Скачать ОСТ 34-10-753-97 Детали и сборочные единицы трубопроводовТЭС на Рраб<2,2 МПа (22 кгс/см2), t<=425 °C. Переходы сварные листовые. Конструкция и размерыДата актуализации: 10.08.2017 ОСТ 34-10-753-97
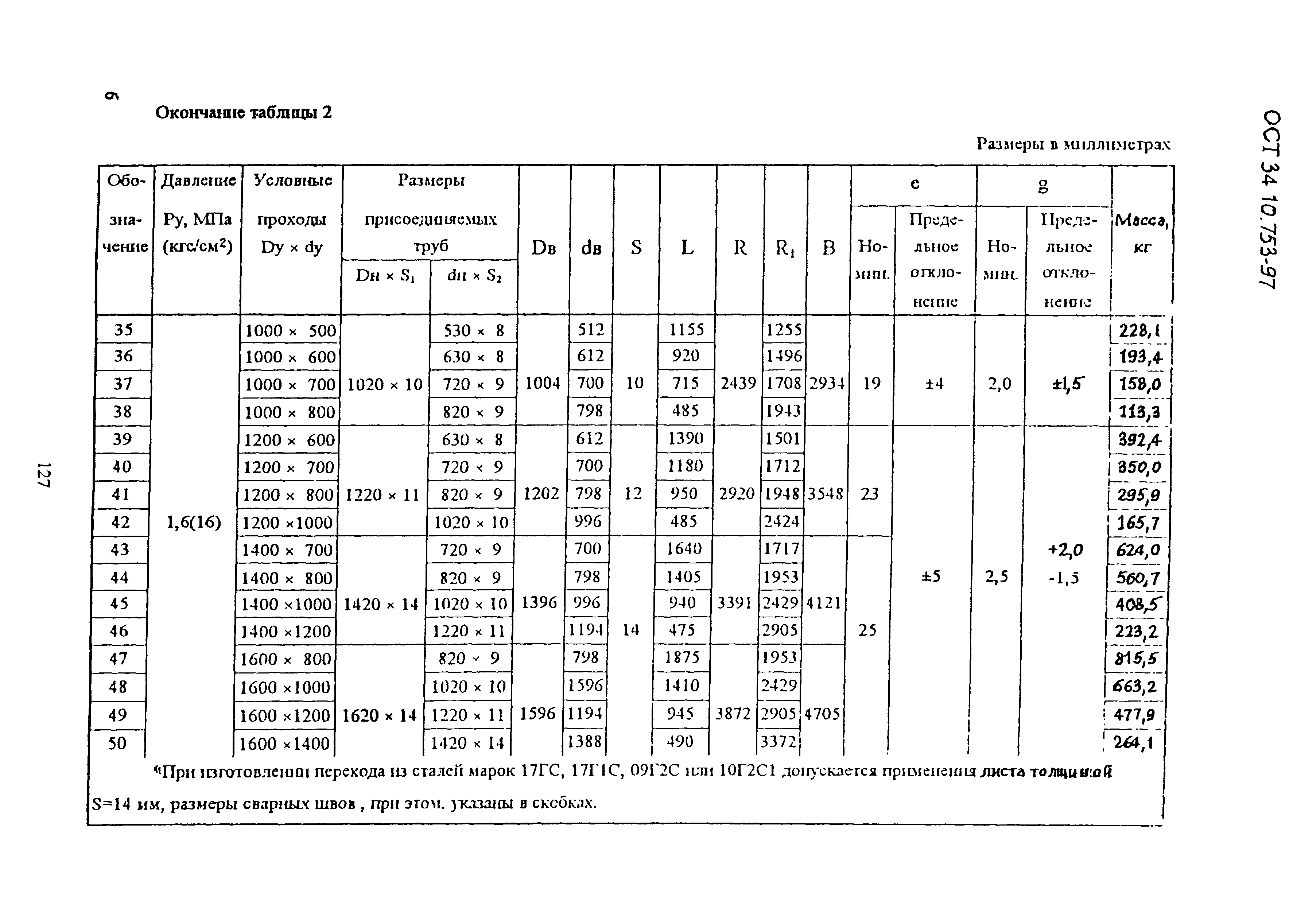
Детали и сборочные единицы трубопроводовТЭС на Рраб<2,2 МПа (22 кгс/см2), t<=425 °C. Переходы сварные листовые. Конструкция и размеры| Обозначение: | ОСТ 34-10-753-97 | | Обозначение англ: | OST 34-10-753-97 | | Статус: | не определен законодательством | | Название рус.: | Детали и сборочные единицы трубопроводовТЭС на Рраб<2,2 МПа (22 кгс/см2), t<=425 °C. Переходы сварные листовые. Конструкция и размеры | | Дата добавления в базу: | 01.09.2013 | | Дата актуализации: | 05.05.2017 | | Дата введения: | 30.06.2003 | | Область применения: | Стандарт распространяется на сварные листовые концентрические и эксцентрические переходы из углеродистой и низколегированной сталей для трубопроводов тепловых электростанций. | | Оглавление: | 1 Область применения 2 Нормативные ссылки 3 Конструкция и размеры Приложение А Пределы применения переходов из сталей Ст3сп5 и Ст3Гпс4 Приложение Б Библиография | | Разработан: | АООТ Севзапэнергомонтажпроект
| | Утверждён: | 23.12.1997 Министерство топлива и энергетики РФ (Russian Federation Ministry of Fuel and Energy 443)
| | Расположен в: |
| | Заменяет собой: | | | Нормативные ссылки: | |
                    
|