Информационная система
«Ёшкин Кот»

Скачать базу одним архивом
Скачать обновления
История создания базы
Карта сайта

Скачать ГОСТ Р 41.106-99 Единообразные предписания, касающиеся официального утверждения пневматических шин для сельскохозяйственных транспортных средств и их прицепов

Дата актуализации: 10.08.2017

ГОСТ Р 41.106-99

Единообразные предписания, касающиеся официального утверждения пневматических шин для сельскохозяйственных транспортных средств и их прицепов

Обозначение: ГОСТ Р 41.106-99
Обозначение англ: GOST R 41.106-99
Статус:действует
Название рус.:Единообразные предписания, касающиеся официального утверждения пневматических шин для сельскохозяйственных транспортных средств и их прицепов
Название англ.:Uniform provisions concerning the approval of pneumatic tyres for agricultural vehicles and their trailers
Дата добавления в базу:01.09.2013
Дата актуализации:05.05.2017
Дата введения:01.07.2000
Оглавление:1. Область применения
2. Определения
3. Маркировка
4. Заявка на официальное утверждение
5. Официальное утверждение
6. Требования
7. Модификация типа шины и распространение официального утверждения
8. Соответствие производства
9. Санкции, налагаемые за несоответствие производства
10. Окончательное прекращение производства
11. Наименования и адреса технических служб, уполномоченных проводить испытания для официального утверждения, и испытательных лабораторий административных органов
Приложение 1. Сообщение, касающееся официального утверждения, распространения официального утверждения, отказа в официальном утверждении, отмены официального утверждения, окончательного прекращения производства типа пневматической шины для механических транспортных средств на основании настоящих Правил
Приложение 2. Схема знака официального утверждения
Приложение 3. Схема маркировки шины
