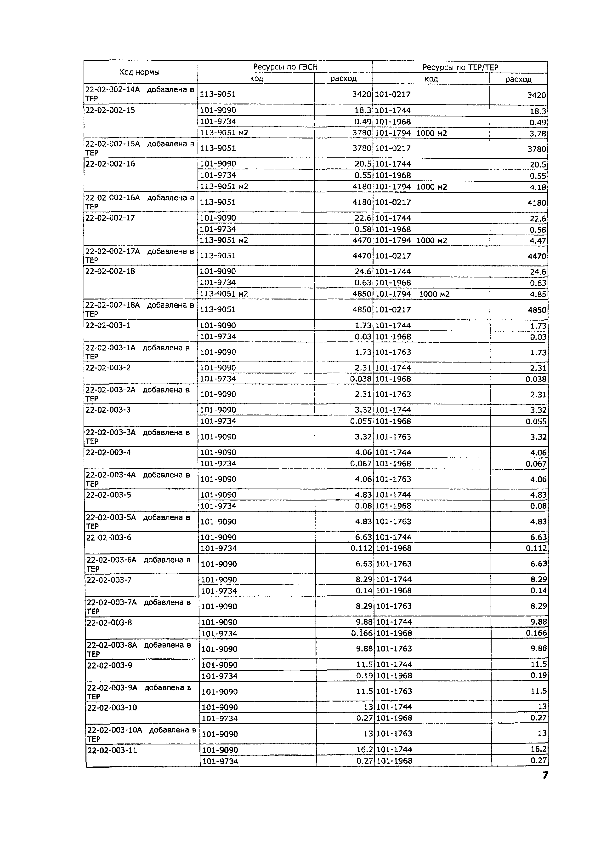
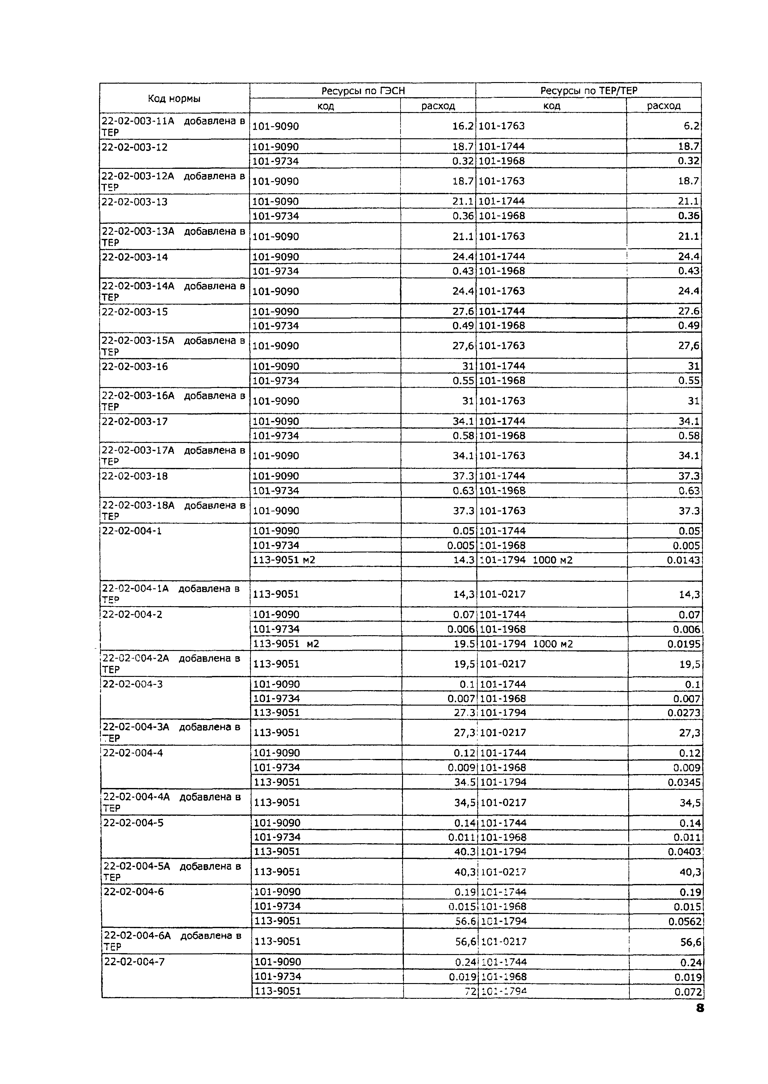
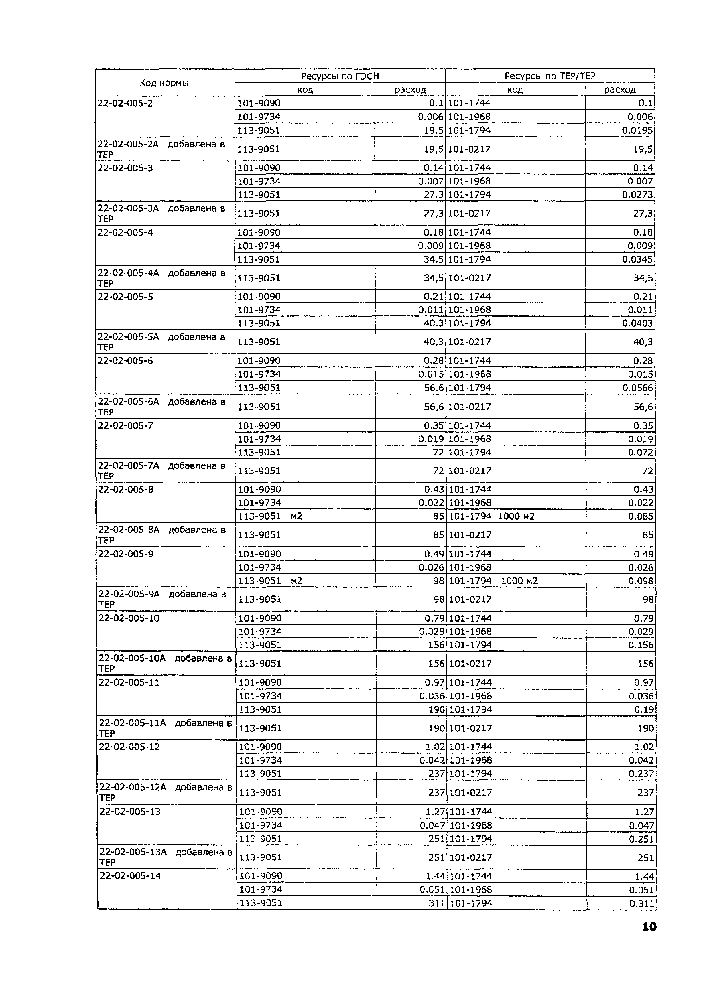
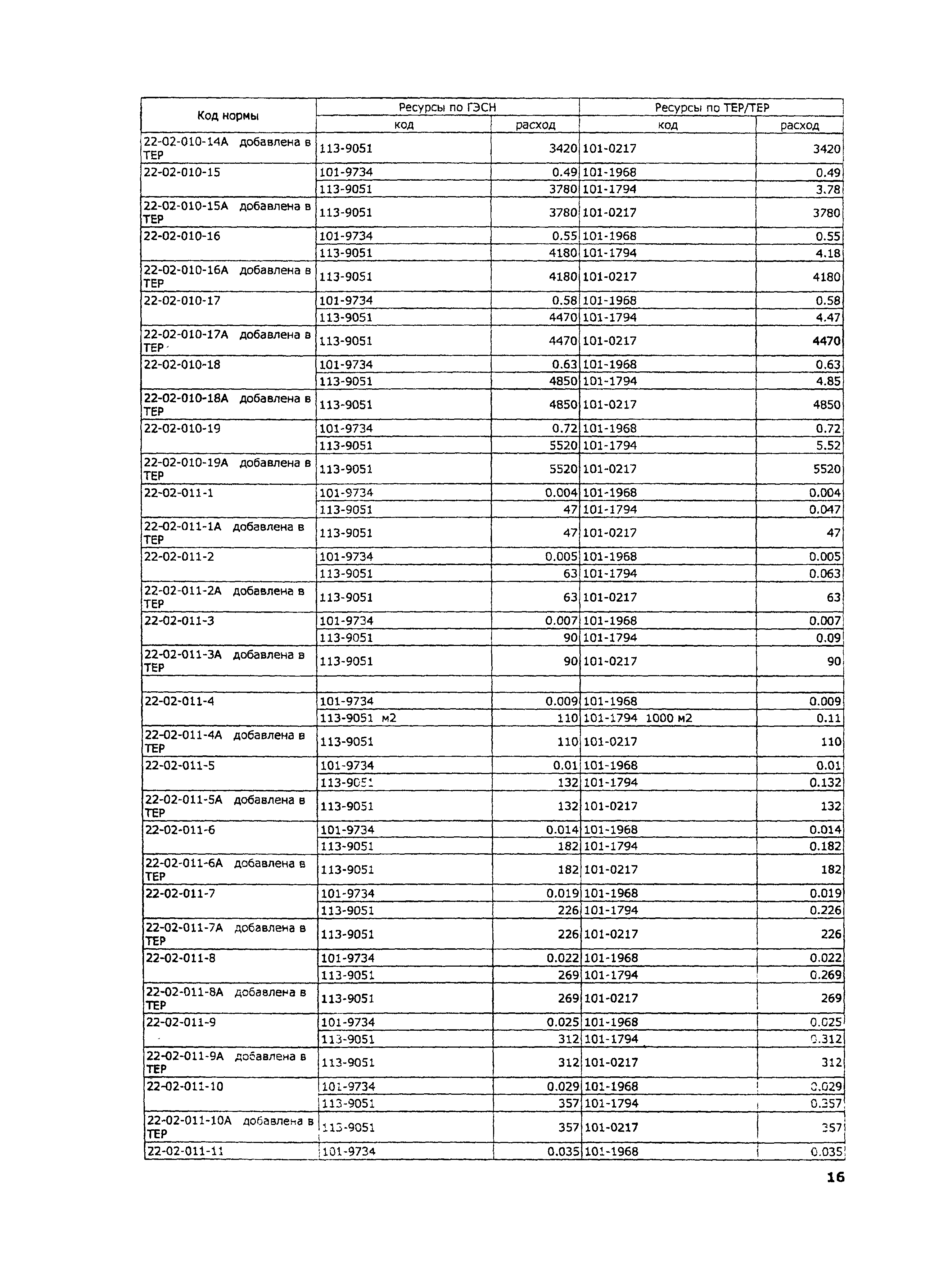
| Оглавление: | Техническая часть 1. Общие указания 2. Правила исчисления объемов работ 3. Коэффициенты к расценкам Таблица 22-01-001 Укладка асбестоцементных водопроводных труб с соединением при помощи асбестоцементных муфт Таблица 22-01-002 Укладка асбестоцементных водопроводных труб с соединением труб чугунными муфтами Таблица 22-01-006 Укладка водопроводных чугунных напорных раструбных труб при заделке раструбов асбестоцементом Таблица 22-01-007 Укладка водопроводных чугунных напорных труб с заделкой раструбов резиновыми уплотнительными манжетами Таблица 22-01-011 Укладка стальных водопроводных трубе гидравлическим испытанием Таблица 22-01-012 Укладка стальных водопроводных труб с пневматическим испытанием Таблица 22-01-017 Укладка железобетонных напорных труб Таблица 22-01-021 Укладка трубопроводов из полиэтиленовых труб Таблица 22-02-001 Нанесение нормальной антикоррозионной битумно-резиновой или битумно-полимерной изоляции на стальные трубопроводы Таблица 22-02-002 Нанесение усиленной