Информационная система
«Ёшкин Кот»

Скачать базу одним архивом
Скачать обновления
История создания базы
Карта сайта

Скачать ГОСТ Р 50020.2-92 Электроустановки для открытых площадок при тяжелых условиях эксплуатации (включая открытые горные разработки и карьеры). Часть 2. Общие требования к защите

Дата актуализации: 10.08.2017

ГОСТ Р 50020.2-92

Электроустановки для открытых площадок при тяжелых условиях эксплуатации (включая открытые горные разработки и карьеры). Часть 2. Общие требования к защите

Обозначение: ГОСТ Р 50020.2-92
Обозначение англ: GOST R 50020.2-92
Статус:действует
Название рус.:Электроустановки для открытых площадок при тяжелых условиях эксплуатации (включая открытые горные разработки и карьеры). Часть 2. Общие требования к защите
Название англ.:Electrical installations for outdoor sites under heavy conditions (including open-cast mines and quarries). Part 2. General protection requirements
Дата добавления в базу:01.09.2013
Дата актуализации:05.05.2017
Дата введения:01.01.1993
Оглавление:Глава I. Защита от непосредственного прикосновения (защита от поражения электрическим током при нормальной работе)
Вводная часть
1. Общие требования
2. Полная защита при помощи ограждений или оболочек
3. Полная защита путем изоляции частей, находящихся под напряжением
4. Частичная защита путем помещения частей, находящихся под напряжением, вне пределов досягаемости
5. Частичная защита при помощи барьеров
6. Минимальные расстояния, которые должны соблюдаться в рабочих и обслуживаемых проходах для оборудования, находящегося внутри помещения
7. Минимальные воздушные расстояния в наружных установках
Глава II. Защита от косвенного прикосновения - переменный ток (защита от поражения электрическим током при повреждении)
Вводная часть
8. Общие требования
9. Описание энергосистем TN, TT и IT
10. Защитные меры для энергосистем TN
11. Защитные меры для энергосистем TТ
12. Защитные меры для энергосистем IT
13. Требования к устройствам, ограничивающим ток утечки на землю
