Информационная система
«Ёшкин Кот»

Скачать базу одним архивом
Скачать обновления
История создания базы
Карта сайта

Скачать Пособие к СНиП 3.01.01-85 Разработка проектов организации строительства и проектов производства работ для реконструкции действующих предприятий, зданий и сооружений. Справочное пособие к СНиП

Дата актуализации: 10.08.2017

Пособие к СНиП 3.01.01-85

Разработка проектов организации строительства и проектов производства работ для реконструкции действующих предприятий, зданий и сооружений. Справочное пособие к СНиП

Обозначение: Пособие к СНиП 3.01.01-85
Обозначение англ: SNIP Handbook 3.01.01-85
Статус:привязан к неактуализированному документу
Название рус.:Разработка проектов организации строительства и проектов производства работ для реконструкции действующих предприятий, зданий и сооружений. Справочное пособие к СНиП
Дата добавления в базу:01.09.2013
Дата актуализации:05.05.2017
Дата введения:01.01.2005
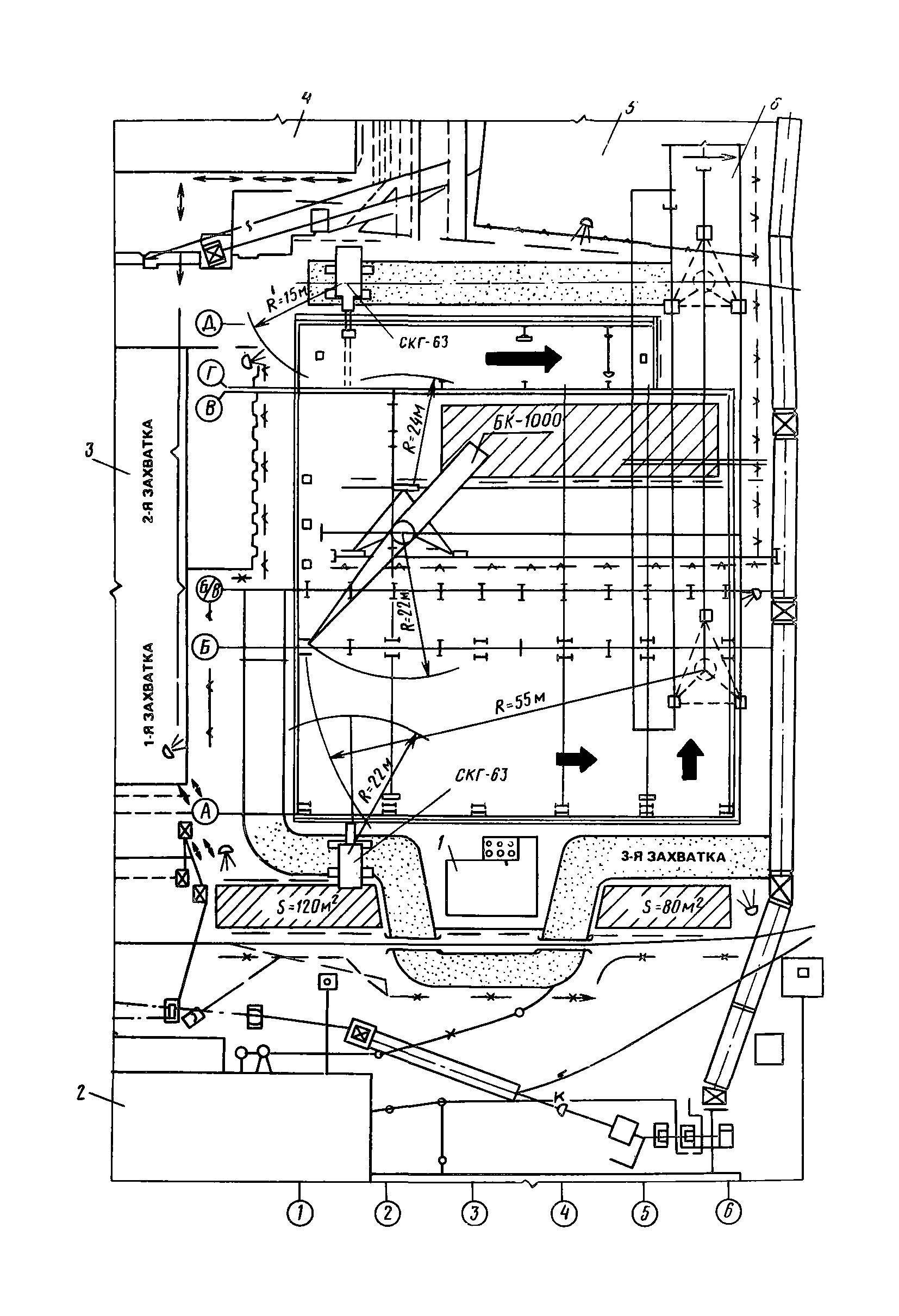
Область применения:Пособие разработано для условий производства строительно-монтажных работ без остановки, а также с частичной и полной остановкой промышленного производства предприятий, зданий и сооружений. Названные выше методы реконструкции различаются степенью совмещения строительно-монтажных работ с основной деятельностью предприятия и в связи с этим условиями осуществления реконструкции объектов.
