| ||||||||||||||||||||||||||||
Скачать Часть 2. Строительные конструкции и деталиДата актуализации: 10.08.2017 |
| Статус: | действует |
| Название рус.: | Часть 2. Строительные конструкции и детали |
| Дата добавления в базу: | 01.09.2013 |
| Дата актуализации: | 05.05.2017 |
| Дата введения: | 13.05.2003 |
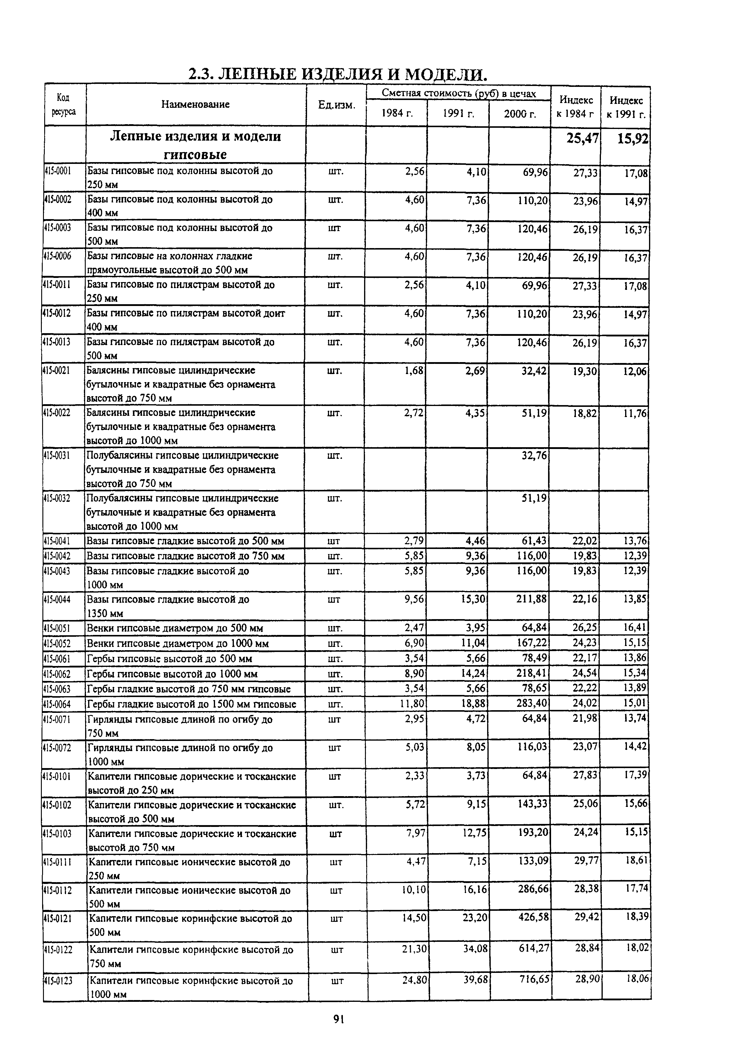
| Оглавление: | Общие указания по применению сборника средних сметных цен на материалы, изделия и конструкции для применения в Московской области по состоянию на 1 января 2000 года 2.1 Строительные конструкции и изделия 2.2 Деревянные конструкции и детали 2.3 Лепные изделия и модели 2.4 Товарная арматура, детали анкерные, закладные и накладные 2.5 Алюминиевые конструкции |
| Разработан: | Мособлгосэкспертиза |
| Утверждён: | 13.05.2003 Мособлгосэкспертиза (5) |
| Издан: | Мособлгосэкспертиза (2003 г. ) |
| Расположен в: | |
| Список изменений: |
|
| Нормативные ссылки: |
































Текстовое изменение № 1















