| ||||||||||||||||||||||||||||
Скачать ТЕР 2001-20 Московской области Вентиляция и кондиционирование воздуха. Территориальные единичные расценки для определения стоимости строительства в Московской областиДата актуализации: 10.08.2017
|
| Обозначение: | ТЕР 2001-20 Московской области |
| Обозначение англ: | TER 2001-20 Московской области |
| Статус: | действует |
| Название рус.: | Вентиляция и кондиционирование воздуха. Территориальные единичные расценки для определения стоимости строительства в Московской области |
| Дата добавления в базу: | 01.09.2013 |
| Дата актуализации: | 05.05.2017 |
| Область применения: | Предназначены для определения прямых затрат в сметной стоимости строительно-монтажных работ по устройству систем вентиляции (общеобменной и местной), кондиционирования воздуха и воздушного отопления в жилых, общественных, производственных и вспомогательных зданиях промышленных предприятий независимо от материала стен, перекрытий и перегородок, а также для расчетов за выполненные работы. |
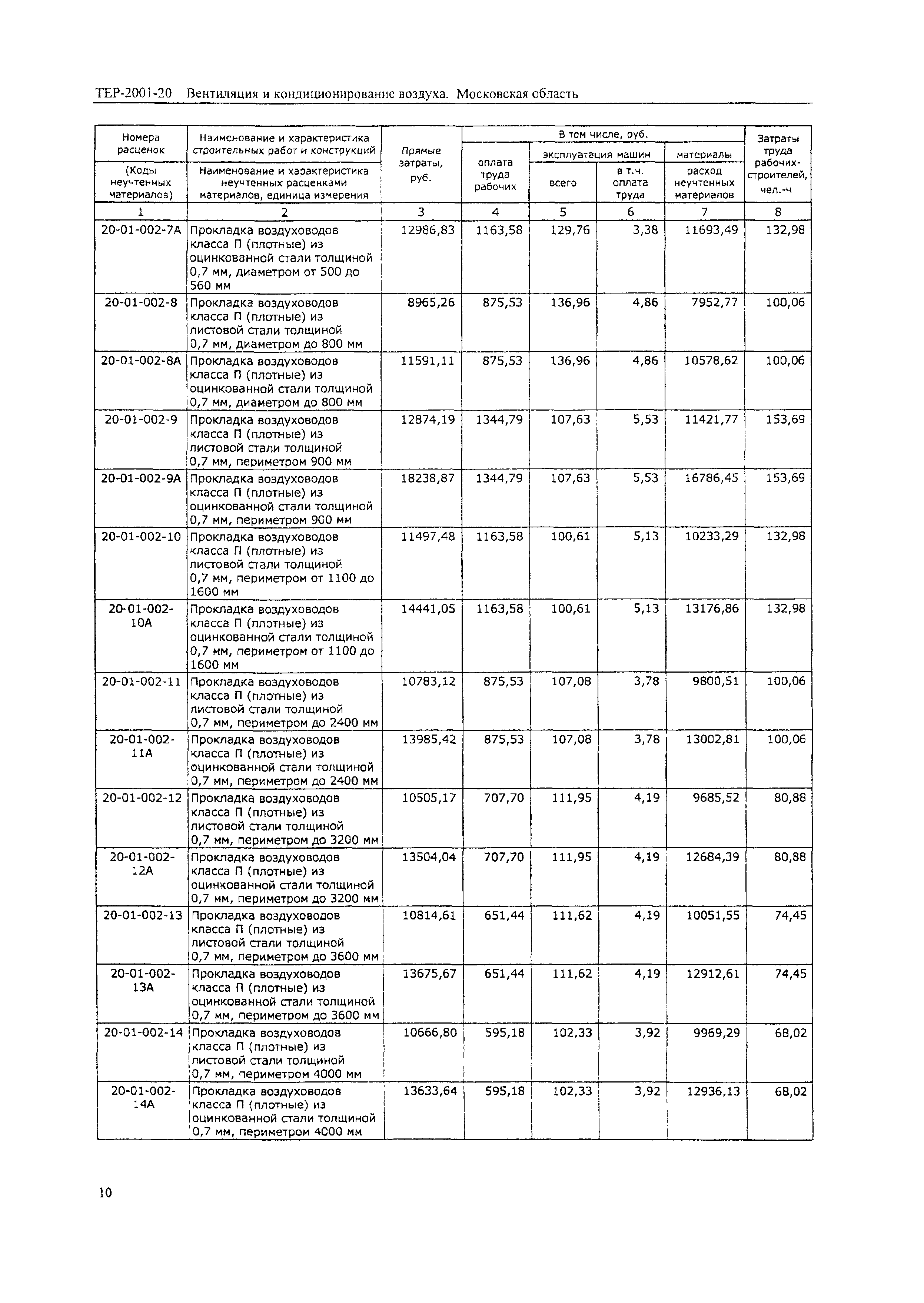
| Оглавление: | Техническая часть 1. Общие указания 2. Правила определения объемов работ 3. Коэффициенты к расценкам Таблица 20-01-001 Прокладка воздуховодов класса Н (нормальные) из листовой, оцинкованной стали и алюминия Таблица 20-01-002 Прокладка воздуховодов класса П (плотные) из листовой, оцинкованной стали и алюминия Таблица 20-02-001 Установка воздухораспределителей, предназначенных для подачи воздуха Таблица 20-02-002 Установка решеток жалюзийных Таблица 20-02-003 Установка решеток жалюзийных стальных Таблица 20-02-004 Установка клапанов Таблица 20-02-005 Установка заслонок воздушных и клапанов воздушных КВР с ручным приводом Таблица 20-02-006 Установка заслонок воздушных и клапанов воздушных КВР с электрическим или пневматическим приводом Таблица 20-02-007 Установка клапанов воздушных утепленных КВУ с электрическим или пневматическим приводами Таблица 20-02-008 Установка отсосов Таблица 20-02-009 Установка зонтов над шахтами из листовой и оцинкованной стали круглого сечения Таблица 20-02-010 Установка зонтов над шахтами из листовой и оцинкованной стали прямоугольного сечения Таблица 20-02-011 Установка зонтов над оборудованием Таблица 20-02-012 Установка дефлекторов Таблица 20-02-013 Установка узлов прохода вытяжных вентиляционных шахт Таблица 20-02-014 Установка глушителей шума вентиляционных установок трубчатых круглого сечения типа ГТК