Информационная система
«Ёшкин Кот»

Скачать базу одним архивом
Скачать обновления
История создания базы
Карта сайта

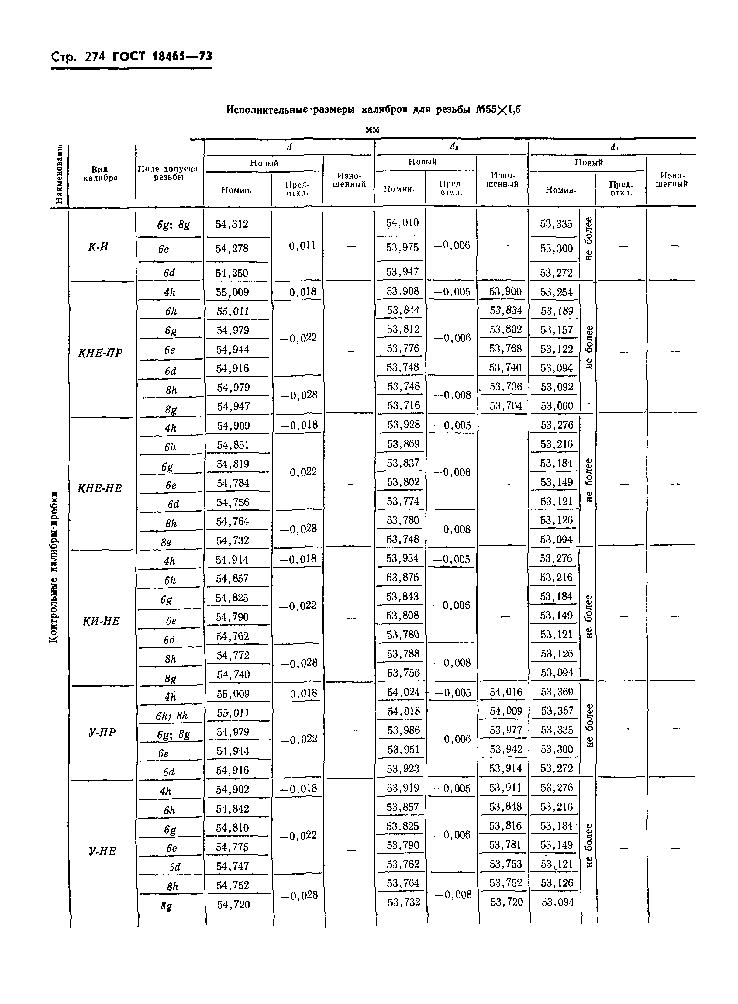
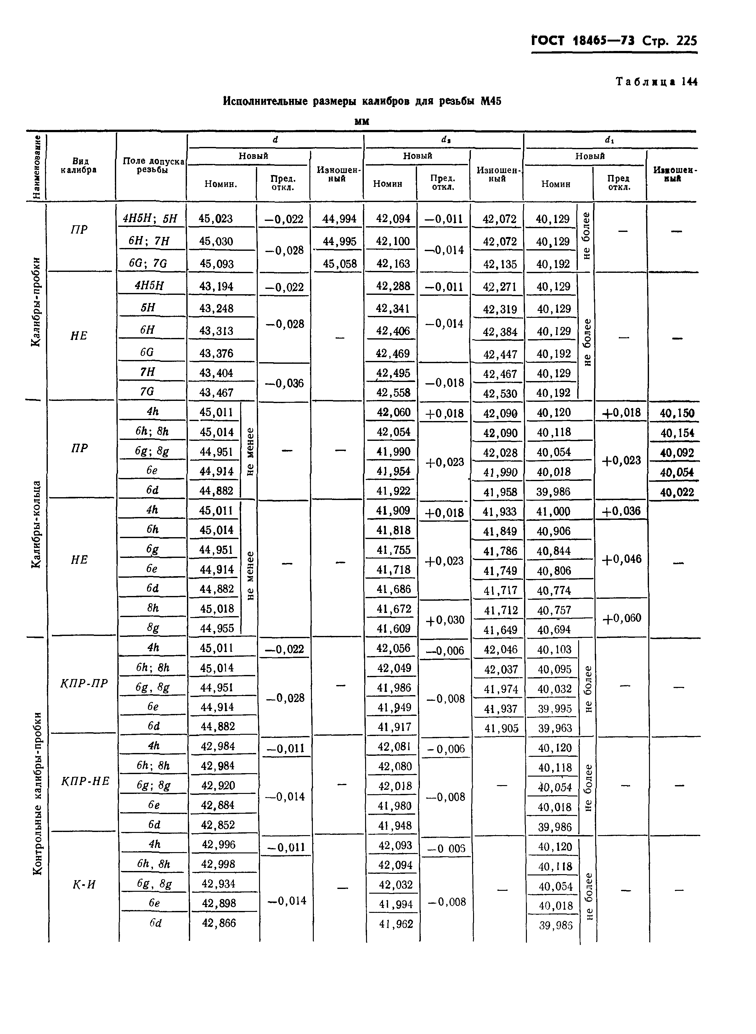
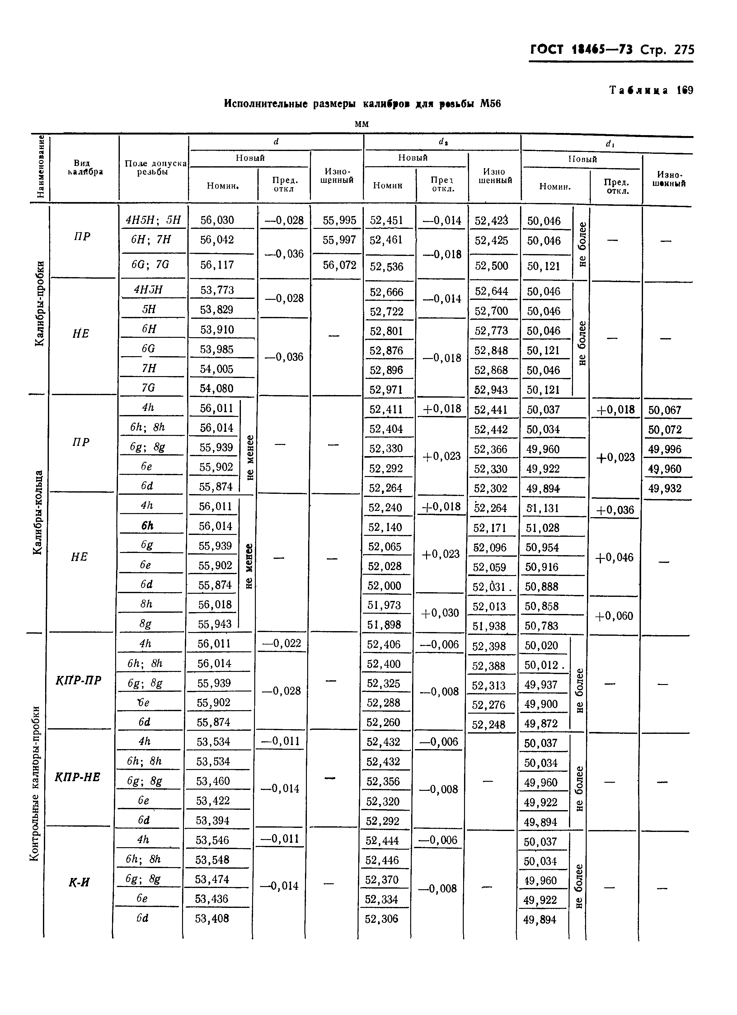
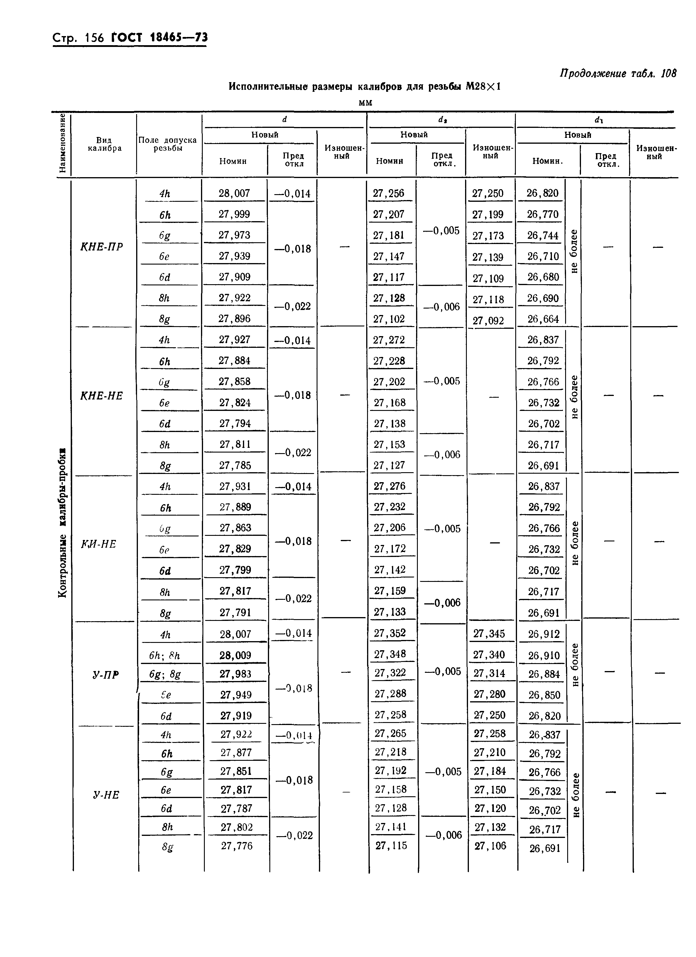
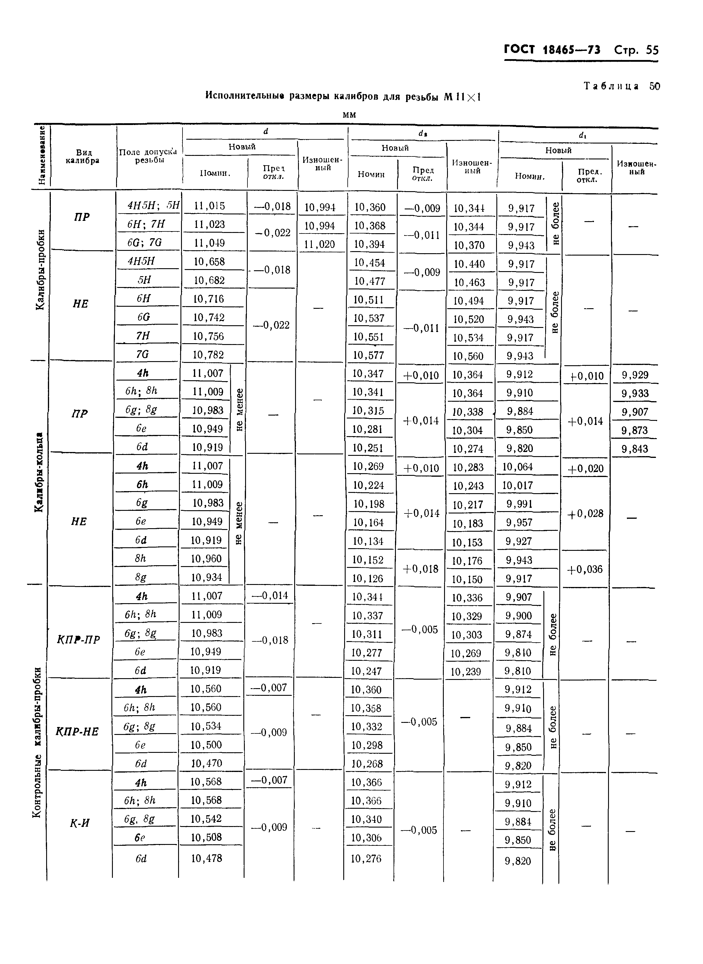
Скачать ГОСТ 18465-73 Калибры для метрической резьбы от 1 до 68 мм. Исполнительные размеры

Дата актуализации: 10.08.2017

ГОСТ 18465-73

Калибры для метрической резьбы от 1 до 68 мм. Исполнительные размеры

Обозначение: ГОСТ 18465-73
Обозначение англ: GOST 18465-73
Статус:действует
Название рус.:Калибры для метрической резьбы от 1 до 68 мм. Исполнительные размеры
Название англ.:Gauges for metric thread from 1 to 68 mm. Required dimensions
Дата добавления в базу:01.09.2013
Дата актуализации:05.05.2017
Дата введения:01.07.1973
Оглавление:Приложение Исполнительные размеры калибров для резьбы с полями допусков 4g и 6f
Утверждён:27.02.1973 Госстандарт СССР (USSR Gosstandart 469)
Расположен в:Техническая документация Электроэнергия МЕТРОЛОГИЯ И ИЗМЕРЕНИЯ. ФИЗИЧЕСКИЕ ЯВЛЕНИЯ Линейные и угловые измерения Измерительные приборы Экология МЕТРОЛОГИЯ И ИЗМЕРЕНИЯ. ФИЗИЧЕСКИЕ ЯВЛЕНИЯ Линейные и угловые измерения Измерительные приборы
