| ||||||||||||||||||||||||||||
Скачать ТЕРр Белгородская область 2001-53 СтеныДата актуализации: 10.08.2017
|
| Обозначение: | ТЕРр Белгородская область 2001-53 |
| Обозначение англ: | 2001-53 |
| Статус: | действует |
| Название рус.: | Стены |
| Дата добавления в базу: | 01.09.2013 |
| Дата актуализации: | 05.05.2017 |
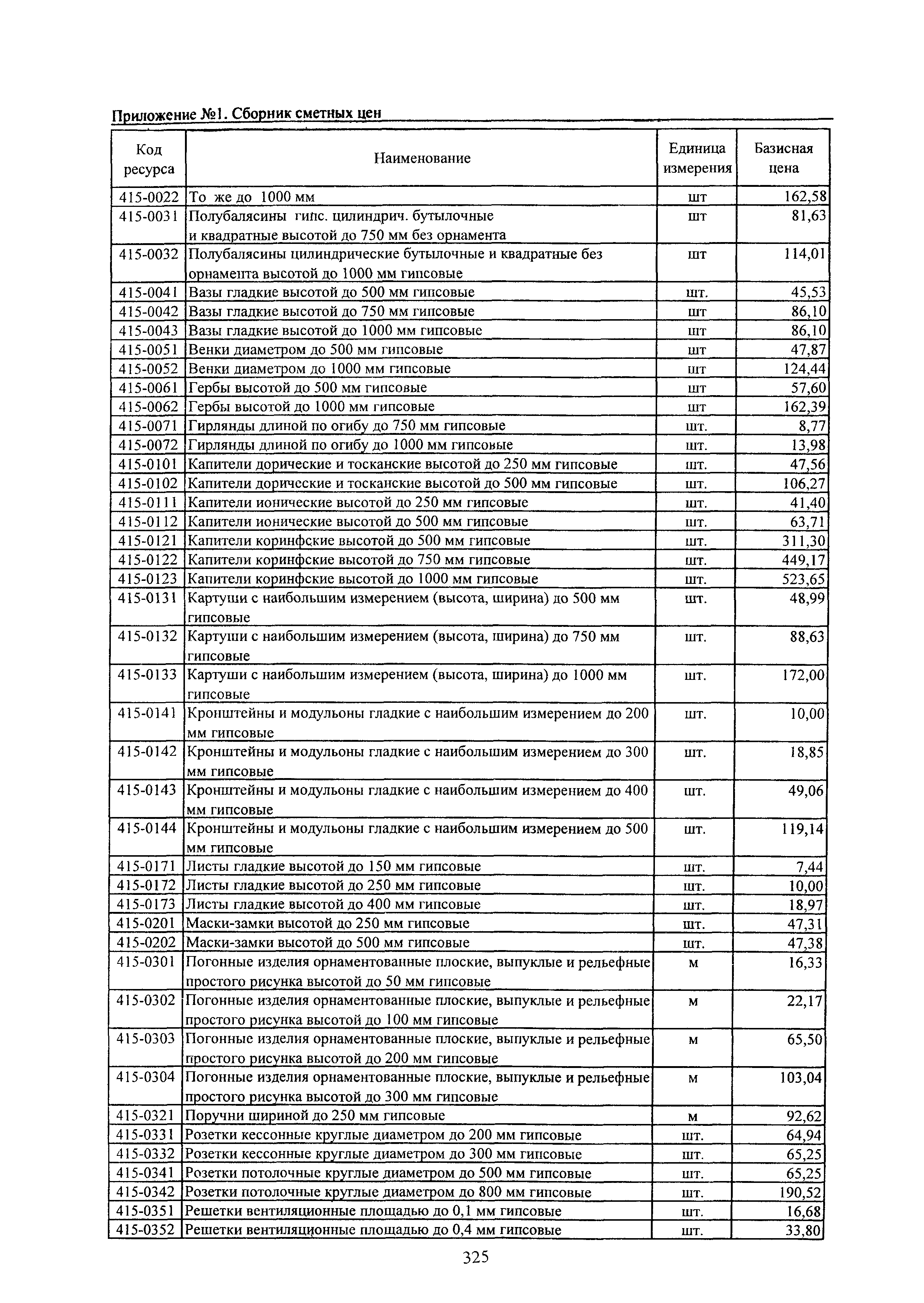
| Область применения: | Территориальные единичные расценки на ремонтно-строительные работы ТЕРр-2001 (в дальнейшем изложении ТЕРр) предназначены для определения прямых затрат в сметной стоимости ремонтно-строительных работ по разборке, демонтажу, ремонту, усилению и замене строительных конструкций, инженерного оборудования и восстановлению отделочных покрытий в условиях организации рабочих мест и внутрипостроечного перемещения строительных материалов, деталей и конструкций на объектах ремонта и реконструкции зданий и сооружений. Сборник содержит единичные расценки на ремонт каменных стен с перекладкой отдельных участков, смене отдельных участков рубленных и каркасных стен; усиление кирпичных стен; устройство новых стен и т.п. |
| Оглавление: | 1. Общие положения. 2. Средние сметные цены.. 3. Затраты труда и оплата труда. 4. Применение единичных расценок. Техническая часть. 1. Общие указания. 2. Правила определения объемов работ. Приложение № 1.Сборник сметных расценок на эксплуатацию строительных машин. Сборник сметных цен на материалы, изделия и конструкции, применяемых при ремонтно-строительных работах в базисных ценах белгородской области по состоянию на 01.01.2000. |
| Разработан: | Департамент строительства и транспорта правительства администрации Белгородской области |
| Утверждён: | 21.06.2003 Администрация Белгородской области (17) |
| Расположен в: | |
| Нормативные ссылки: |
|











































