| ||||||||||||||||||||||||||||||||||||
Скачать ГОСТ Р 8.574-2000 Государственная система обеспечения единства измерений. Государственная поверочная схема для средств измерений плотности потока энергии электромагнитного поля в диапазоне частот от 0,3 до 178,4 ГГцДата актуализации: 10.08.2017
|
| Обозначение: | ГОСТ Р 8.574-2000 |
| Обозначение англ: | GOST R 8.574-2000 |
| Статус: | действует |
| Название рус.: | Государственная система обеспечения единства измерений. Государственная поверочная схема для средств измерений плотности потока энергии электромагнитного поля в диапазоне частот от 0,3 до 178,4 ГГц |
| Название англ.: | State system for ensuring the uniformity of measurements. State verification schedule for means of electromagnetic field density measurement within frequency range 0,3...178,4 GHz |
| Дата добавления в базу: | 01.09.2013 |
| Дата актуализации: | 05.05.2017 |
| Дата введения: | 01.09.2000 |
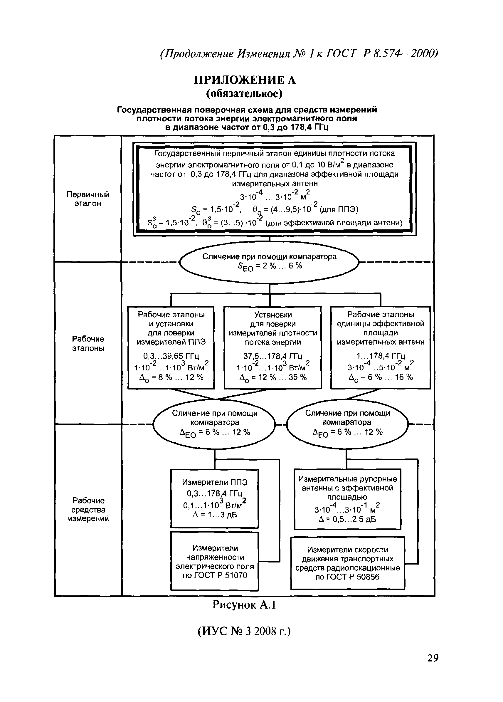
| Область применения: | Стандарт распространяется на государственную поверочную схему (рисунок А. 1, приложение А) для средств измерений плотности потока энергии электромагнитного поля в диапазоне частот от 0,3 до 178,4 ГГц и устанавливает порядок передачи размера единицы плотности потока энергии электромагнитного поля — ватт на квадратный метр (Вт/м2). |
| Оглавление: | 1 Область применения 2 Нормативные ссылки 3 Государственный эталон 4 Рабочие эталоны 5 Рабочие средства измерений Приложение А Государственная поверочная схема для средств измерений плотности потока энергии электромагнитного поля в диапазоне частот от 0,3 до 178,4 ГГц |
| Разработан: | ГП ВНИИФТРИ |
| Утверждён: | 29.02.2000 Госстандарт России (Russian Federation Gosstandart 13) |
| Издан: | ИПК Издательство стандартов (2000 г. ) Стандартинформ (2008 г. ) |
| Расположен в: | |
| Список изменений: |
|
| Нормативные ссылки: |







Текстовое изменение № 1 от 01.06.2008

