Информационная система
«Ёшкин Кот»

Скачать базу одним архивом
Скачать обновления
История создания базы
Карта сайта

Скачать РД 34.20.132 Руководящие указания по электрохимической защите подземных энергетических сооружений от коррозии

Дата актуализации: 10.08.2017

РД 34.20.132

Руководящие указания по электрохимической защите подземных энергетических сооружений от коррозии

Обозначение: РД 34.20.132
Обозначение англ: RD 34.20.132
Статус:действует
Название рус.:Руководящие указания по электрохимической защите подземных энергетических сооружений от коррозии
Название англ.:Guidelines for Electrochemical Corrosion Protection of Underground Energy Industry Structures
Дата добавления в базу:01.09.2013
Дата актуализации:05.05.2017
Дата введения:10.11.1996
Область применения:Руководящие указания предназначены для инженерно-технических работников научно-исследовательских, проектных, строительных и эксплуатационных организаций, занимающихся вопросами защиты от коррозии
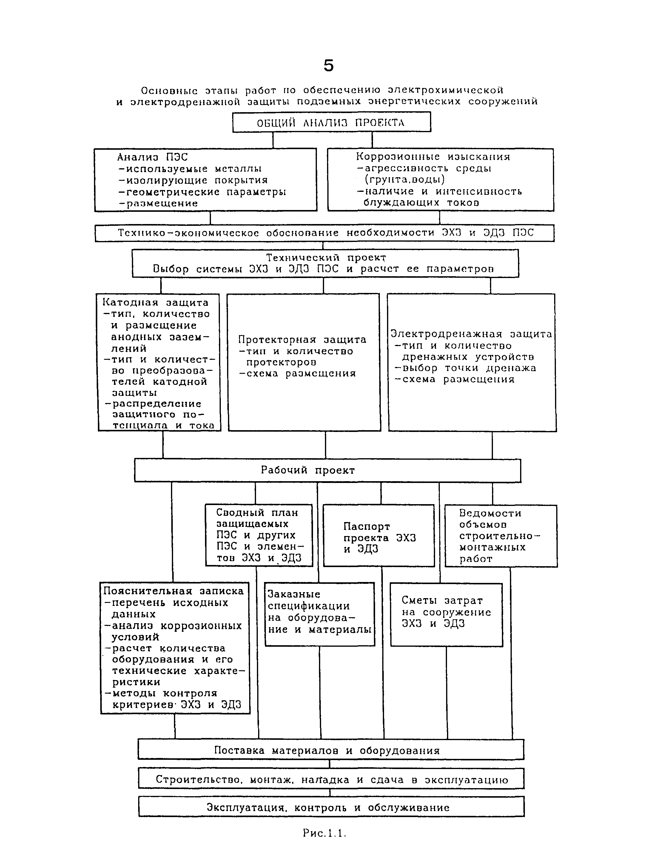
Оглавление:Часть первая. Общие технические требования к средствам электрохимической и электродренажной защиты подземных энергетических сооружений от коррозии, порядок их проектирования, строительства, сдачи и эксплуатации
   1.1. Общие положения
   1.2. Порядок проведения коррозионных изысканий
   1.3. Технико-экономическое обоснование применения электрохимической защиты подземных сооружений энергетического объекта
   1.4. Выбор системы защиты подземных энергетических сооружений от коррозии
   1.5. Требования к средствам электрохимической защиты
   1.6. Порядок проектирования систем электрохимической защиты подземных энергетических сооружений от коррозии
   1.7. Основные технические требования, которые должны быть учтены при проектировании систем электрохимической защиты
   1.8. Строительство, монтаж, опробование, наладка и сдача в эксплуатацию системы электрохимической защиты
   1.9. Основные технические вопросы сооружения системы электрохимической защиты
   1.10. Эксплуатация системы электрохимической защиты подземных энергетических сооружений от коррозии
   1.11. Техника безопасности при проведении работ по защите подземных энергетических сооружений от коррозии
Часть вторая. Основные сведения о процессах коррозии и защите подземных энергетических сооружений. Методические и справочные материалы
   2.1. Основные особенности коррозии подземных энергетических сооружений и методы защиты от нее
   2.2. Расчет параметров катодной защиты от коррозии подземных энергетических сооружений
   2.3. Расчет параметров протекторной защиты подземных энергетических сооружений
