| ||||||||||||||||||||||||||
 Скачать ГОСТ Р 41.22-2001 Единообразные предписания, касающиеся официального утверждения защитных шлемов и их смотровых козырьков для водителей и пассажиров мотоциклов и мопедовДата актуализации: 10.08.2017
 | 
| Обозначение: |   ГОСТ Р 41.22-2001 | 
| Обозначение англ: |   GOST R 41.22-2001 | 
| Статус: | действует | 
| Название рус.: | Единообразные предписания, касающиеся официального утверждения защитных шлемов и их смотровых козырьков для водителей и пассажиров мотоциклов и мопедов | 
| Название англ.: | Uniform provisions concerning the type approval of protective helmets and their visors for drivers and passengers of motor cycles and mopeds | 
| Дата добавления в базу: | 01.09.2013 | 
| Дата актуализации: | 05.05.2017 | 
| Дата введения: | 01.01.2002 | 
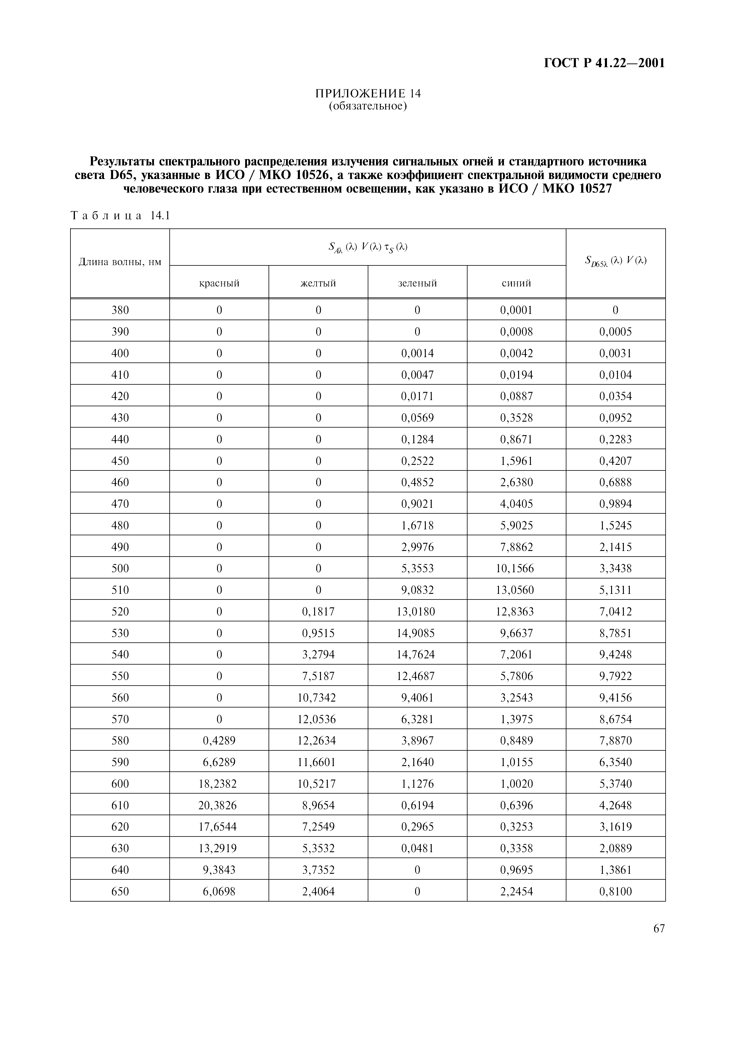
| Оглавление: | 1 Область применения 2 Определения 3 Заявка на официальное утверждение 4 Надписи 5 Официальное утверждение 6 Общие спецификации 7 Испытания 8 Протоколы испытаний 9 Качественная оценка производства 10 Соответствие производства 11 Модификация типа защитного шлема или смотрового козырька и распространение официального утверждения 12 Санкции, налагаемые за несоответствие производства 13 Окончательное прекращение производства 14 Информация для пользователей 15 Переходные положения 16 Наименования и адреса технических служб, уполномоченных проводить испытания для официального утверждения, и административных органов Приложение 1А Сообщение, касающееся официального утверждения, распространения официального утверждения, отказа в официальном утверждении, отмены официального утверждения, окончательного прекращения производства типа защитного шлема на основании Правил ЕЭК Приложение 1В Сообщение, касающееся официального утверждения, распространения официального утверждения, отказа в официальном утверждении, отмены официального утверждения, окончательного прекращения производства типа смотрового козырька защитного шлема на Приложение 2А Примеры знаков официального утверждения Приложение 2В Пример знака официального утверждения для смотрового козырька шлема Приложение 3 Схема защитного шлема Приложение 4 Муляжи головы Приложение 5 Положение шлема на муляже головы Приложение 6 Контрольные муляжи головы (форма и размеры над контрольной плоскостью) Приложение 7 Контрольные муляжи головы (форма и размеры под контрольной плоскостью) Приложение 8 Испытательный стенд Приложение 9 Испытание угла открывания смотрового козырька Приложение 10 Процедура испытания на абразивную стойкость Приложение 11 Методы измерения коэффициента светового рассеивания и прозрачности Приложение 12 Схема официального утверждения типа (схема последовательности операций) Приложение 13 Определения Приложение 14 Результаты спектрального распределения излучения сигнальных огней и стандартного источника света D65 Приложение 15 Испытание преломляющей способности Приложение 16 Испытание устойчивых к запотеванию смотровых козырьков  | 
| Утверждён: | 29.03.2001 Госстандарт России (Russian Federation Gosstandart 145-ст) | 
| Расположен в: | 












































































