Информационная система
«Ёшкин Кот»

Скачать базу одним архивом
Скачать обновления
История создания базы
Карта сайта

Скачать ГОСТ 5212-74 Таблица аэродинамическая. Динамические давления и температуры торможения воздуха для скорости полета от 10 до 4000 км/ч

Дата актуализации: 10.08.2017

ГОСТ 5212-74

Таблица аэродинамическая. Динамические давления и температуры торможения воздуха для скорости полета от 10 до 4000 км/ч

Обозначение: ГОСТ 5212-74
Обозначение англ: GOST 5212-74
Статус:действует
Название рус.:Таблица аэродинамическая. Динамические давления и температуры торможения воздуха для скорости полета от 10 до 4000 км/ч
Название англ.:Table, aerodynamic. Dynamic pressures and temperatures of braking air for flight velocity from 10 km/h to 4000 km/h parameters
Дата добавления в базу:01.09.2013
Дата актуализации:05.05.2017
Дата введения:01.01.1975
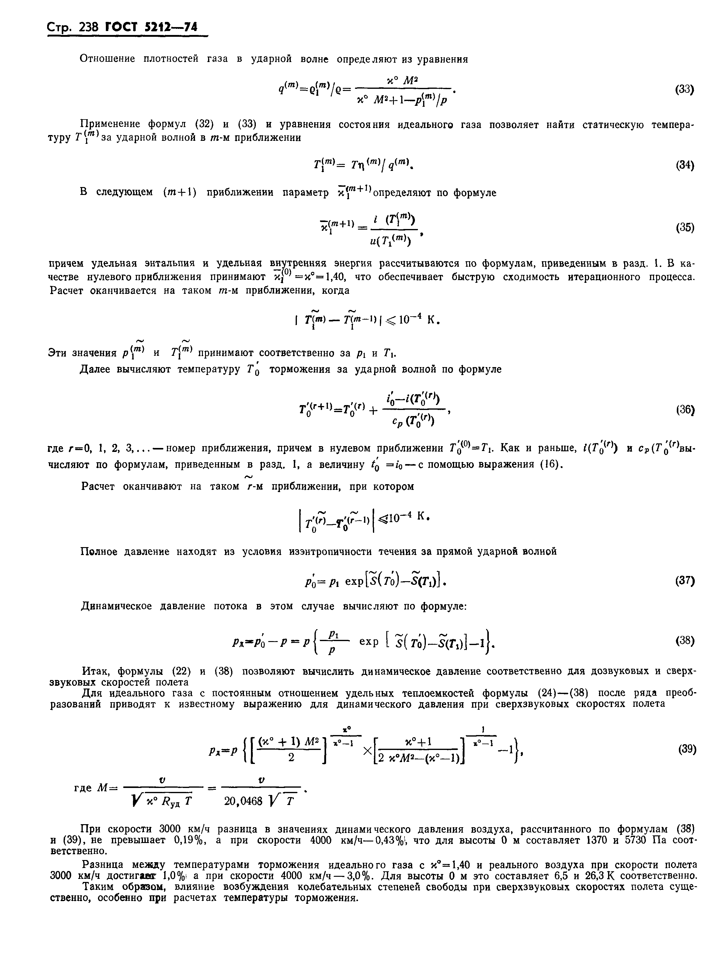
Область применения:Стандарт устанавливает числовые значения динамического давления и температуры торможения воздуха в зависимости от величин истинной скорости и геопотенциальной высоты полета. Стандарт предназначен для использования при расчетах, проектировании и изготовлении летательных аппаратов, их элементов и комплектующих изделий, а также для приведения результатов испытаний летательных аппаратов, их элементов и комплектующих изделий, к одинаковым условиям.
Оглавление:Значения динамического давления и температуры торможения воздуха в зависимости от истинной скорости и геопотенциальной высоты полета в интервале высот от минус 900 до плюс 50000 м
Приложение 1 Основные положения и расчетные формулы
Утверждён:15.03.1974 Госстандарт СССР (USSR Gosstandart 595)
Издан: Издательство стандартов (1974 г. )