   2.4. Методика проведения коррозионных изысканий
   2.5. Критерии коррозионной активности грунтов и грунтовых вод
   2.6. Технические характеристики оборудования для электрохимической защиты подземных энергетических сооружений от коррозии
   2.7. Рекомендуемая структура и основные обязанности службы защиты подземных энергетических сооружений от коррозии
   2.8. Техническая документация электрохимической защиты подземных энергетических сооружений от коррозии
Разработан: АО НИИПТ
АО Осмос Текнолоджи
Утверждён:10.11.1996 РАО ЕЭС России (UES of Russia RAO )
Издан: АО НИИПТ (1996 г. )
Расположен в:Техническая документация Строительство Нормативные документы Отраслевые и ведомственные нормативно-методические документы Проектирование и строительство объектов энергетического комплекса Мостостроение Предприятия, объединения, энергосистемы
Заменяет собой:
  • «Руководящие указания по катодной защите подземных энергетических сооружений от коррозии»
Нормативные ссылки:
РД 34.20.132РД 34.20.132РД 34.20.132РД 34.20.132РД 34.20.132РД 34.20.132РД 34.20.132РД 34.20.132РД 34.20.132РД 34.20.132РД 34.20.132РД 34.20.132РД 34.20.132РД 34.20.132РД 34.20.132РД 34.20.132РД 34.20.132РД 34.20.132РД 34.20.132РД 34.20.132РД 34.20.132РД 34.20.132РД 34.20.132РД 34.20.132РД 34.20.132РД 34.20.132РД 34.20.132РД 34.20.132РД 34.20.132РД 34.20.132РД 34.20.132РД 34.20.132РД 34.20.132РД 34.20.132РД 34.20.132РД 34.20.132РД 34.20.132РД 34.20.132РД 34.20.132РД 34.20.132РД 34.20.132РД 34.20.132РД 34.20.132РД 34.20.132РД 34.20.132РД 34.20.132РД 34.20.132РД 34.20.132РД 34.20.132РД 34.20.132РД 34.20.132РД 34.20.132РД 34.20.132РД 34.20.132РД 34.20.132РД 34.20.132РД 34.20.132РД 34.20.132РД 34.20.132РД 34.20.132РД 34.20.132РД 34.20.132РД 34.20.132РД 34.20.132РД 34.20.132РД 34.20.132РД 34.20.132РД 34.20.132РД 34.20.132РД 34.20.132РД 34.20.132РД 34.20.132РД 34.20.132РД 34.20.132РД 34.20.132РД 34.20.132РД 34.20.132РД 34.20.132РД 34.20.132РД 34.20.132РД 34.20.132РД 34.20.132РД 34.20.132РД 34.20.132РД 34.20.132РД 34.20.132РД 34.20.132РД 34.20.132РД 34.20.132РД 34.20.132РД 34.20.132РД 34.20.132РД 34.20.132РД 34.20.132РД 34.20.132РД 34.20.132РД 34.20.132РД 34.20.132РД 34.20.132РД 34.20.132РД 34.20.132РД 34.20.132РД 34.20.132РД 34.20.132РД 34.20.132РД 34.20.132РД 34.20.132РД 34.20.132РД 34.20.132РД 34.20.132РД 34.20.132РД 34.20.132РД 34.20.132РД 34.20.132РД 34.20.132РД 34.20.132РД 34.20.132РД 34.20.132РД 34.20.132РД 34.20.132РД 34.20.132РД 34.20.132РД 34.20.132РД 34.20.132РД 34.20.132РД 34.20.132РД 34.20.132РД 34.20.132РД 34.20.132

© 2013 Ёшкин Кот :-) Карта сайта