Приложение 4. Перечень индексов несущей способности (LI) и соответствующих максимальных допустимых масс (кг)
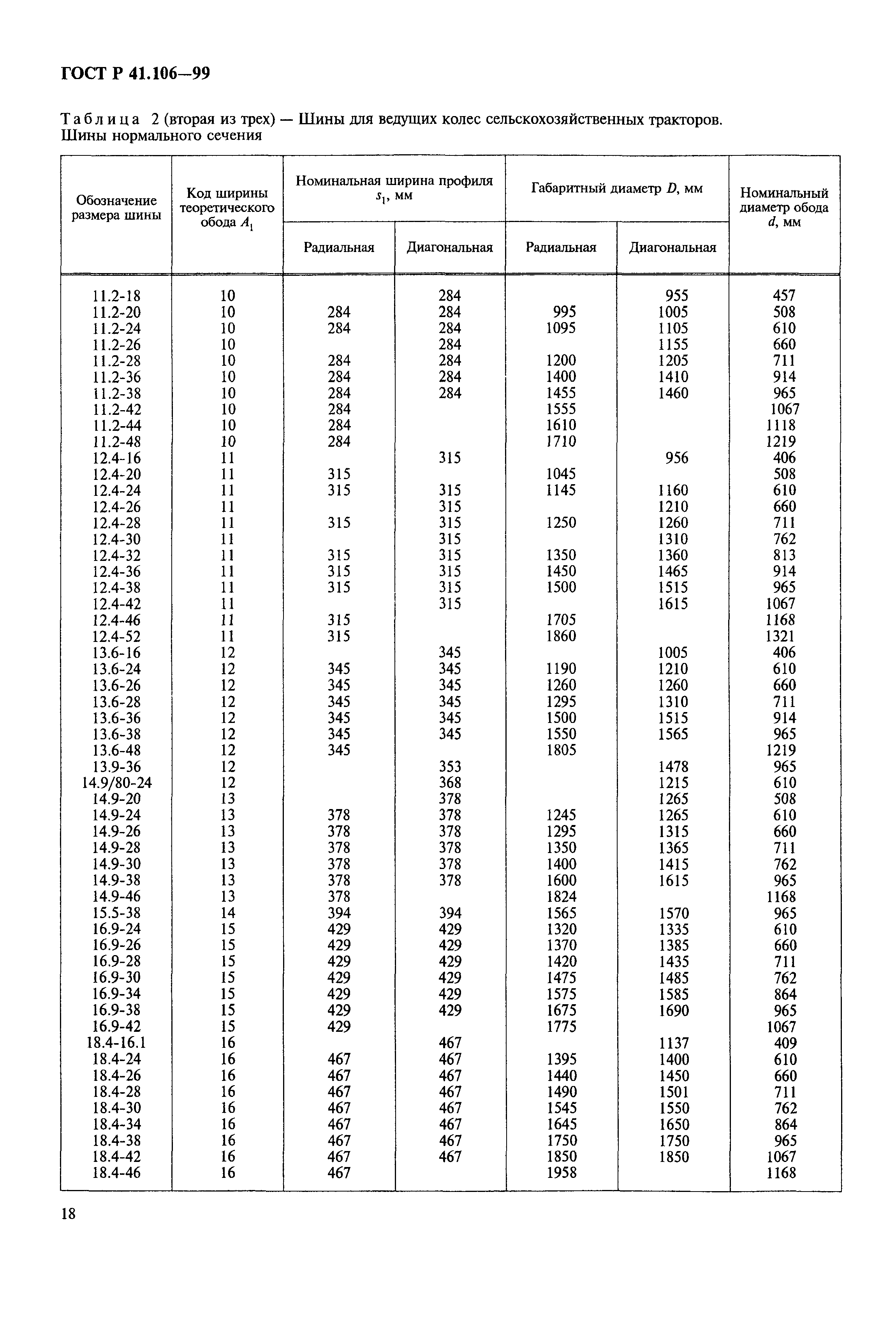
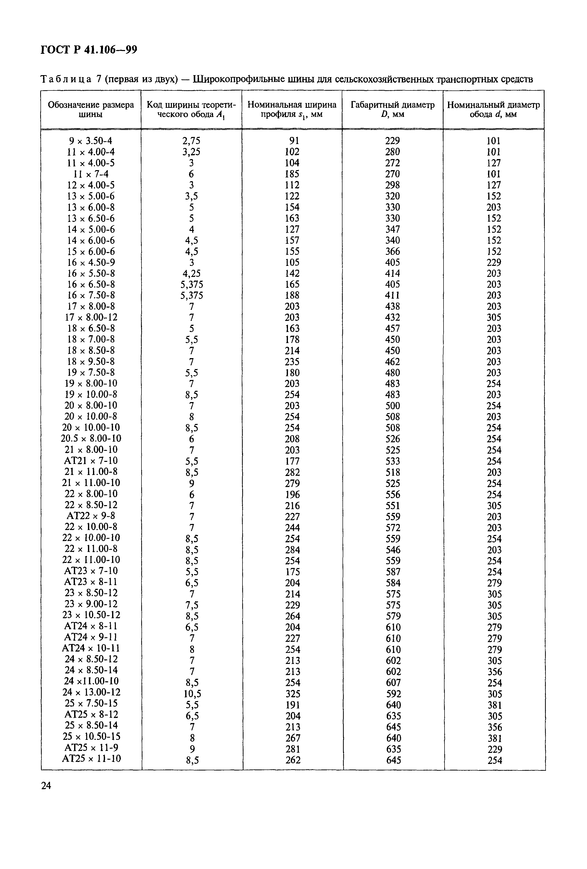
Приложение 5. Теоретический обод, наружный диаметр и номинальная ширина профиля шин с некоторыми обозначениями размеров
Приложение 6. Метод измерения размеров шин
Приложение 7. Изменение несущей способности в зависимости от скорости
Приложение 8. Процедура испытания для оценки устойчивости шины к разрыву
Приложение 9. Процедура испытания на нагрузку/скорость
Приложение 10. Классификационные коды шин
Приложение 11. Пример пиктограммы, которая должна проставляться на обоих боковинах шины для четкого указания максимального давления воздуха в шине, которое не должно превышаться для обеспечения надлежащей посадки борта на ободе при монтаже шин
Утверждён:26.05.1999 Госстандарт России (Russian Federation Gosstandart 184)
Расположен в:Техническая документация Электроэнергия РЕЗИНОВАЯ, РЕЗИНОТЕХНИЧЕСКАЯ, АСБЕСТОТЕХНИЧЕСКАЯ И ПЛАСТМАССОВАЯ ПРОМЫШЛЕННОСТЬ Шины Шины для сельскохозяйственных машин Экология РЕЗИНОВАЯ, РЕЗИНОТЕХНИЧЕСКАЯ, АСБЕСТОТЕХНИЧЕСКАЯ И ПЛАСТМАССОВАЯ ПРОМЫШЛЕННОСТЬ Шины Шины для сельскохозяйственных машин
ГОСТ Р 41.106-99ГОСТ Р 41.106-99ГОСТ Р 41.106-99ГОСТ Р 41.106-99ГОСТ Р 41.106-99ГОСТ Р 41.106-99ГОСТ Р 41.106-99ГОСТ Р 41.106-99ГОСТ Р 41.106-99ГОСТ Р 41.106-99ГОСТ Р 41.106-99ГОСТ Р 41.106-99ГОСТ Р 41.106-99ГОСТ Р 41.106-99ГОСТ Р 41.106-99ГОСТ Р 41.106-99ГОСТ Р 41.106-99ГОСТ Р 41.106-99ГОСТ Р 41.106-99ГОСТ Р 41.106-99ГОСТ Р 41.106-99ГОСТ Р 41.106-99ГОСТ Р 41.106-99ГОСТ Р 41.106-99ГОСТ Р 41.106-99ГОСТ Р 41.106-99ГОСТ Р 41.106-99ГОСТ Р 41.106-99ГОСТ Р 41.106-99ГОСТ Р 41.106-99ГОСТ Р 41.106-99ГОСТ Р 41.106-99ГОСТ Р 41.106-99ГОСТ Р 41.106-99ГОСТ Р 41.106-99

© 2013 Ёшкин Кот :-) Карта сайта