Информационная система
«Ёшкин Кот»

Скачать базу одним архивом
Скачать обновления
История создания базы
Карта сайта

Скачать РД 34.25.509 Типовая инструкция по пуску из различных тепловых состояний и останову моноблока мощностью 300 МВт с турбиной К-300-240 ХТГЗ

Дата актуализации: 10.08.2017

РД 34.25.509

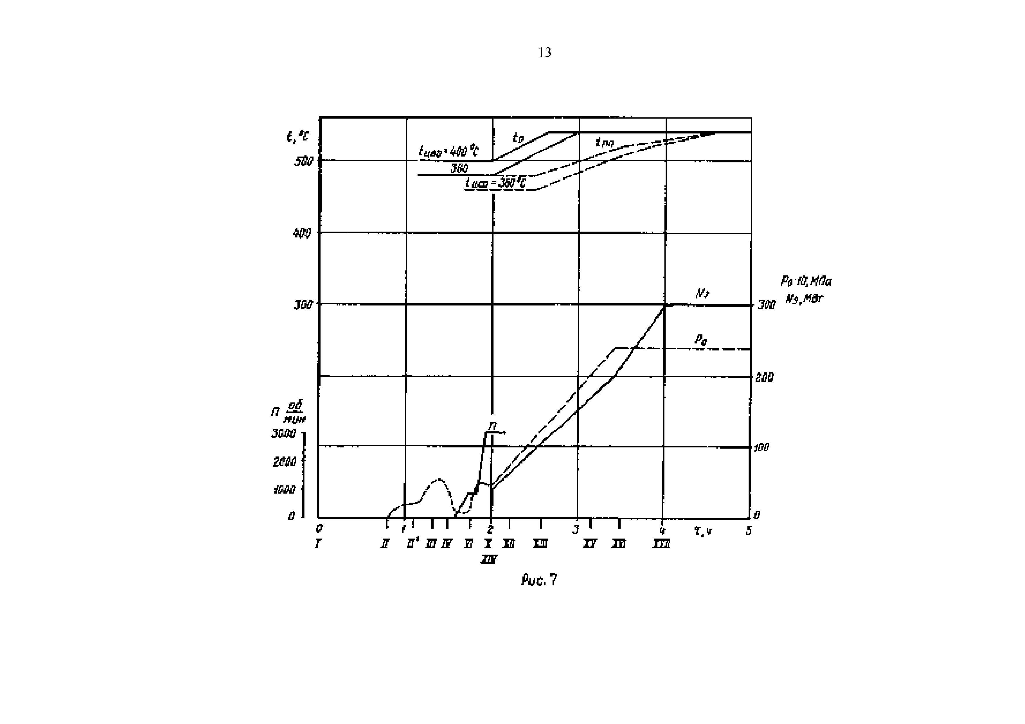
Типовая инструкция по пуску из различных тепловых состояний и останову моноблока мощностью 300 МВт с турбиной К-300-240 ХТГЗ

Обозначение: РД 34.25.509
Обозначение англ: RD 34.25.509
Статус:действует
Название рус.:Типовая инструкция по пуску из различных тепловых состояний и останову моноблока мощностью 300 МВт с турбиной К-300-240 ХТГЗ
Название англ.:Model Guidelines for Startup from Various Thermal States and Shutdown of 300-MW Boiler-Turbine Sets with Turbine K-300-240 KhTGZ
Дата добавления в базу:01.09.2013
Дата актуализации:05.05.2017
Оглавление:1 Общие положения
2 Пуск блока из холодного состояния
   2.1 Подготовительные операции
   2.2 Пуск блока
3 Пуск блока из неостывшего состояния с прогревом паропроводов промперегрева
4 Пуск блока из неостывшего состояния без прогрева паропроводов промперегрева
5 Пуск блока из горячего состояния
6 Пуск блока из состояния горячего резерва
7 Останов блока без расхолаживания оборудования
8 Останов блока с расхолаживанием турбины
9 Останов блока с расхолаживанием котла и паропроводов
10 Останов блока с расхолаживанием тракта котла до встроенной задвижки
11 Аварийный останов блока
Приложение 1 Порядок включения технологических защит при пуске блока
Приложение 2 Порядок включения автоматических регуляторов при пуске блока
Приложение 3 Основные технологические принципы организации режимов пуска и останова блока
Приложение 4 Краткая характеристика режимов пуска моноблока мощностью 300 МВт из различных тепловых состояний при модернизированной системе обогрева фланцев и шпилек турбины
Приложение 5 Перечень обозначений операций и параметров, принятых в графиках-заданиях
Приложение 6 Останов блока с расхолаживанием котла и паропроводов на сепараторном режиме
Разработан: Южтехэнерго
Утверждён:04.08.1976 Главтехуправление Минэнерго СССР (Glavtekhupravleniye, USSR Minenergo )
Издан: СПО Союзтехэнерго (1977 г. )
Расположен в:Техническая документация Мостостроение Основное оборудование энергоблоков
Список изменений:
РД 34.25.509РД 34.25.509РД 34.25.509РД 34.25.509РД 34.25.509РД 34.25.509РД 34.25.509РД 34.25.509РД 34.25.509РД 34.25.509РД 34.25.509РД 34.25.509РД 34.25.509РД 34.25.509РД 34.25.509РД 34.25.509РД 34.25.509РД 34.25.509РД 34.25.509РД 34.25.509РД 34.25.509РД 34.25.509РД 34.25.509РД 34.25.509РД 34.25.509РД 34.25.509РД 34.25.509РД 34.25.509РД 34.25.509РД 34.25.509РД 34.25.509РД 34.25.509РД 34.25.509РД 34.25.509РД 34.25.509РД 34.25.509РД 34.25.509РД 34.25.509РД 34.25.509РД 34.25.509РД 34.25.509РД 34.25.509РД 34.25.509РД 34.25.509РД 34.25.509РД 34.25.509РД 34.25.509РД 34.25.509РД 34.25.509РД 34.25.509РД 34.25.509

Текстовое изменение № 20/86 от 01.01.1986

№ 20/86№ 20/86№ 20/86№ 20/86

Текстовое изменение № 8 / 87 от 01.01.1987

№ 8 / 87№ 8 / 87№ 8 / 87№ 8 / 87№ 8 / 87№ 8 / 87№ 8 / 87№ 8 / 87№ 8 / 87№ 8 / 87№ 8 / 87№ 8 / 87№ 8 / 87№ 8 / 87№ 8 / 87№ 8 / 87

© 2013 Ёшкин Кот :-) Карта сайта