Информационная система
«Ёшкин Кот»

Скачать базу одним архивом
Скачать обновления
История создания базы
Карта сайта

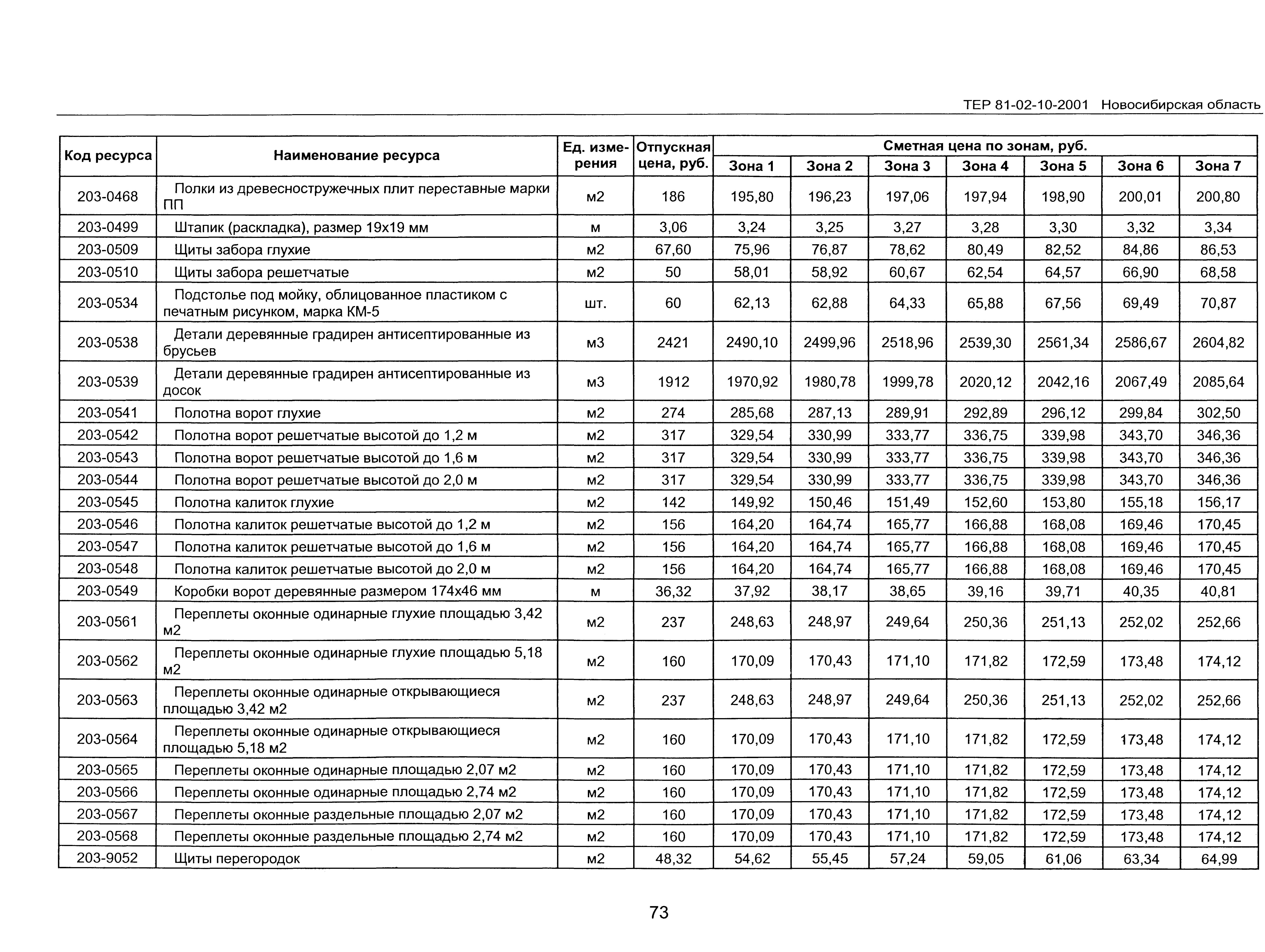
Скачать ТЕР 2001-10 Новосибирской области Деревянные конструкции. Территориальные единичные расценки на строительные работы. Новосибирская область

Дата актуализации: 10.08.2017

ТЕР 2001-10 Новосибирской области

Деревянные конструкции. Территориальные единичные расценки на строительные работы. Новосибирская область

