| ||||||||||||||||||||||||||||||
Скачать ГОСТ 19106-73 Вставки из твердых металлокерамических сплавов для разделительных и гибочных штампов (заготовки)Дата актуализации: 10.08.2017
|
| Обозначение: | ГОСТ 19106-73 |
| Обозначение англ: | GOST 19106-73 |
| Статус: | действует |
| Название рус.: | Вставки из твердых металлокерамических сплавов для разделительных и гибочных штампов (заготовки) |
| Название англ.: | Insertions of sintered hard alloys for cutting and bending dies (blanks) |
| Дата добавления в базу: | 01.09.2013 |
| Дата актуализации: | 05.05.2017 |
| Дата введения: | 01.07.1974 |
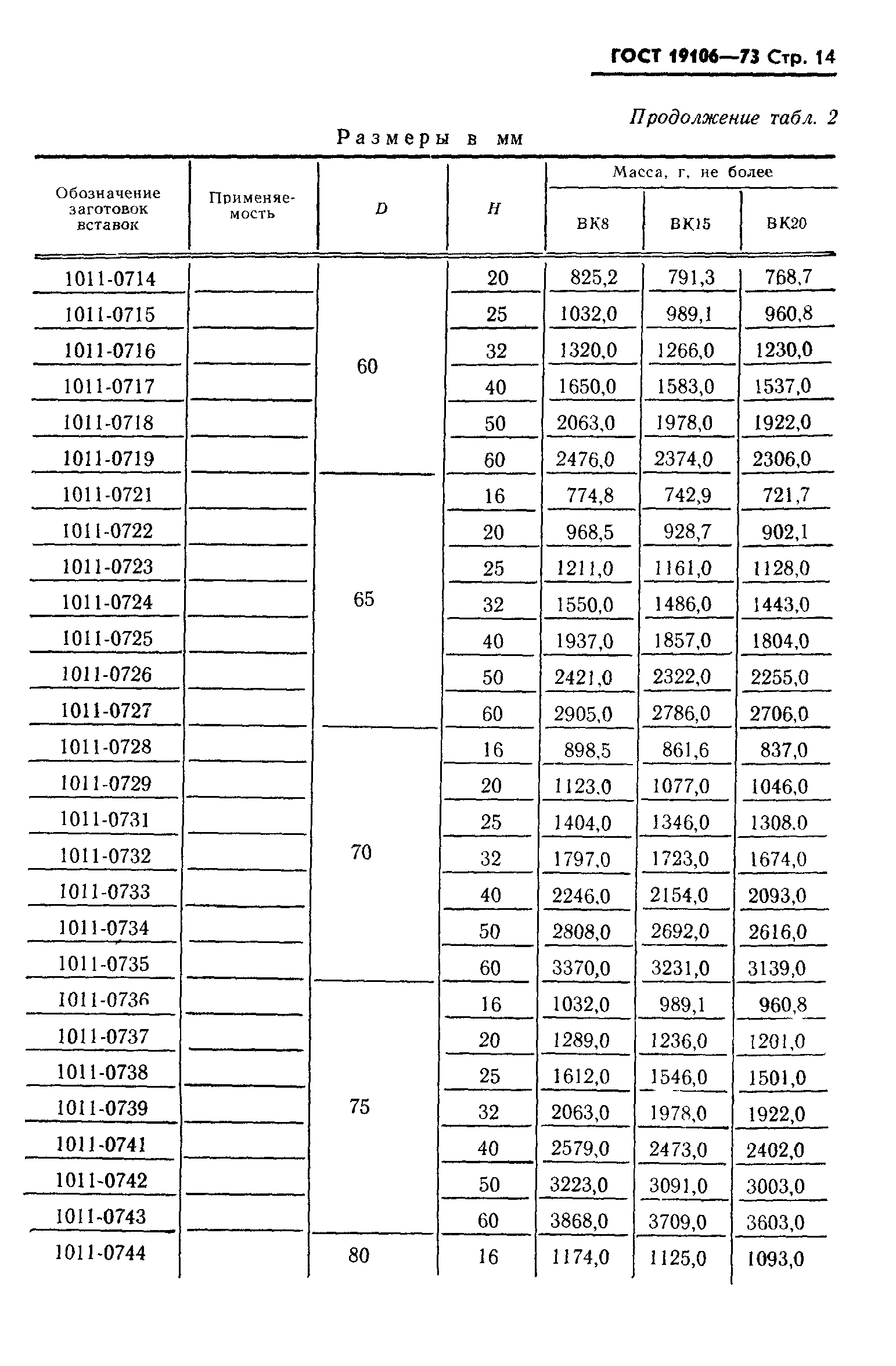
| Оглавление: | 1 Форма и размеры 2 Технические требования 3 Правила приемки 4 Методы испытаний 5 Маркировка, упаковка, транспортирование и хранение |
| Утверждён: | 16.08.1973 Госстандарт СССР (USSR Gosstandart 2003) |
| Издан: | Издательство стандартов (1985 г. ) |
| Расположен в: | |
| Нормативные ссылки: |



