Заменяет собой:
  • МН 3915-62 (Сведения из перечня "Указатель государственных стандартов СССР 1980 г.", Издательство стандартов 1980)
  • МН 5356-64 (Сведения из перечня "Указатель государственных стандартов СССР 1980 г.", Издательство стандартов 1980)
ГОСТ 18465-73ГОСТ 18465-73ГОСТ 18465-73ГОСТ 18465-73ГОСТ 18465-73ГОСТ 18465-73ГОСТ 18465-73ГОСТ 18465-73ГОСТ 18465-73ГОСТ 18465-73ГОСТ 18465-73ГОСТ 18465-73ГОСТ 18465-73ГОСТ 18465-73ГОСТ 18465-73ГОСТ 18465-73ГОСТ 18465-73ГОСТ 18465-73ГОСТ 18465-73ГОСТ 18465-73ГОСТ 18465-73ГОСТ 18465-73ГОСТ 18465-73ГОСТ 18465-73ГОСТ 18465-73ГОСТ 18465-73ГОСТ 18465-73ГОСТ 18465-73ГОСТ 18465-73ГОСТ 18465-73ГОСТ 18465-73ГОСТ 18465-73ГОСТ 18465-73ГОСТ 18465-73ГОСТ 18465-73ГОСТ 18465-73ГОСТ 18465-73ГОСТ 18465-73ГОСТ 18465-73ГОСТ 18465-73ГОСТ 18465-73ГОСТ 18465-73ГОСТ 18465-73ГОСТ 18465-73ГОСТ 18465-73ГОСТ 18465-73ГОСТ 18465-73ГОСТ 18465-73ГОСТ 18465-73ГОСТ 18465-73ГОСТ 18465-73ГОСТ 18465-73ГОСТ 18465-73ГОСТ 18465-73ГОСТ 18465-73ГОСТ 18465-73ГОСТ 18465-73ГОСТ 18465-73ГОСТ 18465-73ГОСТ 18465-73ГОСТ 18465-73ГОСТ 18465-73ГОСТ 18465-73ГОСТ 18465-73ГОСТ 18465-73ГОСТ 18465-73ГОСТ 18465-73ГОСТ 18465-73ГОСТ 18465-73ГОСТ 18465-73ГОСТ 18465-73ГОСТ 