Информационная система
«Ёшкин Кот»

Скачать базу одним архивом
Скачать обновления
История создания базы
Карта сайта

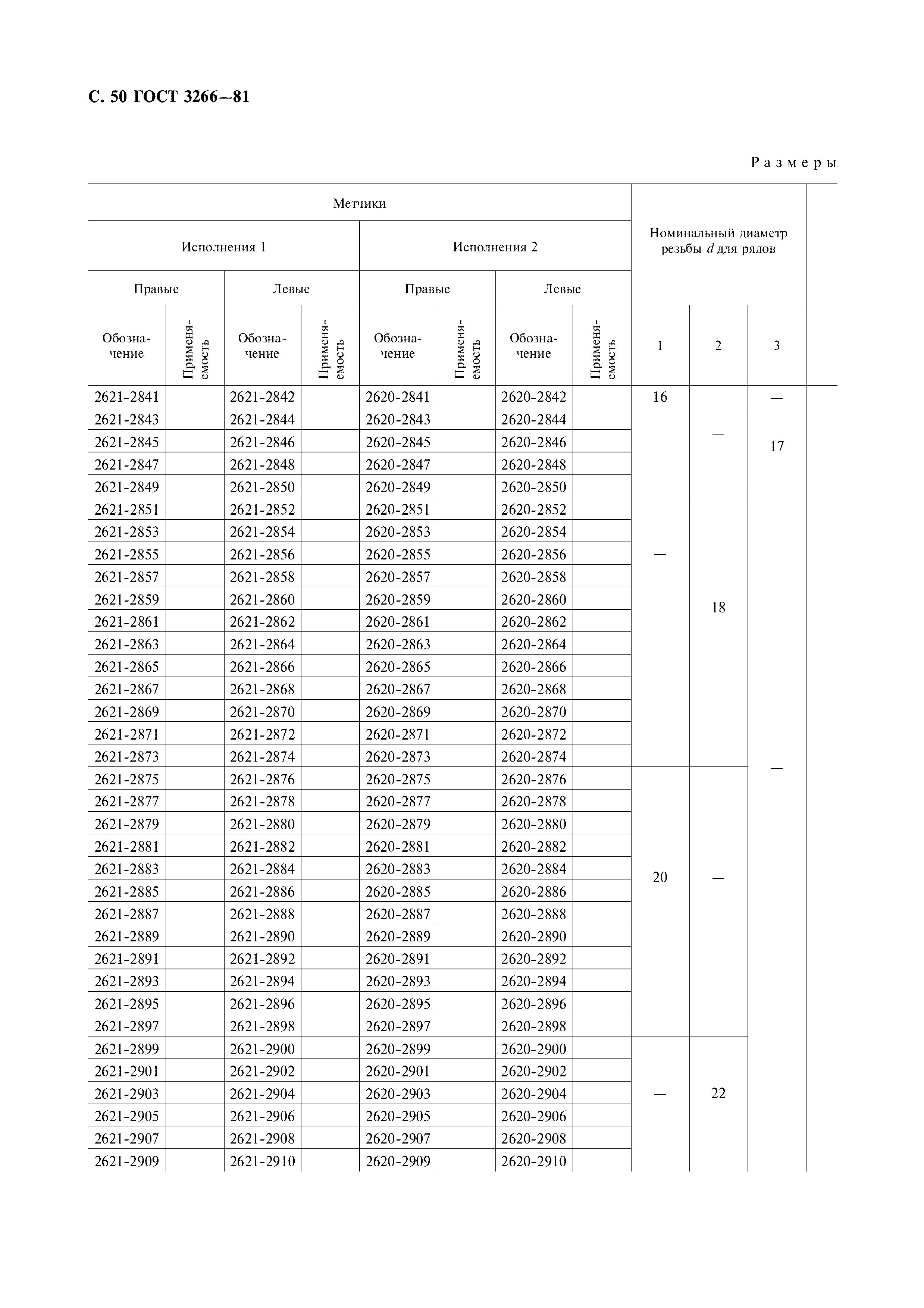
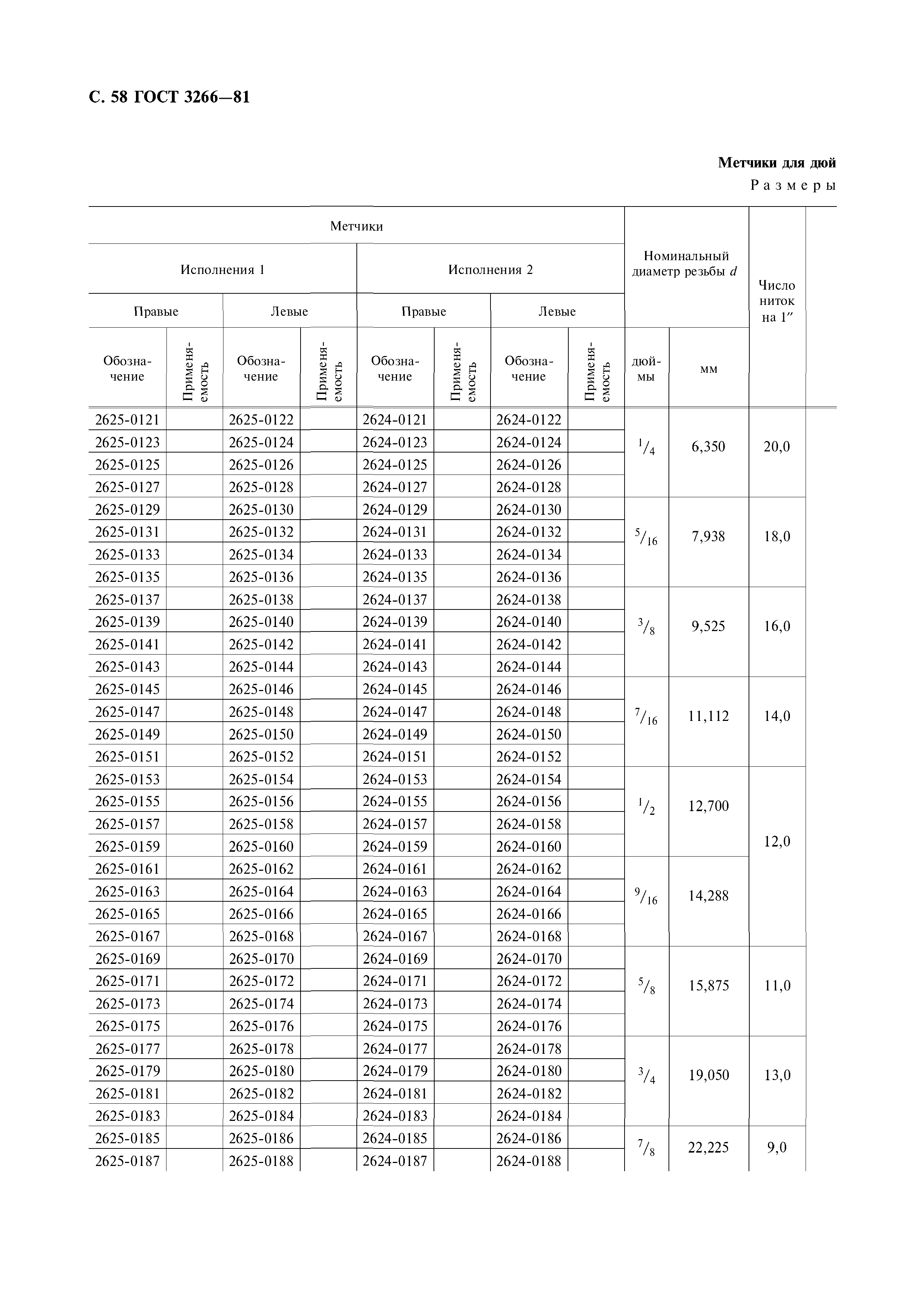
Скачать ГОСТ 3266-81 Метчики машинные и ручные. Конструкция и размеры

