| ||||||||||||||||||||||||||||
Скачать ТЕР 2001-10 Московской области Деревянные конструкции. Территориальные единичные расценки для определения стоимости строительства в Московской областиДата актуализации: 10.08.2017
|
| Обозначение: | ТЕР 2001-10 Московской области |
| Обозначение англ: | TER 2001-10 Московской области |
| Статус: | действует |
| Название рус.: | Деревянные конструкции. Территориальные единичные расценки для определения стоимости строительства в Московской области |
| Дата добавления в базу: | 01.09.2013 |
| Дата актуализации: | 05.05.2017 |
| Область применения: | Предназначены для определения прямых затрат в сметной стоимости строительных работ по возведению деревянных конструкций, а также для расчетов за выполненные работы. |
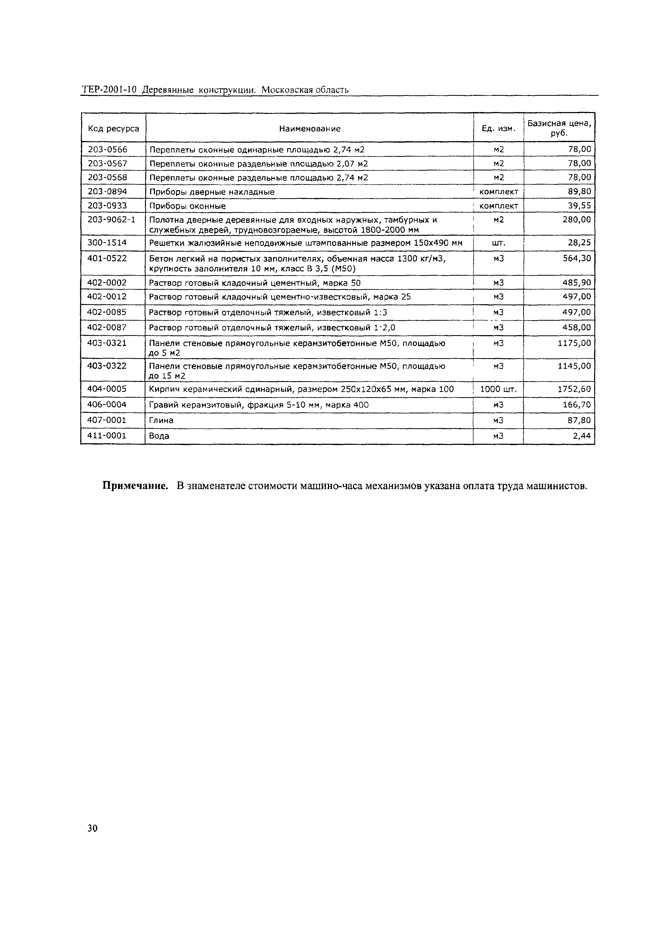
| Оглавление: | Техническая часть 1. Общие указания 2. Правила определения объемов работ 3. Коэффициенты к расценкам Таблица 10-01-001. Сборка и установка конструкций кровельных покрытий Таблица 10-01-002. Установка стропил Таблица 10-01-003. Устройство слуховых окон Таблица 10-01-007. Рубка стен Таблица 10-01-008. Дополнительные работы по устройству деревянных стен Таблица 10-01-009. Установка сжимов для рубленных стен Таблица 10-01-010. Установка элементов каркаса Таблица 10-01-011. Заполнение каркаса плитами фибролитовыми Таблица 10-01-012. Обшивка каркасных стен Таблица 10-01-013. Устройство перегородок под штукатурку Таблица 10-01-014. Устройство чистых перегородок Таблица 10-01-015. Устройство каркасно-филенчатых перегородок в санузлах и барьеров в гардеробных Таблица 10-01-021. Устройство перекрытий с укладкой балок Таблица 10-01-022. Подшивка потолков Таблица 10-01-023. Укладка ходовых досок Таблица 10-01-027. Установка в жилых и общественных зданиях блоков оконных с переплетами Таблица 10-01-028. Установка в каменных стенах промышленных зданий блоков оконных с одинарными и спаренными переплетами Таблица 10-01-029. Установка приборов Таблица 10-01-030. Заполнение ленточных оконных проемов в стенах промышленных зданий Таблица 10-01-031. Заполнение оконных проемов отдельными элементами в каменных стенах промышленных зданий Таблица 10-01-032. Заполнение оконных проемов отдельными элементами в деревянных рубленных стенах Таблица 10-01-033. Установка деревянных подоконных досок в каменных стенах Таблица 10-01-039. Установка блоков Таблица 10-01-040. Заполнение наружных и внутренних дверных проемов отдельными элементами в деревянных рубленных стенах Таблица 10-01-041. Заполнение балконных проемов в каменных стенах жилых и общественных зданий блоками Таблица 10-01-042. Заполнение балконных проемов в деревянных рубленных стенах блоками Таблица 10-01-043. Установка коробок в деревянных стенах Таблица 10-01-044. Обивка дверей Таблица 10-01-045. Дополнительная конопатка дверных коробок паклей в наружных стенах Таблица 10-01-046. Установка ворот Таблица 10-01-052. Устройство лестниц внутриквартирных, крылец и козырьков Таблица 10-01-053. Установка каркаса из брусьев для навесов и крылец Таблица 10-01-057. Установка по месту встроенных шкафов и антресольных полок Таблица 10-01-058. Установка шкафных и антресольных дверных блоков Таблица 10-01-059. Установка штучных изделий Таблица 10-01-060. Установка и крепление наличников Таблица 10-01-064. Установка эстакад Таблица 10-01-065. Ограждение деревянных эстакад Таблица 10-01-066. Устройство моторных будок Таблица 10-01-070. Устройство заборов Таблица 10-01-071. Устройство калиток