Информационная система
«Ёшкин Кот»

Скачать базу одним архивом
Скачать обновления
История создания базы
Карта сайта

Скачать ГОСТ 28639-90 Терморезисторы косвенного подогрева с отрицательным температурным коэффициентом сопротивления. Форма технических условий. Уровень качества Е

Дата актуализации: 10.08.2017

ГОСТ 28639-90

Терморезисторы косвенного подогрева с отрицательным температурным коэффициентом сопротивления. Форма технических условий. Уровень качества Е

Обозначение: ГОСТ 28639-90
Обозначение англ: GOST 28639-90
Статус:действует
Название рус.:Терморезисторы косвенного подогрева с отрицательным температурным коэффициентом сопротивления. Форма технических условий. Уровень качества Е
Название англ.:Indirectly heated thermistors with negative temperature coefficient resistance. Blank detail specification. Assessment level E
Дата добавления в базу:01.09.2013
Дата актуализации:05.05.2017
Дата введения:01.07.1992
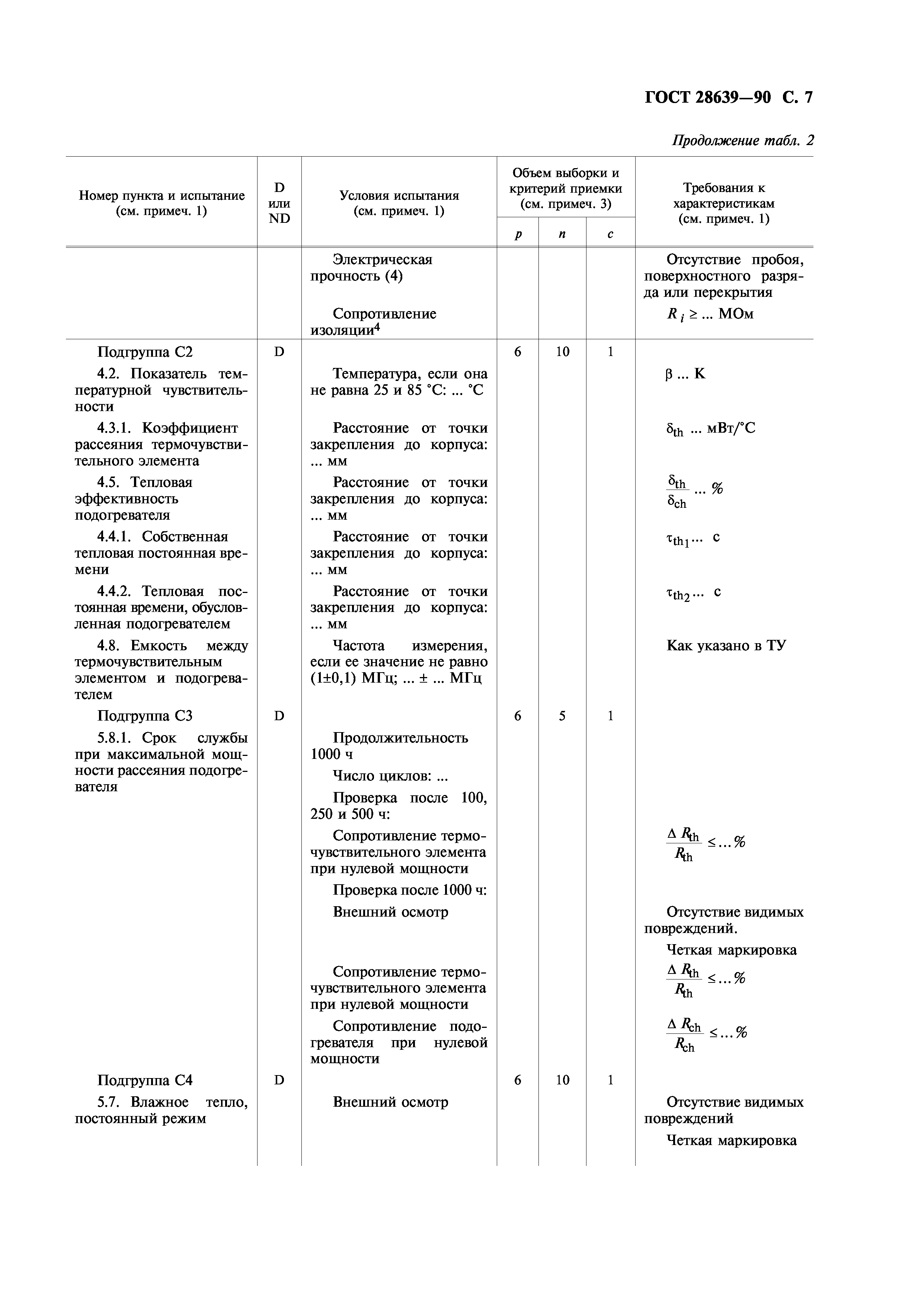
Оглавление:1 Общие данные
2 Требования к контролю
Утверждён:07.08.1990 Госстандарт СССР (USSR Gosstandart 2372)
Издан: Издательство стандартов (1990 г. )
Стандартинформ (2005 г. )
Расположен в:Техническая документация Электроэнергия ЭЛЕКТРОНИКА Резисторы Термисторы Экология ЭЛЕКТРОНИКА Резисторы Термисторы
ГОСТ 28639-90ГОСТ 28639-90ГОСТ 28639-90ГОСТ 28639-90ГОСТ 28639-90ГОСТ 28639-90ГОСТ 28639-90ГОСТ 28639-90ГОСТ 28639-90ГОСТ 28639-90ГОСТ 28639-90

© 2013 Ёшкин Кот :-) Карта сайта