| ||||||||||||||||||||||||||||||||||||
Скачать ГОСТ Р 50431-92 Термопары. Часть 1. Номинальные статические характеристики преобразованияДата актуализации: 10.08.2017
|
| Обозначение: | ГОСТ Р 50431-92 |
| Обозначение англ: | GOST R 50431-92 |
| Статус: | заменен |
| Название рус.: | Термопары. Часть 1. Номинальные статические характеристики преобразования |
| Название англ.: | Thermocouplers. Part 1. Nominal static graduation tables |
| Дата добавления в базу: | 01.10.2014 |
| Дата актуализации: | 05.05.2017 |
| Дата введения: | 01.07.2002 |
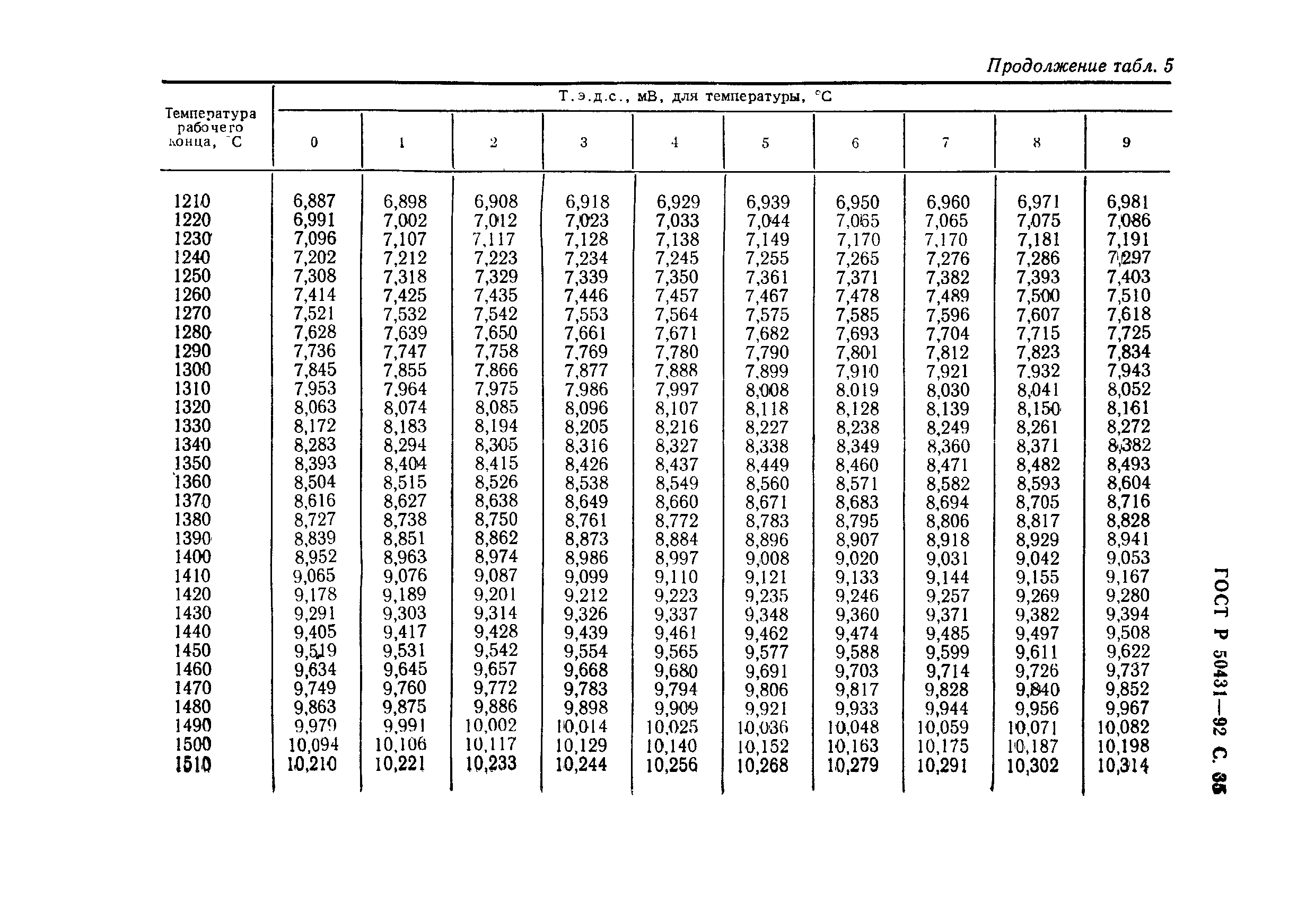
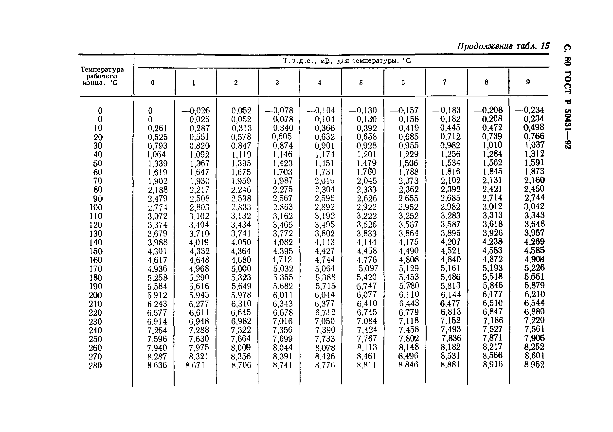
| Область применения: | Стандарт устанавливает номинальные статические характеристики преобразования термопар, т.е. зависимость термоэлектродвижущей силы термопар от температуры рабочего конца при нулевой температуре свободных концов и обратную зависимость. |
| Оглавление: | 1. Область применения 2. Буквенные обозначения термопар 3. Платина 13 % родий/платина (тип R) 4. Платина 10 % родий /платина (тип S) 5. Платина 30 % родий/платина 6 % родий (тип B) 6. Железо/медь-никель (железо/константан) (тип J) 7. Медь/медь-никель (медь/константан) (тип T) 8. Никель-хром/медь-никель (хромель/константан) (тип E) 9. Никель-хром/никель-алюминий (хромель/алюмель) (тип K) 10. Никель-хром-кремний/никель-кремний (тип N) Приложение 1 (справочное) Аппроксимирующие полиномы номинальных статических характеристик преобразования Приложение 2 (обязательное) Дополнительные требования, отражающие потребности народного хозяйства 11. Вольфрам-рений/вольфрам-рений (тип A-1) 12. Вольфрам-рений/вольфрам-рений (тип A-2) 13. Вольфрам-рений/вольфрам-рений (тип A-3) 14. Хромель-копель (тип L) Приложение 3 (справочное) Дополнительные требования, отражающие потребности народного хозяйства |
| Разработан: | ТК 286 Приборы промышленного контроля и регулирования |
| Утверждён: | 15.12.1992 Госстандарт России (Russian Federation Gosstandart 1540) |
| Издан: | Издательство стандартов (1993 г. ) |
| Расположен в: | |
| Чем заменён: | |
| Нормативные ссылки: |



































































































