18465-73ГОСТ 18465-73ГОСТ 18465-73ГОСТ 18465-73ГОСТ 18465-73ГОСТ 18465-73ГОСТ 18465-73ГОСТ 18465-73ГОСТ 18465-73ГОСТ 18465-73ГОСТ 18465-73ГОСТ 18465-73ГОСТ 18465-73ГОСТ 18465-73ГОСТ 18465-73ГОСТ 18465-73ГОСТ 18465-73ГОСТ 18465-73ГОСТ 18465-73ГОСТ 18465-73ГОСТ 18465-73ГОСТ 18465-73ГОСТ 18465-73ГОСТ 18465-73ГОСТ 18465-73ГОСТ 18465-73ГОСТ 18465-73ГОСТ 18465-73ГОСТ 18465-73ГОСТ 18465-73ГОСТ 18465-73ГОСТ 18465-73ГОСТ 18465-73ГОСТ 18465-73ГОСТ 18465-73ГОСТ 18465-73ГОСТ 18465-73ГОСТ 18465-73ГОСТ 18465-73ГОСТ 18465-73ГОСТ 18465-73ГОСТ 18465-73ГОСТ 18465-73ГОСТ 18465-73ГОСТ 18465-73ГОСТ 18465-73ГОСТ 18465-73ГОСТ 18465-73ГОСТ 18465-73ГОСТ 18465-73ГОСТ 18465-73ГОСТ 18465-73ГОСТ 18465-73ГОСТ 18465-73ГОСТ 18465-73ГОСТ 18465-73ГОСТ 18465-73ГОСТ 18465-73ГОСТ 18465-73ГОСТ 18465-73ГОСТ 18465-73ГОСТ 18465-73ГОСТ 18465-73ГОСТ 18465-73ГОСТ 18465-73ГОСТ 18465-73ГОСТ 18465-73ГОСТ 18465-73ГОСТ 18465-73ГОСТ 18465-73ГОСТ 18465-73ГОСТ 18465-73ГОСТ 18465-73ГОСТ 18465-73ГОСТ 18465-73ГОСТ 18465-73ГОСТ 18465-73ГОСТ 18465-73ГОСТ 18465-73ГОСТ 18465-73ГОСТ 18465-73ГОСТ 18465-73ГОСТ 18465-73ГОСТ 18465-73ГОСТ 18465-73ГОСТ 18465-73ГОСТ 18465-73ГОСТ 18465-73ГОСТ 18465-73ГОСТ 18465-73ГОСТ 18465-73ГОСТ 18465-73ГОСТ 18465-73ГОСТ 