Таблица 10-01-072. Устройство ворот Таблица 10-01-073. Устройство заборов из щитов Таблица 10-01-074. Устройство калиток из готовых полотен Таблица 10-01-075. Устройство ворот из готовых полотен Таблица 10-01-079. Установка стульев на лежнях Таблица 10-01-080. Устройство ростверков Таблица 10-01-081. Устройство цоколей с установкой забирки Таблица 10-01-082. Укладка по фермам прогонов Таблица 10-01-083. Устройство по фермам настила Таблица 10-01-087. Огнезащита деревянных конструкций Таблица 10-01-088. Огнезащита обрешеток под кровлю, покрытия и настилы по фермам Таблица 10-01-089. Антисептирование водными растворами Таблица 10-01-090. Антисептирование пастами Таблица 10-02-001. Укладка щитов над подпольными каналами Таблица 10-02-004. Установка колонн клееных объемом до 1 м3 Таблица 10-02-007. Сборка цокольных перекрытий Таблица 10-02-008. Утепление цоколя плитами Таблица 10-02-009. Сборка перекрытий с настилкой полов Таблица 10-02-010. Сборка чердачных перекрытий по деревянным балкам Таблица 10-02-011. Сборка перекрытий чердачных по дощатым фермам Таблица 10-02-012. Сборка перекрытий Таблица 10-02-018. Сборка стен щитовой конструкции Таблица 10-02-019. Сборка стен каркасной конструкции Таблица 10-02-020. Сборка стен для жилых и общественных зданий из панелей Таблица 10-02-021. Сборка стен для промышленных зданий из панелей Таблица 10-02-022. Сборка стен бескаркасных Таблица 10-02-023. Сборка стен бескаркасных из арболитовых панелей Таблица 10-02-024. Сборка стен из брусьев Таблица 10-02-025. Прибивка по стенам маячных реек Таблица 10-02-031. Сборка перегородок Таблица 10-02-035. Сборка кровли, карнизов, фронтонов Таблица 10-02-036. Установка стропил Таблица 10-02-040. Сборка лестниц с перилами и площадок Таблица 10-02-041. Ограждение лестничных площадок перилами Таблица 10-02-045. Сборка веранд Таблица 10-02-046. Сборка крылец, козырьков и люфт-клозетов Таблица 10-02-050. Установка блоков (контейнеров) Таблица 10-03-001. Обшивка козырьков воздухо-входных окон Таблица 10-03-002. Установка элементов обшивки поворотных щитов на воздухо-входных окнах Таблица 10-03-003. Установка элементов обшивки щитов ветровых перегородок Таблица 10-03-004. Устройство мостков на трубах водораспределения Таблица 10-04-001. Устройство перегородок с заделкой стыков водостойкой шпатлевкой для жилых и общественных зданий Таблица 10-04-002. Устройство перегородок с заделкой стыков гермитом по периметру Таблица 10-04-003. Устройство перегородок в зданиях промышленных Таблица 10-04-009. Устройство перегородок в зданиях промышленных предприятий Таблица 10-04-010. Устройство перегородок в жилых зданиях Таблица 10-04-011. Устройство перегородок высотой до 3 м в общественных зданиях Таблица 10-04-012. Оформление (обделка) дверных проемов в перегородках Таблица 10-04-013. Установка деревянных дверных блоков и металлических дверных коробок с навеской дверных полотен Приложение Сборник сметных расценок на эксплуатацию строительных машин и сметных цен на материалы, изделия и конструкции (в базисных ценах Московской области по состоянию на 01.01.2000) Затраты труда рабочих-строителей Эксплуатация строительных машин Сметные цены на материальные ресурсы |
| Разработан: | Мособлгосэкспертиза ООО ИНАС |
| Утверждён: | 04.11.2002 Минмособлстрой (Minmosoblstroy 176) 13.04.1998 Правительство Московской области (Government of the Moscow Region 38/11) |
| Издан: | Минмособлстрой (2002 г. ) |
| Расположен в: |








































