Информационная система
«Ёшкин Кот»

Скачать базу одним архивом
Скачать обновления
История создания базы
Карта сайта

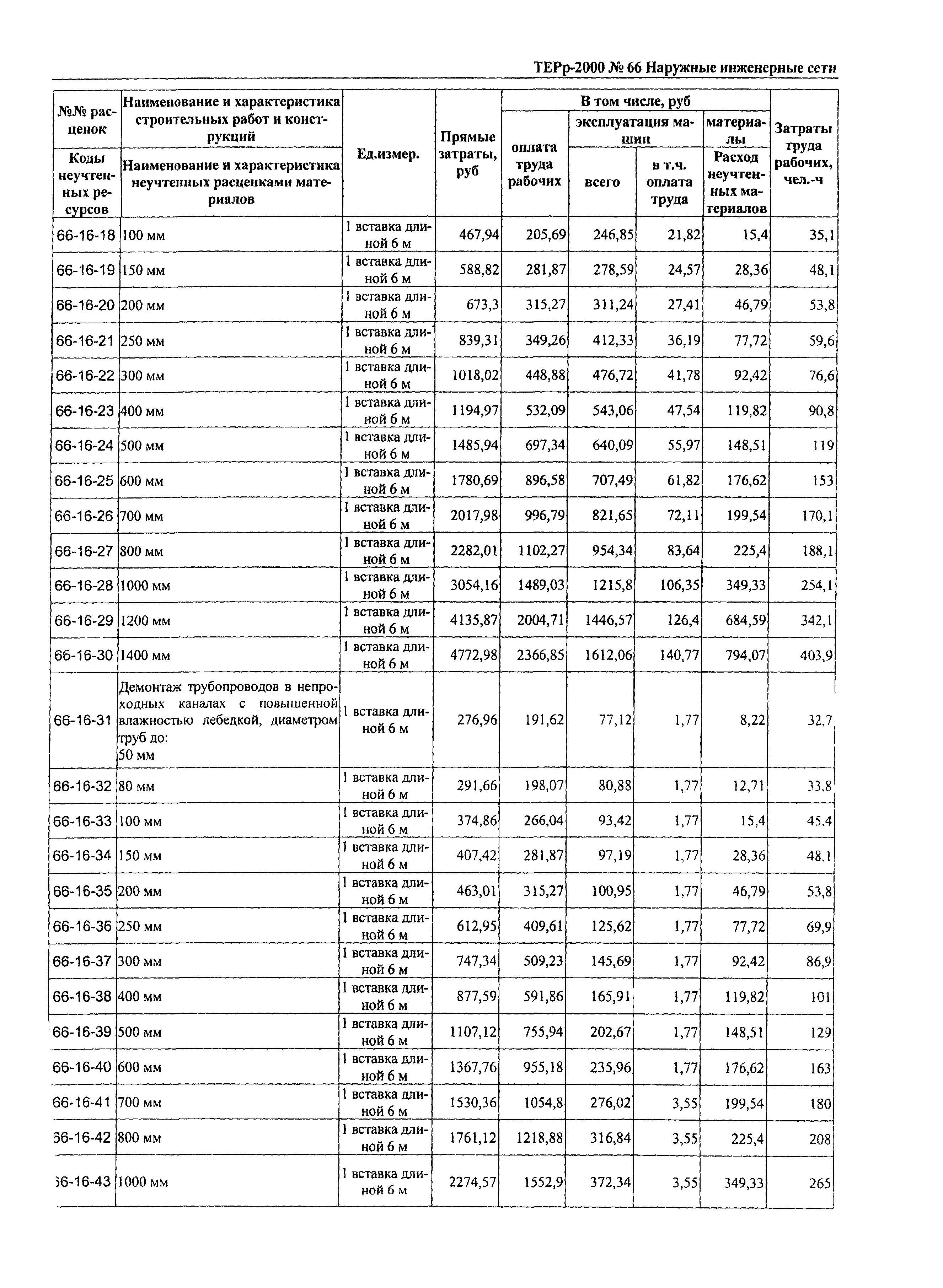
Скачать ТЕРр Омской области 2000-66 Наружные инженерные сети. Территориальные единичные расценки на ремонтно-строительные работы для применения в г. Омске и Омской области

Дата актуализации: 10.08.2017

ТЕРр Омской области 2000-66

Наружные инженерные сети. Территориальные единичные расценки на ремонтно-строительные работы для применения в г. Омске и Омской области

Обозначение: ТЕРр Омской области 2000-66
Обозначение англ: 2000-66
Статус:действует
Название рус.:Наружные инженерные сети. Территориальные единичные расценки на ремонтно-строительные работы для применения в г. Омске и Омской области
Дата добавления в базу:01.09.2013
Дата актуализации:05.05.2017
Дата введения:01.01.2000
Область применения:Предназначены для определения стоимости работ по разборке, ремонту и замене наружных инженерных сетей водоснабжения, канализации и теплоснабжения.
Оглавление:Техническая часть
   1 Общие указания
   2 Правила определения объемов работ
Разработан: Сибирский региональный центр ценообразования в строительстве (СРЦЦ)
Утверждён:01.01.2000 Администрация Омской области (2/2000)
Принят:26.07.2000 Госстрой России (Russian Federation Gosstroy 10-294)
Издан: СРЦЦ (2000 г. )
Расположен в:Техническая документация Экология СТРОИТЕЛЬНЫЕ МАТЕРИАЛЫ И СТРОИТЕЛЬСТВО Строительная промышленность Стоимость строительства и обслуживания зданий и сооружений -50 Стоимость строительных и строительно-монтажных работ Строительство Нормативные документы Нормативные документы субъектов Российской Федерации Нормативные документы Омской области Документы Системы нормативных документов в строительстве Нормативные документы по экономике к.81 Ценообразование и сметы Классификатор ISO Нормативные документы по экономике Ценообразование и сметы
Нормативные ссылки:
ТЕРр Омской области 2000-66ТЕРр Омской области 2000-66ТЕРр Омской области 2000-66ТЕРр Омской области 2000-66ТЕРр Омской области 2000-66ТЕРр Омской области 2000-66ТЕРр Омской области 2000-66ТЕРр Омской области 2000-66ТЕРр Омской области 2000-66ТЕРр Омской области 2000-66ТЕРр Омской области 2000-66ТЕРр Омской области 2000-66ТЕРр Омской области 2000-66ТЕРр Омской области 2000-66ТЕРр Омской области 2000-66ТЕРр Омской области 2000-66ТЕРр Омской области 2000-66ТЕРр Омской области 2000-66ТЕРр Омской области 2000-66ТЕРр Омской области 2000-66ТЕРр Омской области 2000-66ТЕРр Омской области 2000-66ТЕРр Омской области 2000-66ТЕРр Омской области 2000-66ТЕРр Омской области 2000-66ТЕРр Омской области 2000-66ТЕРр Омской области 2000-66ТЕРр Омской области 2000-66ТЕРр Омской области 2000-66ТЕРр Омской области 2000-66ТЕРр Омской области 2000-66ТЕРр Омской области 2000-66ТЕРр Омской области 2000-66ТЕРр Омской области 2000-66ТЕРр Омской области 2000-66ТЕРр Омской области 2000-66ТЕРр Омской области 2000-66ТЕРр Омской области 2000-66ТЕРр Омской области 2000-66ТЕРр Омской области 2000-66ТЕРр Омской области 2000-66

© 2013 Ёшкин Кот :-) Карта сайта