антикоррозионной битумно-резиновой или битумно-полимерной изоляции на стальные трубопроводы Таблица 22-02-003 Нанесение весьма усиленной антикоррозионной битумно-резиновой или битумно-полимерной изоляции на стальные трубопроводы Таблица 22-02-004 Нанесение нормальной антикоррозионной битумно-резиновой или битумно-полимерной изоляции на стыки и фасонные части стальных трубопроводов Таблица 22-02-005 Нанесение усиленной антикоррозионной битумно-резиновой или битумно-полимерной изоляции на стыки и фасонные части стальных трубопроводов Таблица 22-02-006 Нанесение весьма усиленной антикоррозионной битумно-резиновой или битумно-полимерной изоляции на стыки и фасонные части стальных трубопроводов Таблица 22-02-007 Нанесение изоляции стальных трубопроводов диаметром более 1200 мм Таблица 22-02-008 Нанесение нормальной антикоррозионной изоляции из полимерных липких лент на стальные трубопроводы Таблица 22-02-009 Нанесение усиленной антикоррозионной изоляции из полимерных липких лент на стальные трубопроводы Таблица 22-02-010 Нанесение весьма усиленной антикоррозионной изоляции из полимерных липких лент на стальные трубопроводы Таблица 22-02-011 Нанесение нормальной