Расположен в:Техническая документация Электроэнергия АВИАЦИОННАЯ И КОСМИЧЕСКАЯ ТЕХНИКА Авиационные и космические аппараты в целом МАТЕМАТИКА. ЕСТЕСТВЕННЫЕ НАУКИ Физика. Химия Экология АВИАЦИОННАЯ И КОСМИЧЕСКАЯ ТЕХНИКА Авиационные и космические аппараты в целом МАТЕМАТИКА. ЕСТЕСТВЕННЫЕ НАУКИ Физика. Химия
Список изменений:
Заменяет собой:
  • ГОСТ 5212-50 «Таблица аэродинамическая. Динамические давления при скоростях воздушного потока до 3000 км/час»
ГОСТ 5212-74ГОСТ 5212-74ГОСТ 5212-74ГОСТ 5212-74ГОСТ 5212-74ГОСТ 5212-74ГОСТ 5212-74ГОСТ 5212-74ГОСТ 5212-74ГОСТ 5212-74ГОСТ 5212-74ГОСТ 5212-74ГОСТ 5212-74ГОСТ 5212-74ГОСТ 5212-74ГОСТ 5212-74ГОСТ 5212-74ГОСТ 5212-74ГОСТ 5212-74ГОСТ 5212-74ГОСТ 5212-74ГОСТ 5212-74ГОСТ 5212-74ГОСТ 5212-74ГОСТ 5212-74ГОСТ 5212-74ГОСТ 5212-74ГОСТ 5212-74ГОСТ 5212-74ГОСТ 5212-74ГОСТ 5212-74ГОСТ 5212-74ГОСТ 5212-74ГОСТ 5212-74ГОСТ 5212-74ГОСТ 5212-74ГОСТ 5212-74ГОСТ 5212-74ГОСТ 5212-74ГОСТ 5212-74ГОСТ 5212-74ГОСТ 5212-74ГОСТ 5212-74ГОСТ 5212-74ГОСТ 5212-74ГОСТ 5212-74ГОСТ 5212-74ГОСТ 5212-74ГОСТ 5212-74ГОСТ 5212-74ГОСТ 5212-74ГОСТ 5212-74ГОСТ 5212-74ГОСТ 5212-74ГОСТ 5212-74ГОСТ 5212-74ГОСТ 5212-74ГОСТ 5212-74ГОСТ 5212-74ГОСТ 5212-74ГОСТ 5212-74ГОСТ 5212-74ГОСТ 5212-74ГОСТ 5212-74ГОСТ 5212-74ГОСТ 5212-74ГОСТ 5212-74ГОСТ 5212-74ГОСТ 5212-74ГОСТ 5212-74ГОСТ 5212-74ГОСТ 5212-74ГОСТ 5212-74ГОСТ 5212-74ГОСТ 5212-74ГОСТ 5212-74ГОСТ 5212-74ГОСТ 5212-74ГОСТ 5212-74ГОСТ 5212-74ГОСТ 5212-74ГОСТ 5212-74ГОСТ 5212-74ГОСТ 5212-74ГОСТ 5212-74ГОСТ 5212-74ГОСТ 5212-74ГОСТ 5212-74ГОСТ 5212-74ГОСТ 5212-74ГОСТ 5212-74ГОСТ 5212-74ГОСТ 5212-74ГОСТ 5212-74ГОСТ 5212-74ГОСТ 5212-74ГОСТ 5212-74ГОСТ 5212-74ГОСТ 5212-74ГОСТ 5212-74ГОСТ 5212-74ГОСТ 5212-74ГОСТ 5212-74ГОСТ 5212-74ГОСТ 5212-74ГОСТ 5212-74ГОСТ 5212-74ГОСТ 5212-74ГОСТ 5212-74ГОСТ 