Скачать ГОСТ 18217-90 Протяжки шпоночные. КонструкцияДата актуализации: 10.08.2017 ГОСТ 18217-90
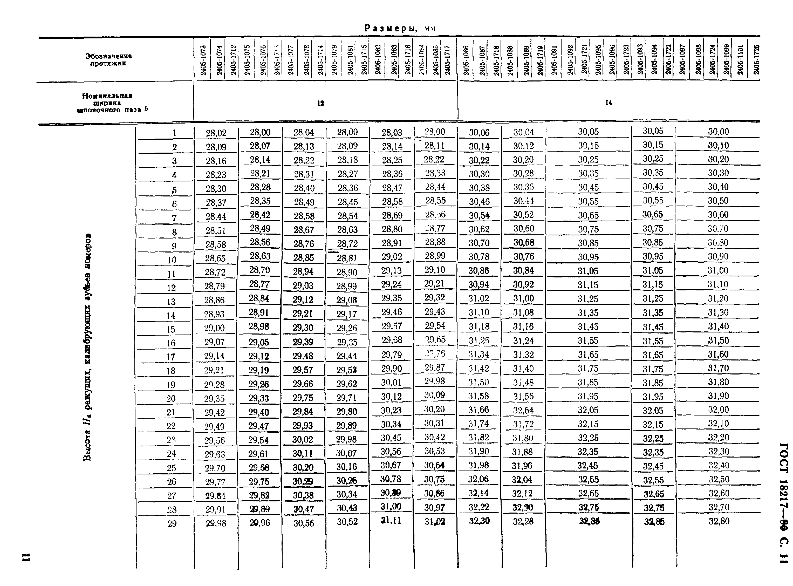
Протяжки шпоночные. Конструкция| Обозначение: | ГОСТ 18217-90 | | Обозначение англ: | GOST 18217-90 | | Статус: | действует | | Название рус.: | Протяжки шпоночные. Конструкция | | Название англ.: | Key broaches. Design | | Дата добавления в базу: | 01.09.2013 | | Дата актуализации: | 05.05.2017 | | Дата введения: | 01.01.1991 | | Оглавление: | Приложение 1 Форма и размеры профиля зубьев Приложение 2 Размеры и расположение стружкоразделительных канавок и фасок | | Утверждён: | 01.02.1990 Госстандарт СССР (USSR Gosstandart 135)
| | Расположен в: |
|
                                              
|