Дата актуализации: 10.08.2017

ГОСТ 3266-81

Метчики машинные и ручные. Конструкция и размеры

Обозначение: ГОСТ 3266-81
Обозначение англ: GOST 3266-81
Статус:взамен
Название рус.:Метчики машинные и ручные. Конструкция и размеры
Название англ.:Machine and hand taps. Design and dimensions
Дата добавления в базу:01.09.2013
Дата актуализации:05.05.2017
Дата введения:01.07.1982
Область применения:Стандарт распространяется на машинные и ручные метчики для нарезания метрической резьбы по ГОСТ 24705-81, трубной резьбы по ГОСТ 6357-81 и дюймовой резьбы по ОСТ НКТП 1260.
Оглавление:Приложение 1 (рекомендуемое) Профили стружечных канавок метчиков
Приложение 2 (справочное) Значения передних углов машинно-ручных метчиков в зависимости от обрабатываемых материалов
Утверждён:29.01.1981 Государственный комитет СССР по стандартам (USSR National Committee on Standards 328)
Издан: Издательство стандартов (1981 г. )
ИПК Издательство стандартов (2003 г. )
Расположен в:Техническая документация Электроэнергия МАШИНОСТРОЕНИЕ Режущие инструменты Метчики, резьбонарезные плашки Экология МАШИНОСТРОЕНИЕ Режущие инструменты Метчики, резьбонарезные плашки
Заменяет собой:
  • ГОСТ 3266-71 «Метчики машинно-ручные. Конструкция и размеры»
ГОСТ 3266-81ГОСТ 3266-81ГОСТ 3266-81ГОСТ 3266-81ГОСТ 3266-81ГОСТ 3266-81ГОСТ 3266-81ГОСТ 3266-81ГОСТ 3266-81ГОСТ 3266-81ГОСТ 3266-81ГОСТ 3266-81ГОСТ 3266-81ГОСТ 3266-81ГОСТ 3266-81ГОСТ 3266-81ГОСТ 3266-81ГОСТ 3266-81ГОСТ 3266-81ГОСТ 3266-81ГОСТ 3266-81ГОСТ 3266-81ГОСТ 3266-81ГОСТ 3266-81ГОСТ 3266-81ГОСТ 3266-81ГОСТ 3266-81ГОСТ 3266-81ГОСТ 3266-81ГОСТ 3266-81ГОСТ 3266-81ГОСТ 3266-81ГОСТ 3266-81ГОСТ 3266-81ГОСТ 3266-81ГОСТ 3266-81ГОСТ 3266-81ГОСТ 3266-81ГОСТ 3266-81ГОСТ 3266-81ГОСТ 3266-81ГОСТ 3266-81ГОСТ 3266-81ГОСТ 3266-81ГОСТ 3266-81ГОСТ 3266-81ГОСТ 3266-81ГОСТ 3266-81ГОСТ 3266-81ГОСТ 3266-81ГОСТ 3266-81ГОСТ 3266-81ГОСТ 3266-81ГОСТ 3266-81ГОСТ 3266-81ГОСТ 3266-81ГОСТ 3266-81ГОСТ 3266-81ГОСТ 3266-81ГОСТ 3266-81ГОСТ 3266-81ГОСТ 3266-81ГОСТ 3266-81ГОСТ 3266-81ГОСТ 3266-81ГОСТ 3266-81ГОСТ 3266-81ГОСТ 3266-81ГОСТ 3266-81ГОСТ 3266-81ГОСТ 3266-81ГОСТ 3266-81ГОСТ 3266-81ГОСТ 3266-81

© 2013 Ёшкин Кот :-) Карта сайта