Таблица 20-02-015 Установка глушителей шума вентиляционных установок трубчатых типа ГТП Таблица 20-02-016 Установка глушителей шума вентиляционных установок пластинчатых Таблица 20-02-017 Установка дверей и люков герметических Таблица 20-02-018 Установка вставок гибких к радиальным вентиляторам Таблица 20-02-019 Установка кронштейнов под вентиляционное оборудование Таблица 20-02-020 Установка виброизоляторов Таблица 20-03-001 Установка вентиляторов радиальных Таблица 20-03-002 Установка вентиляторов осевых Таблица 20-03-003 Установка вентиляторов крышных Таблица 20-03-004 Установка агрегатов вентиляционных пылеулавливающих Таблица 20-04-001 Установка агрегатов воздушно-отопительных Таблица 20-04-002 Установка калориферов Таблица 20-05-001 Установка фильтров Таблица 20-05-002 Установка скрубберов Таблица 20-05-003 Установка циклонов Таблица 20-06-001 Установка кондиционеров доводчиков эжекционных Таблица 20-06-002 Установка камер приточных типовых Таблица 20-06-003 Установка камер орошения Таблица 20-06-004 Установка фильтров воздушных сетчатых (масляных) Таблица 20-06-005 Установка фильтров воздушных (сухих) Таблица 20-06-006 Установка воздухонагревателей для обводного канала однорядных Таблица 20-06-007 Установка воздухонагревателей для обводного канала двухрядных Таблица 20-06-008 Установка воздухонагревателей без обводного канала однорядных Таблица 20-06-009 Установка воздухонагревателей без обводного канала двухрядных Таблица 20-06-010 Установка камер обслуживания Таблица 20-06-011 Установка камер воздушных Таблица 20-06-012 Установка клапанов воздушных Таблица 20-06-013 Установка блоков тепломассообмена Таблица 20-06-014 Присоединение трубопроводов к оросительной системе блока тепломассообмена Таблица 20-06-015 Установка агрегатов вентиляторных Таблица 20-06-016 Установка блоков присоединительных Таблица 20-06-017 Установка блоков приемных Приложение. машин и сметных цен на материалы, изделия и конструкции (в базисных ценах московской области по состоянию на 01.01.2000) Затраты труда рабочих-строителей Эксплуатация строительных машин Сметные цены на материальные ресурсы |
| Разработан: | Мособлгосэкспертиза ООО ИНАС |
| Утверждён: | 05.02.2003 Минмособлстрой (Minmosoblstroy 8) 13.04.1998 Правительство Московской области (Government of the Moscow Region 38/11) |
| Издан: | Минмособлстрой (2002 г. ) |
| Расположен в: |







































































