| ||||||||||||||||||||||||||||
Скачать Технико-экономическое обоснование производства дорожно-строительных работ в зимнее время. Учебное пособиеДата актуализации: 10.08.2017 |
| Статус: | действует |
| Название рус.: | Технико-экономическое обоснование производства дорожно-строительных работ в зимнее время. Учебное пособие |
| Дата добавления в базу: | 01.09.2013 |
| Дата актуализации: | 05.05.2017 |
| Дата введения: | 28.03.2000 |
| Область применения: | Пособие содержит изложение общих принципов и методов оценки эффективности вариантов инвестиционных проектов в условиях рыночных отношений применительно к дорожной отрасли. Предназначено студентам 3-5 курсов специальности 29.10.00, может быть использовано аспирантами и преподавателями, а также специалистами дорожной отрасли. |
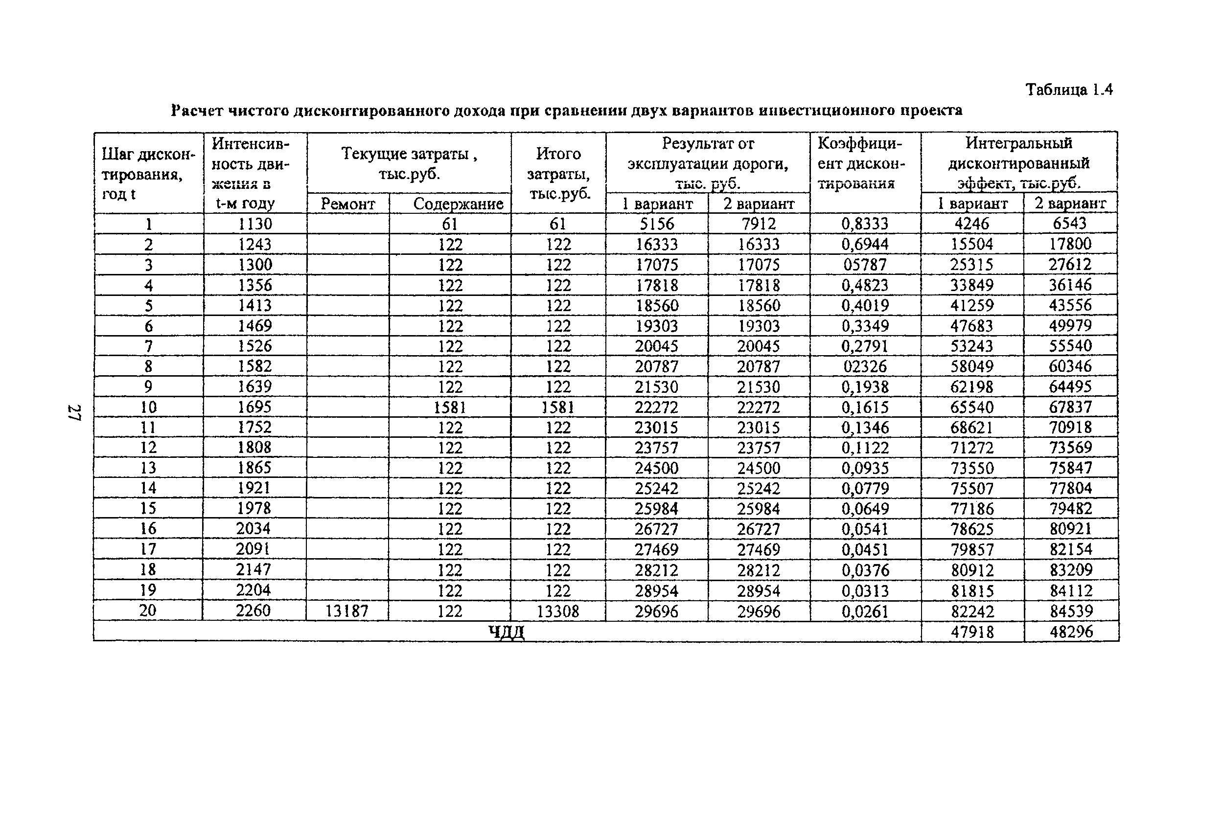
| Оглавление: | 1 Оценка эффективности организационно-технологических решений по производству дорожных работ в зимнее время 1.1 Современные подходы к оценке эффективности инвестиционных проектов 1.2 Система показателей для оценки народнохозяйственной эффективности проектов с круглогодичной организацией дорожно-строительных работ 1.3 Состав результатов и затрат, последовательность выполнения расчетов для оценки НХЭ вариантов инвестиционных проектов в дорожной отрасли 1.4 Примеры технико-экономического обоснования проектов производства работ с использованием зимнего строительного сезона 1.5 Оценка коммерческой эффективности проектов круглогодичным производством работ 1.6 Особенности оценки эффективности проектов с учетом факторов риска и неопределенности 2 Функционально-стоимостной анализ технологических процессов зимнего строительства автомобильных дорог 2.1 Общие положения ме6тодики ФСА 2.2 Особенности ФСА технологических процессов 2.3 Примеры формирования вариантов технологий производства работ при пониженных температурах по методике ФСА ТП 3 Обоснование уровня внутригодовой ритмичности дорожного производства 3.1 Некоторые особенности управления производственной программой дорожной организации при круглогодичном производстве работ 3.2 Ритмичность дорожного производства и ее экономические аспекты 3.3 Оптимизация производственной программы дорожной организации по критерию внутригодовой ритмичности Литература Приложение Терминологический словарь некоторых понятий по оценке эффективности инвестиционных проектов |
| Разработан: | СибАДИ г. Омск |
| Утверждён: | 28.03.2000 Сибирская государственная автомобильно-дорожная академия |
| Издан: | Издательство СибАДИ (2000 г. ) |
| Расположен в: | |
| Нормативные ссылки: |
|



















































