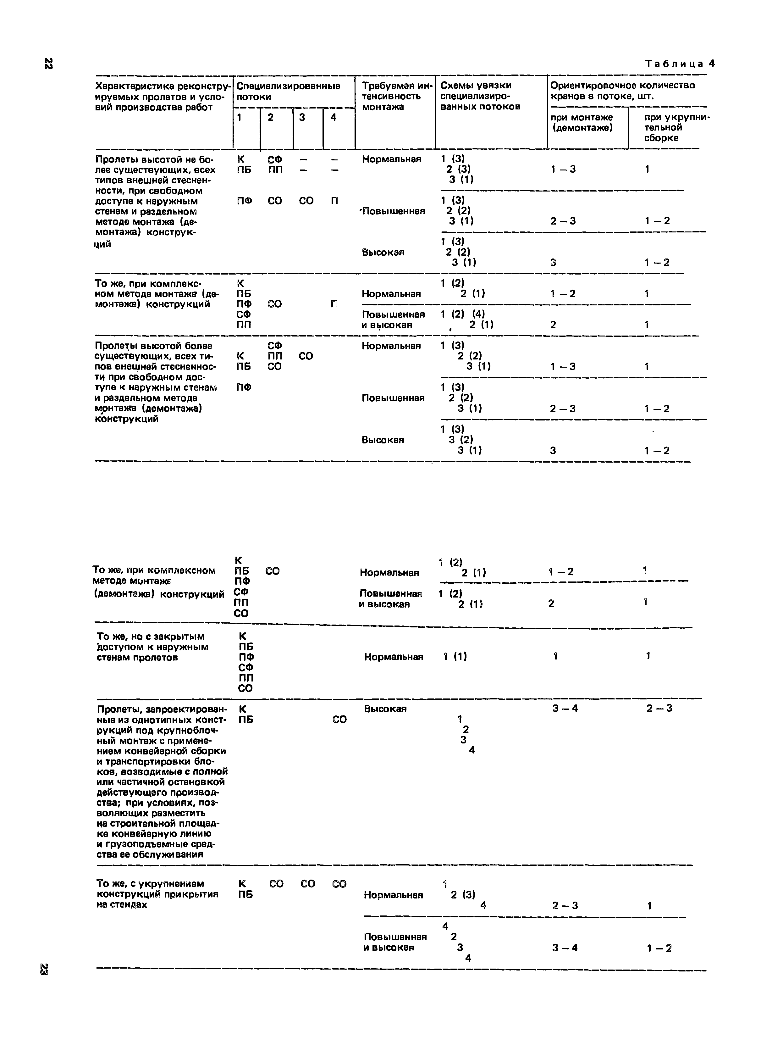
Оглавление:1. Общие положения
2. Проект организации строительства
3. Проект производства работ
Разработан: ДИСИ Минвуза УССР
ЦНИИОМТП
НИИОСП Госстроя УССР
Утверждён:01.01.1990 ЦНИИОМТП Госстроя СССР (TsNIIOMTP, USSR Gosstroy )
Издан: Стройиздат (1990 г. )
Расположен в:Техническая документация Экология СТРОИТЕЛЬНЫЕ МАТЕРИАЛЫ И СТРОИТЕЛЬСТВО Технология строительства Организация и порядок производства работ. Управление качеством и обеспечение качества Строительство Справочные документы Справочные пособия к СНиП
Нормативные ссылки:
Пособие к СНиП 3.01.01-85Пособие к СНиП 3.01.01-85Пособие к СНиП 3.01.01-85Пособие к СНиП 3.01.01-85Пособие к СНиП 3.01.01-85Пособие к СНиП 3.01.01-85Пособие к СНиП 3.01.01-85Пособие к СНиП 3.01.01-85Пособие к СНиП 3.01.01-85Пособие к СНиП 3.01.01-85Пособие к СНиП 3.01.01-85Пособие к СНиП 3.01.01-85Пособие к СНиП 3.01.01-85Пособие к СНиП 3.01.01-85Пособие к СНиП 3.01.01-85Пособие к СНиП 3.01.01-85Пособие к СНиП 3.01.01-85Пособие к СНиП 3.01.01-85Пособие к СНиП 3.01.01-85Пособие к СНиП 3.01.01-85Пособие к СНиП 3.01.01-85Пособие к СНиП 3.01.01-85Пособие к СНиП 3.01.01-85Пособие к СНиП 3.01.01-85Пособие к СНиП 3.01.01-85Пособие к