Информационная система
«Ёшкин Кот»

Скачать базу одним архивом
Скачать обновления
История создания базы
Карта сайта

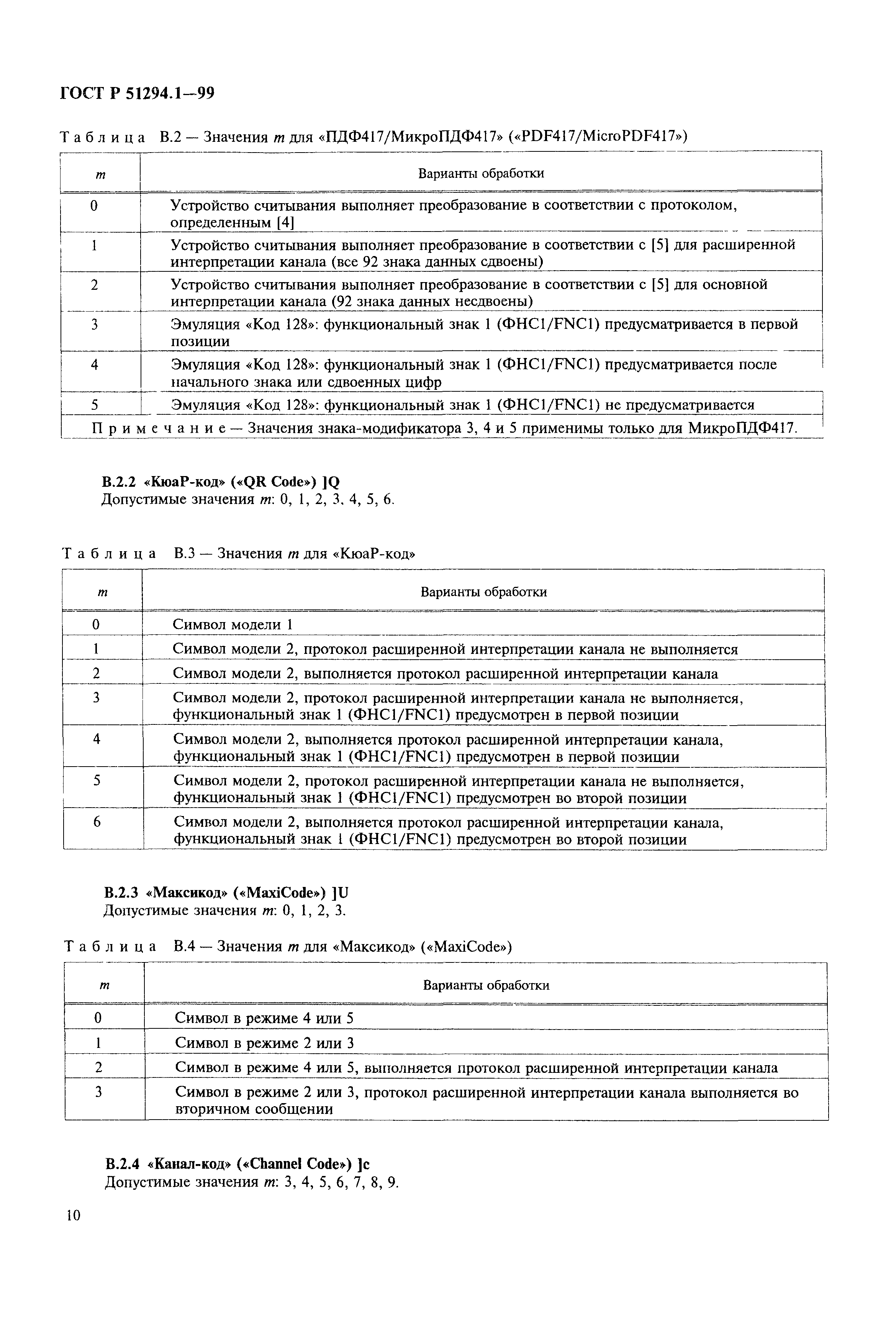
Скачать ГОСТ Р 51294.1-99 Автоматическая идентификация. Кодирование штриховое. Идентификаторы символик

Дата актуализации: 10.08.2017

ГОСТ Р 51294.1-99

Автоматическая идентификация. Кодирование штриховое. Идентификаторы символик

Обозначение: ГОСТ Р 51294.1-99
Обозначение англ: GOST R 51294.1-99
Статус:действует
Название рус.:Автоматическая идентификация. Кодирование штриховое. Идентификаторы символик
Название англ.:Automatic identification. Bar coding. Symbology identifiers
Дата добавления в базу:01.09.2013
Дата актуализации:05.05.2017
Дата введения:01.12.1999
Оглавление:Введение
1 Область применения
2 Нормативные ссылки
3 Определения
4 Требования
4.1 Структура идентификатора символики
4.2 Знаки кода
4.3 Знаки-модификаторы
4.4 Эмуляция символики
Приложение А Ведение перечня идентификаторов символик
Приложение В Дополнительные перечни знаков кода и знаков-модификаторов
Приложение С Эмуляция символики
Приложение D Термины, используемые в настоящем стандарте, и пояснения к ним
Приложение Е Библиография
Утверждён:14.07.1999 Госстандарт России (Russian Federation Gosstandart 206-ст)
Расположен в:Техническая документация Электроэнергия ИНФОРМАЦИОННЫЕ ТЕХНОЛОГИИ. МАШИНЫ КОНТОРСКИЕ Наборы знаков и кодирование информации Экология ИНФОРМАЦИОННЫЕ ТЕХНОЛОГИИ. МАШИНЫ КОНТОРСКИЕ Наборы знаков и кодирование информации
ГОСТ Р 51294.1-99ГОСТ Р 51294.1-99ГОСТ Р 51294.1-99ГОСТ Р 51294.1-99ГОСТ Р 51294.1-99ГОСТ Р 51294.1-99ГОСТ Р 51294.1-99ГОСТ Р 51294.1-99ГОСТ Р 51294.1-99ГОСТ Р 51294.1-99ГОСТ Р 51294.1-99ГОСТ Р 51294.1-99ГОСТ Р 51294.1-99ГОСТ Р 51294.1-99ГОСТ Р 51294.1-99ГОСТ Р 51294.1-99ГОСТ Р 51294.1-99ГОСТ Р 51294.1-99ГОСТ Р 51294.1-99ГОСТ Р 51294.1-99

© 2013 Ёшкин Кот :-) Карта сайта