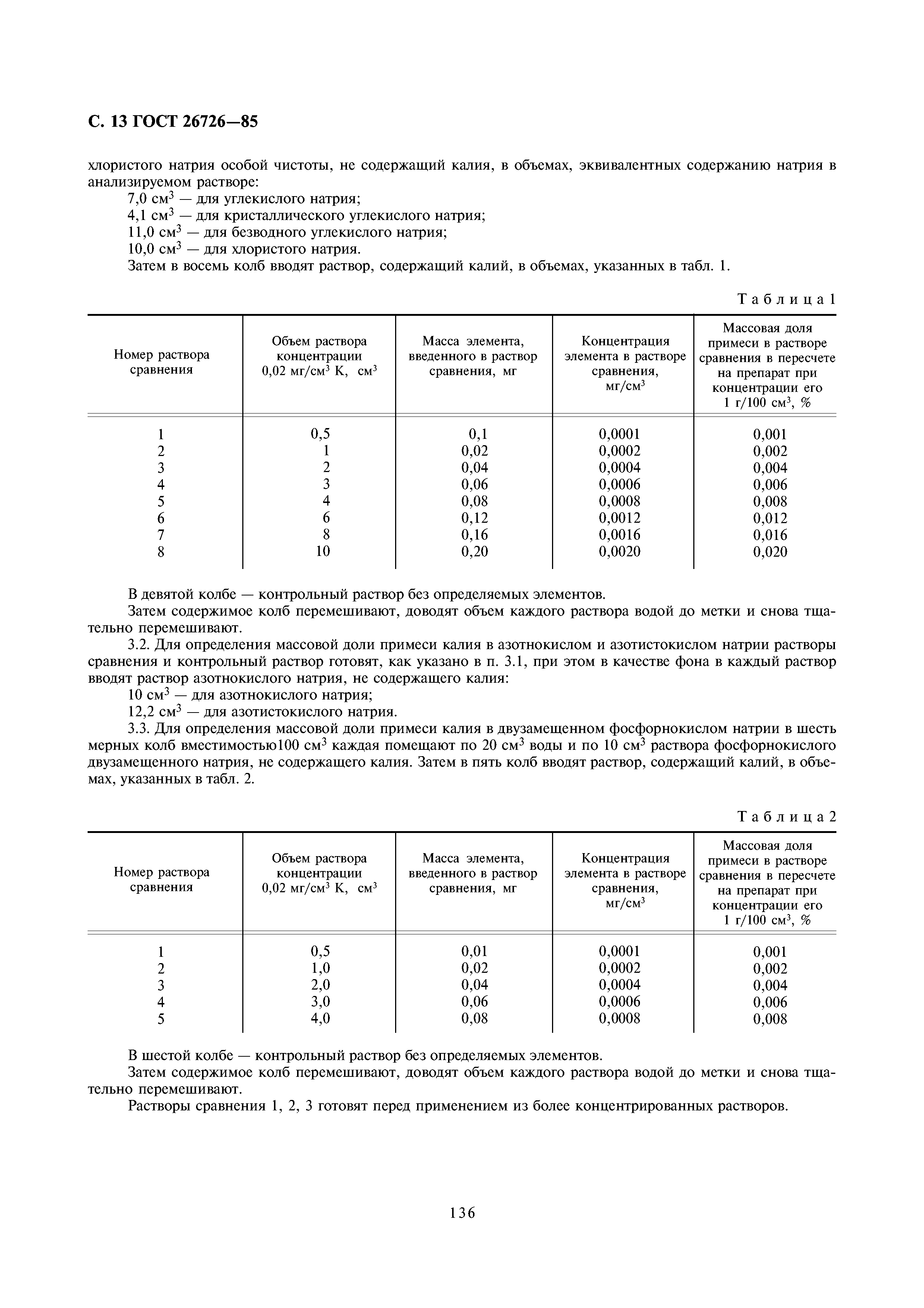
| ||||||||||||||||||||||||||||||||||||
Скачать ГОСТ 26726-85 Реактивы. Пламенно-фотометрический метод определения примесей натрия,калия, кальция и стронцияДата актуализации: 10.08.2017
|
| Обозначение: | ГОСТ 26726-85 |
| Обозначение англ: | GOST 26726-85 |
| Статус: | действует |
| Название рус.: | Реактивы. Пламенно-фотометрический метод определения примесей натрия,калия, кальция и стронция |
| Название англ.: | Reagents. Flame-photometric method for the determination of sodium, potassium, calcium and strontium as impurities |
| Дата добавления в базу: | 01.09.2013 |
| Дата актуализации: | 05.05.2017 |
| Дата введения: | 01.01.1987 |
| Область применения: | Стандарт распространяется на химические реактивы и устанавливает пламенно-фотометрический метод определения массовой доли примесей натрия, калия, кальция и стронция с применением ограничивающих растворов и по градуировочному графику. |
| Оглавление: | 1 Общие указания 2 Аппаратура, реактивы, растворы 3 Подготовка к анализу 4 Проведение анализа 5 Обработка результатов Приложение 1 Приложение 2 Приложение 3 Приложение 4 Приложение 5 Приложение 6 |
| Разработан: | Министерство химической промышленности |
| Утверждён: | 19.12.1985 Госстандарт СССР (USSR Gosstandart 4262) |
| Издан: | Издательство стандартов (1986 г. ) ИПК Издательство стандартов (2003 г. ) |
| Расположен в: | |
| Заменяет собой: |
|
| Нормативные ссылки: |