СНиП 3.01.01-85Пособие к СНиП 3.01.01-85Пособие к СНиП 3.01.01-85Пособие к СНиП 3.01.01-85Пособие к СНиП 3.01.01-85Пособие к СНиП 3.01.01-85Пособие к СНиП 3.01.01-85Пособие к СНиП 3.01.01-85Пособие к СНиП 3.01.01-85Пособие к СНиП 3.01.01-85Пособие к СНиП 3.01.01-85Пособие к СНиП 3.01.01-85Пособие к СНиП 3.01.01-85Пособие к СНиП 3.01.01-85Пособие к СНиП 3.01.01-85Пособие к СНиП 3.01.01-85Пособие к СНиП 3.01.01-85Пособие к СНиП 3.01.01-85Пособие к СНиП 3.01.01-85Пособие к СНиП 3.01.01-85Пособие к СНиП 3.01.01-85Пособие к СНиП 3.01.01-85Пособие к СНиП 3.01.01-85Пособие к СНиП 3.01.01-85Пособие к СНиП 3.01.01-85Пособие к СНиП 3.01.01-85Пособие к СНиП 3.01.01-85Пособие к СНиП 3.01.01-85Пособие к СНиП 3.01.01-85Пособие к СНиП 3.01.01-85Пособие к СНиП 3.01.01-85Пособие к СНиП 3.01.01-85Пособие к СНиП 3.01.01-85Пособие к СНиП 3.01.01-85Пособие к СНиП 3.01.01-85Пособие к СНиП 3.01.01-85Пособие к СНиП 3.01.01-85Пособие к СНиП 3.01.01-85Пособие к СНиП 3.01.01-85Пособие к СНиП 3.01.01-85Пособие к СНиП 3.01.01-85Пособие к СНиП 3.01.01-85Пособие к СНиП 3.01.01-85Пособие к СНиП 3.01.01-85Пособие к СНиП 3.01.01-85Пособие к СНиП 3.01.01-85Пособие к СНиП 3.01.01-85Пособие к СНиП 3.01.01-85Пособие к СНиП 3.01.01-85Пособие к СНиП 3.01.01-85Пособие к СНиП 3.01.01-85

© 2013 Ёшкин Кот :-) Карта сайта