антикоррозионной изоляции из полимерных липких лент на стыки и фасонные части стальных трубопроводов Таблица 22-02-012 Нанесение усиленной антикоррозионной изоляции из полимерных липких лент на стыки и фасонные части стальных трубопроводов Таблица 22-02-013 Нанесение весьма усиленной антикоррозионной изоляции из полимерных липких лент на стыках и фасонные части стальных трубопроводов Таблица 22-03-001 Установка фасонных частей Таблица 22-03-002 Установка полиэтиленовых фасонных частей Таблица 22-03-006 Установка задвижек или клапанов обратных чугунных Таблица 22-03-007 Установка задвижек или клапанов обратных стальных Таблица 22-03-011 Установка ванту зов, гидрантов, колонок Таблица 22-03-014 Приварка фланцев к стальным трубопроводам Таблица 22-04-001 Устройство круглых колодцев из сборного железобетона Таблица 22-04-002 Устройство водопроводных кирпичных колодцев Таблица 22-04-003 Устройство водопроводных бетонных колодцев с монолитными стенами и покрытием из сборного железобетона Таблица 22-04-004 Установка путевых водоразборных кранов Таблица 22-05-001 Продавливание с разработкой грунта вручную Таблица 22-05-002 Продавливание без разработки грунта (прокол) Таблица 22-05-003 Протаскивание в футляр стальных труб Таблица 22-05-004 Заделка битумом и прядью концов футляра Таблица 22-06-001 Промывка с дезинфекцией трубопроводов Таблица 22-06-002 Промывка без дезинфекции трубопроводов Таблица 22-06-005 Врезка в существующие сети из стальных труб стальных штуцеров (патрубков) Таблица 22-06-006 Врезка в существующие сети из чугунных труб чугунных тройников Таблица 22-06-011 Подвешивание подземных коммуникаций при пересечении их трассой трубопровода Таблица 22-06-012 Устройство постоянных бетонных упоров на трубопроводе Приложение. Сборник сметных расценок на эксплуатацию строительных машин и сметных цен на материалы, изделия и конструкции (в базисных ценах Московской области по состоянию на 01.01.2000) Затраты труда рабочих-строителей Эксплуатация строительных машин Сметные цены на материальные ресурсы |
| Разработан: | Мособлгосэкспертиза ООО ИНАС |
| Утверждён: | 04.11.2002 Минмособлстрой (Minmosoblstroy 176) 13.04.1998 Правительство Московской области (Government of the Moscow Region 38/11) |
| Издан: | Минмособлстрой (2002 г. ) |
| Расположен в: |































































