Информационная система
«Ёшкин Кот»

Скачать базу одним архивом
Скачать обновления
История создания базы
Карта сайта

Скачать ГОСТ Р 50546-93 Сироп из глюкозы. Определение содержания сухого вещества с использованием показателя преломления. Рефрактометрический метод

Дата актуализации: 10.08.2017

ГОСТ Р 50546-93

Сироп из глюкозы. Определение содержания сухого вещества с использованием показателя преломления. Рефрактометрический метод

Обозначение: ГОСТ Р 50546-93
Обозначение англ: GOST R 50546-93
Статус:введен впервые
Название рус.:Сироп из глюкозы. Определение содержания сухого вещества с использованием показателя преломления. Рефрактометрический метод
Название англ.:Glucose syrup. Determination of dry matter content. Refractive index method
Дата добавления в базу:01.09.2013
Дата актуализации:05.05.2017
Дата введения:01.01.1994
Область применения:Стандарт устанавливает метод определения содуржания сухового вещества в сиропах из глюкозы на основе их показателя преломления.
Оглавление:1 Назначение и область применения
2 Ссылка
3 Сущность метода
4 Приборы и оборудование
5 Методика
6 Обработка результатов
7 Повторяемость
8 Примечания к проведению испытания
9 Протокол анализа
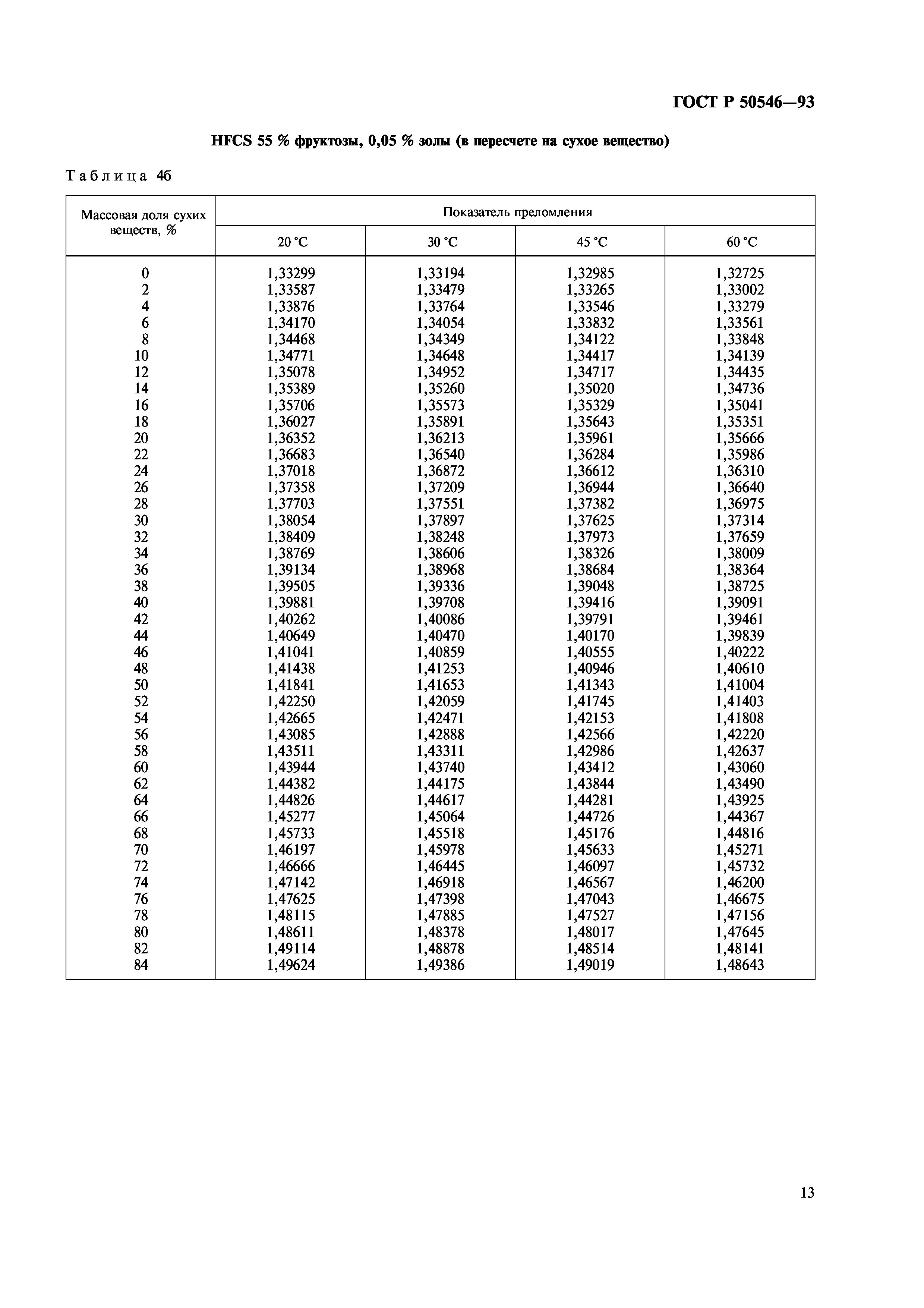
Приложение (обязательное) Таблицы, представляющие показатель преломления как функцию состава концентрации и температуры
Разработан: ТК 250 Крахмал и крахмалопродукты
Утверждён:01.04.1993 Госстандарт России (Russian Federation Gosstandart 102)
Издан: Издательство стандартов (1993 г. )
Стандартинформ (2005 г. )
Расположен в:Техническая документация Электроэнергия ПРОИЗВОДСТВО ПИЩЕВЫХ ПРОДУКТОВ Сахар. Продукты из сахара. Крахмал Крахмал и продукты из него Экология ПРОИЗВОДСТВО ПИЩЕВЫХ ПРОДУКТОВ Сахар. Продукты из сахара. Крахмал Крахмал и продукты из него
Нормативные ссылки:
ГОСТ Р 50546-93ГОСТ Р 50546-93ГОСТ Р 50546-93ГОСТ Р 50546-93ГОСТ Р 50546-93ГОСТ Р 50546-93ГОСТ Р 50546-93ГОСТ Р 50546-93ГОСТ Р 50546-93ГОСТ Р 50546-93ГОСТ Р 50546-93ГОСТ Р 50546-93ГОСТ Р 50546-93ГОСТ Р 50546-93ГОСТ Р 50546-93ГОСТ Р 50546-93ГОСТ Р 50546-93ГОСТ Р 50546-93ГОСТ Р 50546-93ГОСТ Р 50546-93

© 2013 Ёшкин Кот :-) Карта сайта