18465-73ГОСТ 18465-73ГОСТ 18465-73ГОСТ 18465-73ГОСТ 18465-73ГОСТ 18465-73ГОСТ 18465-73ГОСТ 18465-73ГОСТ 18465-73ГОСТ 18465-73ГОСТ 18465-73ГОСТ 18465-73ГОСТ 18465-73ГОСТ 18465-73ГОСТ 18465-73ГОСТ 18465-73ГОСТ 18465-73ГОСТ 18465-73ГОСТ 18465-73ГОСТ 18465-73ГОСТ 18465-73ГОСТ 18465-73ГОСТ 18465-73ГОСТ 18465-73ГОСТ 18465-73ГОСТ 18465-73ГОСТ 18465-73ГОСТ 18465-73ГОСТ 18465-73ГОСТ 18465-73ГОСТ 18465-73ГОСТ 18465-73ГОСТ 18465-73ГОСТ 18465-73ГОСТ 18465-73ГОСТ 18465-73ГОСТ 18465-73ГОСТ 18465-73ГОСТ 18465-73ГОСТ 18465-73ГОСТ 18465-73ГОСТ 18465-73ГОСТ 18465-73ГОСТ 18465-73ГОСТ 18465-73ГОСТ 18465-73ГОСТ 18465-73ГОСТ 18465-73ГОСТ 18465-73ГОСТ 18465-73ГОСТ 18465-73ГОСТ 18465-73ГОСТ 18465-73ГОСТ 18465-73ГОСТ 18465-73ГОСТ 18465-73ГОСТ 18465-73ГОСТ 18465-73ГОСТ 18465-73ГОСТ 18465-73ГОСТ 18465-73ГОСТ 18465-73ГОСТ 18465-73ГОСТ 18465-73ГОСТ 18465-73ГОСТ 18465-73ГОСТ 18465-73ГОСТ 18465-73ГОСТ 18465-73ГОСТ 18465-73ГОСТ 18465-73ГОСТ 18465-73ГОСТ 18465-73ГОСТ 18465-73ГОСТ 18465-73ГОСТ 18465-73ГОСТ 18465-73ГОСТ 18465-73ГОСТ 18465-73ГОСТ 18465-73ГОСТ 18465-73ГОСТ 18465-73ГОСТ 18465-73ГОСТ 18465-73ГОСТ 18465-73ГОСТ 18465-73ГОСТ 18465-73ГОСТ 18465-73ГОСТ 18465-73ГОСТ 18465-73ГОСТ 18465-73ГОСТ 18465-73ГОСТ 18465-73ГОСТ 18465-73ГОСТ 