| ||||||||||||||||||||||||||||
Скачать ТЕР 2001-25 Реставрация и воссоздание предметов декоративно-прикладного искусства из цветных металлов и хрустальных подвесокДата актуализации: 10.08.2017
|
| Обозначение: | ТЕР 2001-25 |
| Обозначение англ: | TER 2001-25 |
| Статус: | действует |
| Название рус.: | Реставрация и воссоздание предметов декоративно-прикладного искусства из цветных металлов и хрустальных подвесок |
| Дата добавления в базу: | 01.09.2013 |
| Дата актуализации: | 05.05.2017 |
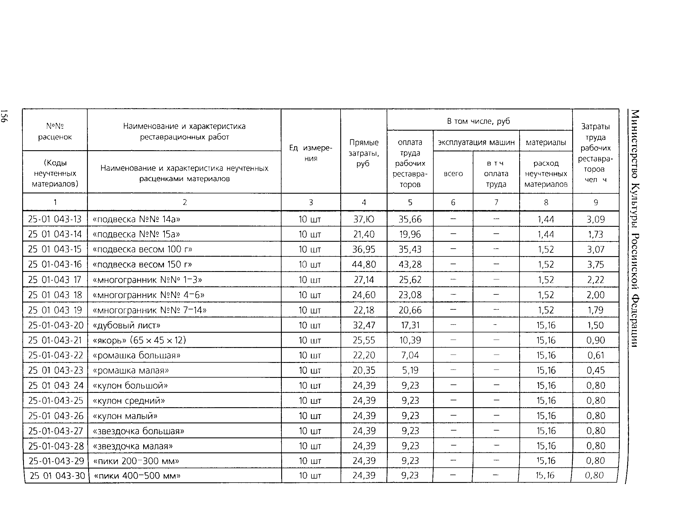
| Оглавление: | Общие указания по применению территориальных единичных расценок на ремонтно-реставрационные работы по объектам культурного наследия Введение Техническая часть Указания по учету возврата материалов, полученных от разборки при реставрации памятников культуры Реставрация и воссоздание предметов декоративно-прикладного искусства из цветных металлов и хрустальных подвесок Техническая часть 1. Реставрация и воссоздание предметов декоративно-прикладного искусства (дпи) из цветных металлов 2. Реставрация и воссоздание хрустальных подвесок Эксплуатация строительных машин Сметные цены на материальные ресурсы |
| Разработан: | НИИ Спецпроектреставрация |
| Утверждён: | 01.07.2003 Министерство культуры Российской Федерации (Russian Federation Ministry of Culture 930) |
| Издан: | ООО Береста (2003 г. ) |
| Расположен в: | |
| Нормативные ссылки: |














































