Информационная система
«Ёшкин Кот»

Скачать базу одним архивом
Скачать обновления
История создания базы
Карта сайта

Скачать ГОСТ 16513-79 Провода обмоточные с хлопчатобумажной изоляцией. Технические условия

Дата актуализации: 10.08.2017

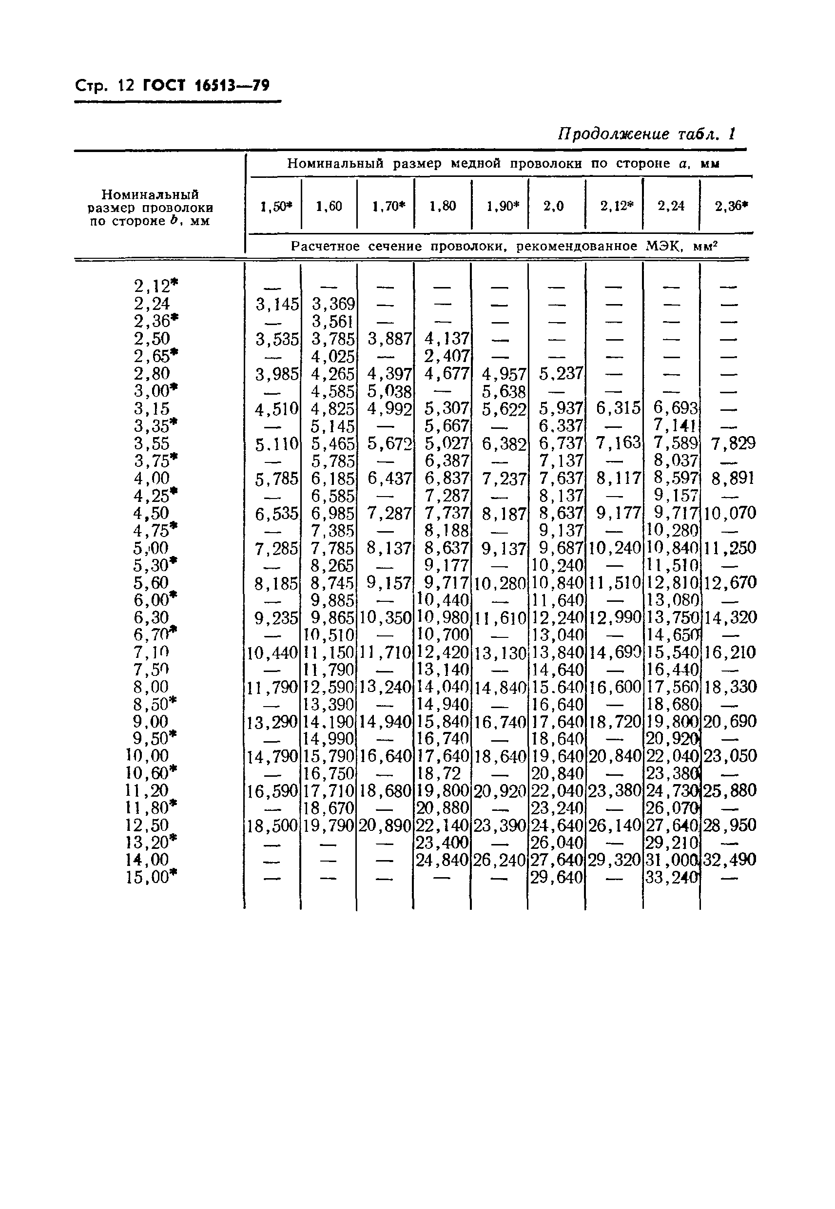
ГОСТ 16513-79

Провода обмоточные с хлопчатобумажной изоляцией. Технические условия

Обозначение: ГОСТ 16513-79
Обозначение англ: GOST 16513-79
Статус:отменен
Название рус.:Провода обмоточные с хлопчатобумажной изоляцией. Технические условия
Название англ.:Cotlon covered magnet wires. Specifications
Дата добавления в базу:01.10.2014
Дата актуализации:05.05.2017
Дата введения:01.01.1991
Область применения:Стандарт распространяется на медные и алюминиевые обмоточные провода круглого и прямоугольного сечения, изолированные нитями из хлопчатобумажной пряжи, предназначенные для электрических машин, аппаратов и приборов. Стандарт устанавливает требования к проводам, изготовляемым для нужд народного хозяйства и для экспорта.
Оглавление:1. Марки и размеры
2. Технические требования
3. Правила приемки
4. Методы испытаний
5. Упаковка, маркировка, транспортирование и хранение
6. Гарантии изготовителя
Приложение (справочное)
Утверждён:14.12.1979 Государственный комитет СССР по стандартам (USSR National Committee on Standards 4813)
Издан: Издательство стандартов (1980 г. )
Расположен в:Техническая документация
Список изменений:
Заменяет собой:
Нормативные ссылки:
ГОСТ 16513-79ГОСТ 16513-79ГОСТ 16513-79ГОСТ 16513-79ГОСТ 16513-79ГОСТ 16513-79ГОСТ 16513-79ГОСТ 16513-79ГОСТ 16513-79ГОСТ 16513-79ГОСТ 16513-79ГОСТ 16513-79ГОСТ 16513-79ГОСТ 16513-79ГОСТ 16513-79ГОСТ 16513-79ГОСТ 16513-79ГОСТ 16513-79

Текстовое изменение № 2 от 01.07.1988

№ 2№ 2№ 2№ 2

© 2013 Ёшкин Кот :-) Карта сайта