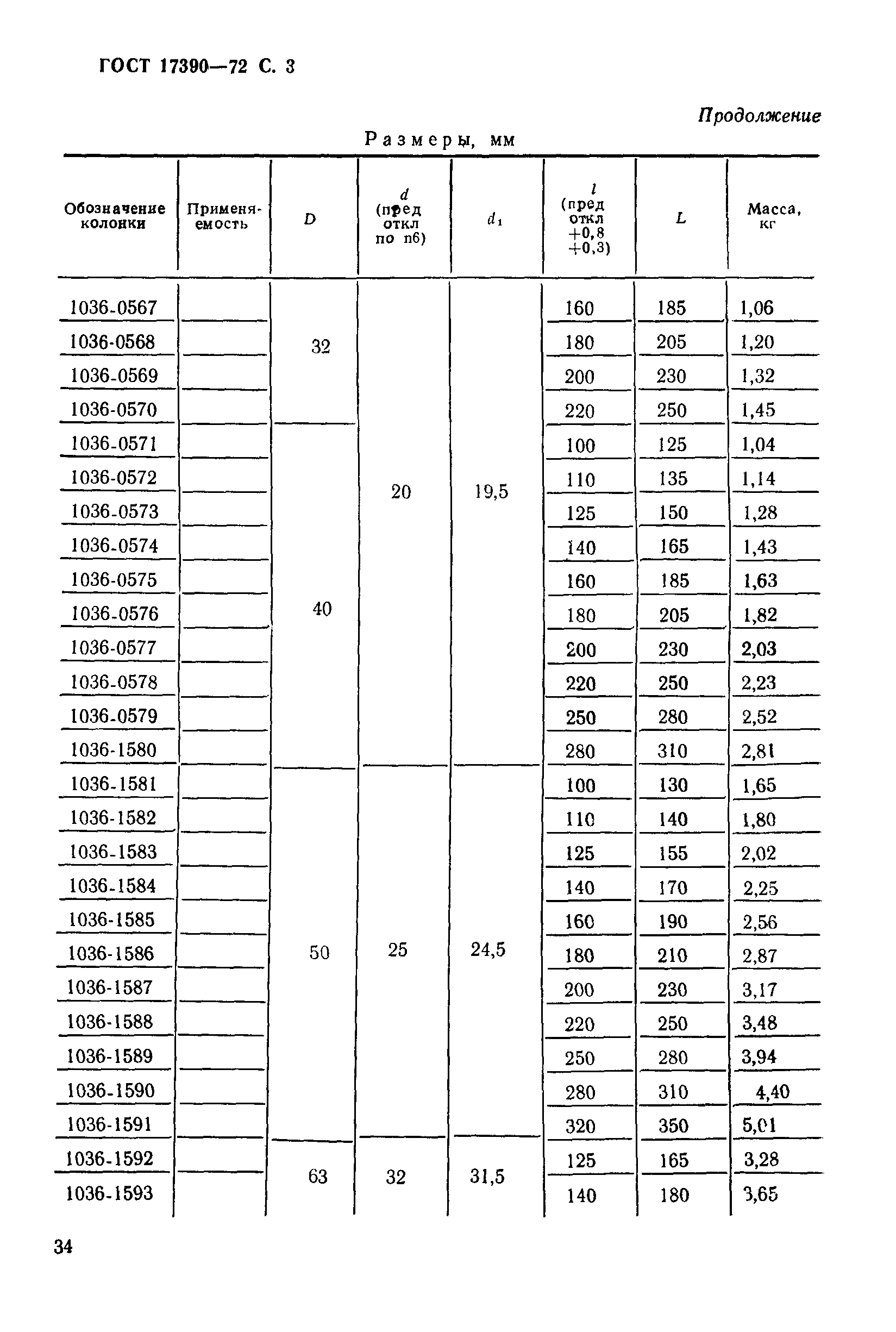
Скачать ГОСТ 17390-72 Колонки опорные пресс-форм и форм для литья под давлением. Конструкция и размерыДата актуализации: 10.08.2017 ГОСТ 17390-72
Колонки опорные пресс-форм и форм для литья под давлением. Конструкция и размеры| Обозначение: | ГОСТ 17390-72 | | Обозначение англ: | GOST 17390-72 | | Статус: | действует | | Название рус.: | Колонки опорные пресс-форм и форм для литья под давлением. Конструкция и размеры | | Название англ.: | Supporting pins of plastics molds and die casting molds. ConstruTION and dimensions | | Дата добавления в базу: | 01.09.2013 | | Дата актуализации: | 05.05.2017 | | Дата введения: | 01.07.1973 | | Утверждён: | 05.01.1972 Госстандарт СССР (USSR Gosstandart 14)
| | Расположен в: |
|
   
|