18465-73ГОСТ 18465-73ГОСТ 18465-73ГОСТ 18465-73ГОСТ 18465-73ГОСТ 18465-73ГОСТ 18465-73ГОСТ 18465-73ГОСТ 18465-73ГОСТ 18465-73ГОСТ 18465-73ГОСТ 18465-73ГОСТ 18465-73ГОСТ 18465-73ГОСТ 18465-73ГОСТ 18465-73ГОСТ 18465-73ГОСТ 18465-73ГОСТ 18465-73ГОСТ 18465-73ГОСТ 18465-73ГОСТ 18465-73ГОСТ 18465-73ГОСТ 18465-73ГОСТ 18465-73ГОСТ 18465-73ГОСТ 18465-73ГОСТ 18465-73ГОСТ 18465-73ГОСТ 18465-73ГОСТ 18465-73ГОСТ 18465-73ГОСТ 18465-73ГОСТ 18465-73ГОСТ 18465-73ГОСТ 18465-73ГОСТ 18465-73ГОСТ 18465-73ГОСТ 18465-73ГОСТ 18465-73ГОСТ 18465-73ГОСТ 18465-73ГОСТ 18465-73ГОСТ 18465-73ГОСТ 18465-73ГОСТ 18465-73ГОСТ 18465-73ГОСТ 18465-73ГОСТ 18465-73ГОСТ 18465-73ГОСТ 18465-73ГОСТ 18465-73ГОСТ 18465-73ГОСТ 18465-73ГОСТ 18465-73ГОСТ 18465-73ГОСТ 18465-73ГОСТ 18465-73ГОСТ 18465-73ГОСТ 18465-73ГОСТ 18465-73ГОСТ 18465-73ГОСТ 18465-73ГОСТ 18465-73ГОСТ 18465-73ГОСТ 18465-73ГОСТ 18465-73ГОСТ 18465-73ГОСТ 18465-73ГОСТ 18465-73ГОСТ 18465-73ГОСТ 18465-73ГОСТ 18465-73ГОСТ 18465-73ГОСТ 18465-73ГОСТ 18465-73ГОСТ 18465-73ГОСТ 18465-73ГОСТ 18465-73ГОСТ 18465-73ГОСТ 18465-73ГОСТ 18465-73ГОСТ 18465-73ГОСТ 18465-73ГОСТ 18465-73ГОСТ 18465-73ГОСТ 18465-73ГОСТ 18465-73ГОСТ 18465-73ГОСТ 18465-73ГОСТ 18465-73ГОСТ 18465-73ГОСТ 18465-73ГОСТ 18465-73ГОСТ 