14. Заземляющие устройства и защитные проводники
Глава III. Защита от сверхтока от тока короткого замыкания
Вводная часть
15. Общие требования
16. Виды защитных устройств
17. Автоматическое отключение - защита от сверхтока из-за перегрузки
18. Автоматическое отключение - защита от короткого замыкания
19. Согласование защиты от перегрузки и короткого замыкания
20. Ограничение сверхтока посредством изменения характеристик питания или нагрузки
Глава IV. Выбор защитных устройств и защитных систем
Вводная часть
21. Основные требования
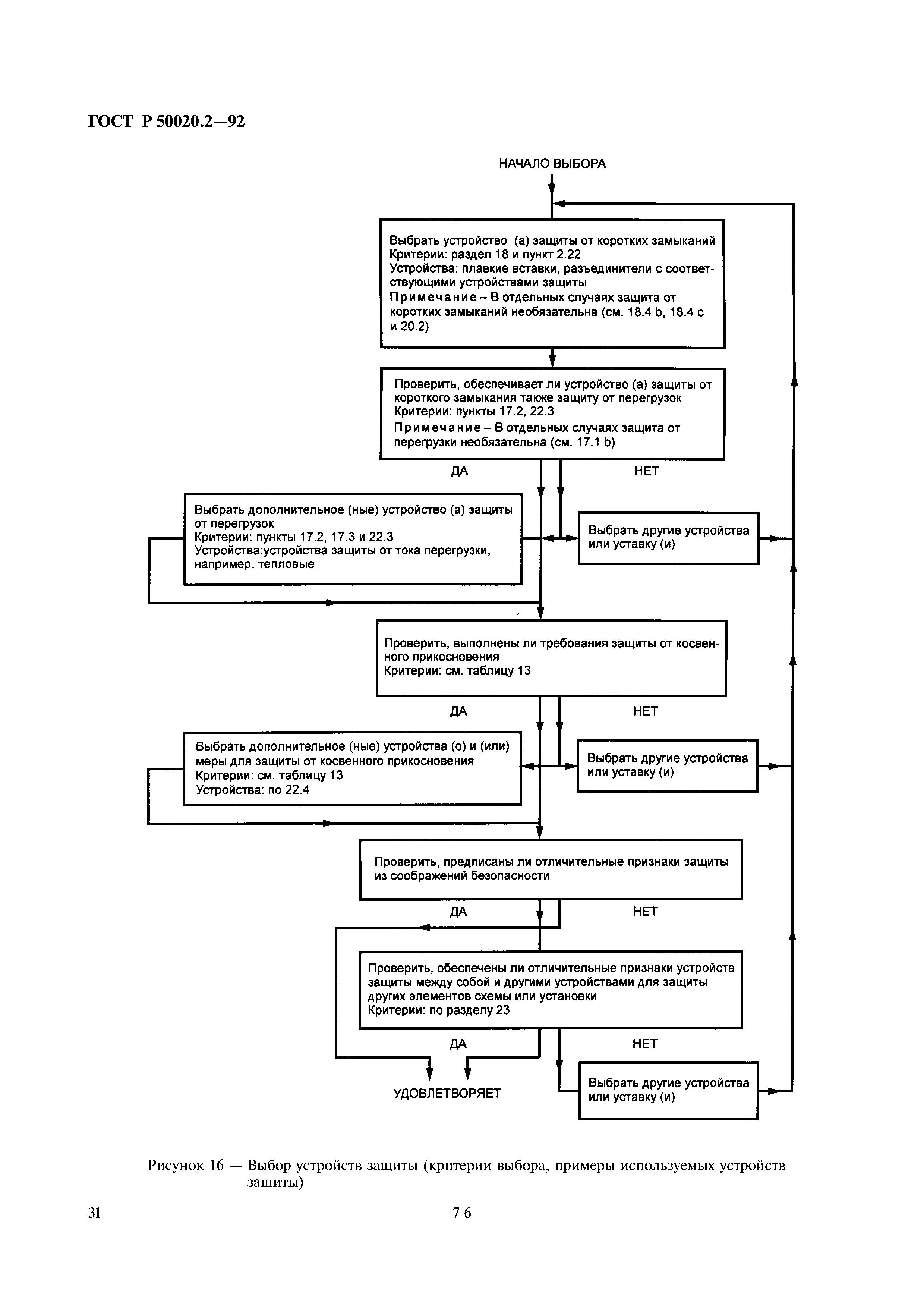
22. Процедура выбора
23. Отличительные признаки устройств
Приложение А. Выбор коэффициента К для расчета минимальной площади поперечного сечения защитных проводников
Приложение В. Описание некоторых устройств защиты и их применение
Разработан: ТК 403 Взрывозащищенное и рудничное электрооборудование
Утверждён:16.07.1992 Госстандарт России (Russian Federation Gosstandart 720)
Издан: Издательство стандартов (1992 г. )
ИПК Издательство стандартов (2004 г. )
Расположен в:Техническая документация Электроэнергия ЭЛЕКТРОТЕХНИКА Электрическое оборудование для работы в особых условиях Электрическое оборудование для работы в особых условиях прочее Экология ЭЛЕКТРОТЕХНИКА Электрическое оборудование для работы в особых условиях Электрическое оборудование для работы в особых условиях прочее
ГОСТ Р 50020.2-92ГОСТ Р 50020.2-92ГОСТ Р 50020.2-92ГОСТ Р 50020.2-92ГОСТ Р 50020.2-92ГОСТ Р 50020.2-92ГОСТ Р 50020.2-92ГОСТ Р 50020.2-92ГОСТ Р 50020.2-92ГОСТ Р 50020.2-92ГОСТ Р 50020.2-92ГОСТ Р 50020.2-92ГОСТ Р 50020.2-92ГОСТ Р 50020.2-92ГОСТ Р 50020.2-92ГОСТ Р 50020.2-92ГОСТ Р 50020.2-92ГОСТ Р 50020.2-92ГОСТ Р 50020.2-92ГОСТ Р 50020.2-92ГОСТ Р 50020.2-92ГОСТ Р 50020.2-92ГОСТ Р 50020.2-92ГОСТ Р 50020.2-92ГОСТ Р 50020.2-92ГОСТ Р 50020.2-92ГОСТ Р 50020.2-92ГОСТ Р 50020.2-92ГОСТ Р 50020.2-92ГОСТ Р 50020.2-92ГОСТ Р 50020.2-92ГОСТ Р 50020.2-92ГОСТ Р 50020.2-92ГОСТ Р 50020.2-92ГОСТ Р 50020.2-92ГОСТ Р 50020.2-92ГОСТ Р 50020.2-92ГОСТ Р 50020.2-92

© 2013 Ёшкин Кот :-) Карта сайта