Обозначение: ТЕР 2001-10 Новосибирской области
Обозначение англ: TER 2001-10 Новосибирской области
Статус:действует
Название рус.:Деревянные конструкции. Территориальные единичные расценки на строительные работы. Новосибирская область
Название англ.:Wooden Structures
Дата добавления в базу:01.09.2013
Дата актуализации:05.05.2017
Дата введения:28.07.2003
Область применения:Территориальные единичные расценки предназначены для определения прямых затрат и сметной стоимости при выполнении работ по сборке и установке деревянных конструкций в промышленном и жилищно-гражданском строительстве.
Оглавление:Техническая часть
Раздел 01 Деревянные конструкции
   1 Конструкции кровельных покрытий, стропила
   2 Стены, перегородки
   3 Перекрытия
   4 Окна
   5 Двери, ворота
   6 Лестницы внутриквартирные, крыльца, козырьки
   7 Встроенные шкафы, анресольные полки, штучные изделия
   8 Эстакады
   9 Ограждение площадок и участков предприятий, зданий и сооружений
   10 Прочие конструкции
   11 Огнезащита и антисептирование конструкций
Раздел 02 Сборка жилых и общественных зданий из деталей заводского изготовления комплектной поставки
   1 Щиты дощатые подпольных каналов
   2 Колонны деревянные клееные для промышленных зданий
   3 Перекрытия цокольные, междуэтажные, чердачные и панельные
   4 Стены наружные и внутренние
   5 Перегородки
   6 Крыши, карнизы, фронтоны, стропила
   7 Лестницы
   8 Веранды, террасы, крыльца, козырьки и люфт-клозеты
   9 Сборка зданий из объемных деревянных блоков (контейнеров)
Раздел 03 Градирни
Раздел 04 Перегородки, обшитые гипсокартонными листами или гипсоволокнистыми плитами
   1 Перегородки на деревянном каркасе
   2 Перегородки на металлическом каркасе
Приложение 1 Таблица замены ресурсов
Приложение 2 Часовые тарифные ставки
Приложение 3 Сметные цены эксплуатации строительных машин
Приложение 4 Сметные цены на материалы, изделия и конструкции по зонам Новосибирской области
Разработан: Департамент строительства, архитектуры и дорожного комплекса Администрации Новосибирской области
Утверждён:28.07.2003 Департамент строительства, архитектуры и дорожного комплекса Администрации Новосибирской области (7-ОВ)
Издан: Администрация Новосибирской области (2003 г. )
Расположен в:Техническая документация Строительство Нормативные документы Нормативные документы субъектов Российской Федерации Нормативные документы Новосибирской области Документы Системы нормативных документов в строительстве Нормативные документы по экономике к.81 Ценообразование и сметы Классификатор ISO Нормативные документы по экономике Ценообразование и сметы
Нормативные ссылки:
ТЕР 2001-10 Новосибирской областиТЕР 2001-10 Новосибирской областиТЕР 2001-10 Новосибирской областиТЕР 2001-10 Новосибирской областиТЕР 2001-10 Новосибирской областиТЕР 2001-10 Новосибирской областиТЕР 2001-10 Новосибирской областиТЕР 2001-10 Новосибирской областиТЕР 2001-10 Новосибирской областиТЕР 2001-10 Новосибирской областиТЕР 2001-10 Новосибирской областиТЕР 2001-10 Новосибирской областиТЕР 2001-10 Новосибирской областиТЕР 2001-10 Новосибирской областиТЕР 2001-10 Новосибирской областиТЕР 2001-10 Новосибирской областиТЕР 2001-10 Новосибирской областиТЕР 2001-10 Новосибирской областиТЕР 2001-10 Новосибирской областиТЕР 2001-10 Новосибирской областиТЕР 2001-10 Новосибирской областиТЕР 2001-10 Новосибирской областиТЕР 2001-10 Новосибирской областиТЕР 2001-10 Новосибирской областиТЕР 2001-10 Новосибирской областиТЕР 2001-10 Новосибирской областиТЕР 2001-10 Новосибирской областиТЕР 2001-10 Новосибирской областиТЕР 2001-10 Новосибирской областиТЕР 2001-10 Новосибирской областиТЕР 2001-10 Новосибирской областиТЕР 2001-10 Новосибирской областиТЕР 2001-10 Новосибирской областиТЕР 2001-10 Новосибирской областиТЕР 2001-10 Новосибирской областиТЕР 2001-10 Новосибирской областиТЕР 2001-10 Новосибирской областиТЕР 2001-10 Новосибирской областиТЕР 2001-10 Новосибирской областиТЕР 2001-10 Новосибирской областиТЕР 2001-10 Новосибирской областиТЕР 2001-10 Новосибирской областиТЕР 2001-10 Новосибирской областиТЕР 2001-10 Новосибирской областиТЕР 2001-10 Новосибирской областиТЕР 2001-10 Новосибирской областиТЕР 2001-10 Новосибирской областиТЕР 2001-10 Новосибирской областиТЕР 2001-10 Новосибирской областиТЕР 2001-10 Новосибирской областиТЕР 2001-10 Новосибирской областиТЕР 2001-10 Новосибирской областиТЕР 2001-10 Новосибирской областиТЕР 2001-10 Новосибирской областиТЕР 2001-10 Новосибирской областиТЕР 2001-10 Новосибирской областиТЕР 2001-10 Новосибирской областиТЕР 2001-10 Новосибирской областиТЕР 2001-10 Новосибирской областиТЕР 2001-10 Новосибирской областиТЕР 2001-10 Новосибирской областиТЕР 2001-10 Новосибирской областиТЕР 2001-10 Новосибирской областиТЕР 2001-10 Новосибирской областиТЕР 2001-10 Новосибирской областиТЕР 2001-10 Новосибирской областиТЕР 2001-10 Новосибирской областиТЕР 2001-10 Новосибирской областиТЕР 2001-10 Новосибирской областиТЕР 2001-10 Новосибирской областиТЕР 2001-10 Новосибирской областиТЕР 2001-10 Новосибирской области

© 2013 Ёшкин Кот :-) Карта сайта