18465-73ГОСТ 18465-73ГОСТ 18465-73ГОСТ 18465-73ГОСТ 18465-73ГОСТ 18465-73ГОСТ 18465-73ГОСТ 18465-73ГОСТ 18465-73ГОСТ 18465-73ГОСТ 18465-73ГОСТ 18465-73ГОСТ 18465-73ГОСТ 18465-73ГОСТ 18465-73ГОСТ 18465-73ГОСТ 18465-73ГОСТ 18465-73ГОСТ 18465-73ГОСТ 18465-73ГОСТ 18465-73ГОСТ 18465-73ГОСТ 18465-73ГОСТ 18465-73ГОСТ 18465-73ГОСТ 18465-73ГОСТ 18465-73ГОСТ 18465-73ГОСТ 18465-73ГОСТ 18465-73ГОСТ 18465-73ГОСТ 18465-73ГОСТ 18465-73ГОСТ 18465-73ГОСТ 18465-73ГОСТ 18465-73ГОСТ 18465-73ГОСТ 18465-73ГОСТ 18465-73ГОСТ 18465-73ГОСТ 18465-73ГОСТ 18465-73ГОСТ 18465-73ГОСТ 18465-73ГОСТ 18465-73ГОСТ 18465-73ГОСТ 18465-73ГОСТ 18465-73ГОСТ 18465-73ГОСТ 18465-73ГОСТ 18465-73ГОСТ 18465-73ГОСТ 18465-73ГОСТ 18465-73ГОСТ 18465-73ГОСТ 18465-73ГОСТ 18465-73ГОСТ 18465-73ГОСТ 18465-73ГОСТ 18465-73ГОСТ 18465-73ГОСТ 18465-73ГОСТ 18465-73ГОСТ 18465-73ГОСТ 18465-73ГОСТ 18465-73ГОСТ 18465-73ГОСТ 18465-73ГОСТ 18465-73ГОСТ 18465-73ГОСТ 18465-73ГОСТ 18465-73ГОСТ 18465-73ГОСТ 18465-73ГОСТ 18465-73ГОСТ 18465-73ГОСТ 18465-73ГОСТ 18465-73ГОСТ 18465-73ГОСТ 18465-73ГОСТ 18465-73ГОСТ 18465-73ГОСТ 18465-73ГОСТ 18465-73ГОСТ 18465-73ГОСТ 18465-73ГОСТ 18465-73ГОСТ 18465-73ГОСТ 18465-73ГОСТ 18465-73ГОСТ 18465-73

© 2013 Ёшкин Кот :-) Карта сайта