5212-74ГОСТ 5212-74ГОСТ 5212-74ГОСТ 5212-74ГОСТ 5212-74ГОСТ 5212-74ГОСТ 5212-74ГОСТ 5212-74ГОСТ 5212-74ГОСТ 5212-74ГОСТ 5212-74ГОСТ 5212-74ГОСТ 5212-74ГОСТ 5212-74ГОСТ 5212-74ГОСТ 5212-74ГОСТ 5212-74ГОСТ 5212-74ГОСТ 5212-74ГОСТ 5212-74ГОСТ 5212-74ГОСТ 5212-74ГОСТ 5212-74ГОСТ 5212-74ГОСТ 5212-74ГОСТ 5212-74ГОСТ 5212-74ГОСТ 5212-74ГОСТ 5212-74ГОСТ 5212-74ГОСТ 5212-74ГОСТ 5212-74ГОСТ 5212-74ГОСТ 5212-74ГОСТ 5212-74ГОСТ 5212-74ГОСТ 5212-74ГОСТ 5212-74ГОСТ 5212-74ГОСТ 5212-74ГОСТ 5212-74ГОСТ 5212-74ГОСТ 5212-74ГОСТ 5212-74ГОСТ 5212-74ГОСТ 5212-74ГОСТ 5212-74ГОСТ 5212-74ГОСТ 5212-74ГОСТ 5212-74ГОСТ 5212-74ГОСТ 5212-74ГОСТ 5212-74ГОСТ 5212-74ГОСТ 5212-74ГОСТ 5212-74ГОСТ 5212-74ГОСТ 5212-74ГОСТ 5212-74ГОСТ 5212-74ГОСТ 5212-74ГОСТ 5212-74ГОСТ 5212-74ГОСТ 5212-74ГОСТ 5212-74ГОСТ 5212-74ГОСТ 5212-74ГОСТ 5212-74ГОСТ 5212-74ГОСТ 5212-74ГОСТ 5212-74ГОСТ 5212-74ГОСТ 5212-74ГОСТ 5212-74ГОСТ 5212-74ГОСТ 5212-74ГОСТ 5212-74ГОСТ 5212-74ГОСТ 5212-74ГОСТ 5212-74ГОСТ 5212-74ГОСТ 5212-74ГОСТ 5212-74ГОСТ 5212-74ГОСТ 5212-74ГОСТ 5212-74ГОСТ 5212-74ГОСТ 5212-74ГОСТ 5212-74ГОСТ 5212-74ГОСТ 5212-74ГОСТ 5212-74ГОСТ 5212-74ГОСТ 5212-74ГОСТ 5212-74ГОСТ 5212-74ГОСТ 5212-74ГОСТ 5212-74ГОСТ 5212-74ГОСТ 5212-74ГОСТ 5212-74ГОСТ 5212-74ГОСТ 5212-74ГОСТ 5212-74ГОСТ 5212-74ГОСТ 5212-74ГОСТ 5212-74ГОСТ 5212-74ГОСТ 5212-74ГОСТ 5212-74ГОСТ 5212-74ГОСТ 5212-74ГОСТ 5212-74ГОСТ 5212-74ГОСТ 5212-74ГОСТ 5212-74ГОСТ 5212-74ГОСТ 5212-74ГОСТ 5212-74ГОСТ 5212-74ГОСТ 5212-74ГОСТ 5212-74ГОСТ 5212-74ГОСТ 5212-74ГОСТ 5212-74ГОСТ 5212-74ГОСТ 5212-74ГОСТ 5212-74ГОСТ 5212-74ГОСТ 5212-74ГОСТ 5212-74ГОСТ 5212-74ГОСТ 5212-74ГОСТ 5212-74ГОСТ 5212-74ГОСТ 5212-74ГОСТ 5212-74ГОСТ 5212-74

Текстовое изменение Поправка

ПоправкаПоправкаПоправка

© 2013 Ёшкин Кот :-) Карта сайта