Информационная система
«Ёшкин Кот»

Скачать базу одним архивом
Скачать обновления
История создания базы
Карта сайта

Скачать ГОСТ 1625-89 Формалин технический. Технические условия

Дата актуализации: 10.08.2017

ГОСТ 1625-89

Формалин технический. Технические условия

Обозначение: ГОСТ 1625-89
Обозначение англ: GOST 1625-89
Статус:взамен
Название рус.:Формалин технический. Технические условия
Название англ.:Formalin for industrial use. Specifications
Дата добавления в базу:01.09.2013
Дата актуализации:05.05.2017
Дата введения:01.01.1991
Дата окончания срока действия:01.07.2017
Область применения:Стандарт распространяется на технический формалин, представляющий собой водометанольный раствор формальдегида, изготовляемый для нужд экономики страны и для экспорта.
Оглавление:1 Технические требования
2 Приемка
3 Методы анализа
4 Транспортирование и хранение
5 Гарантии изготовителя
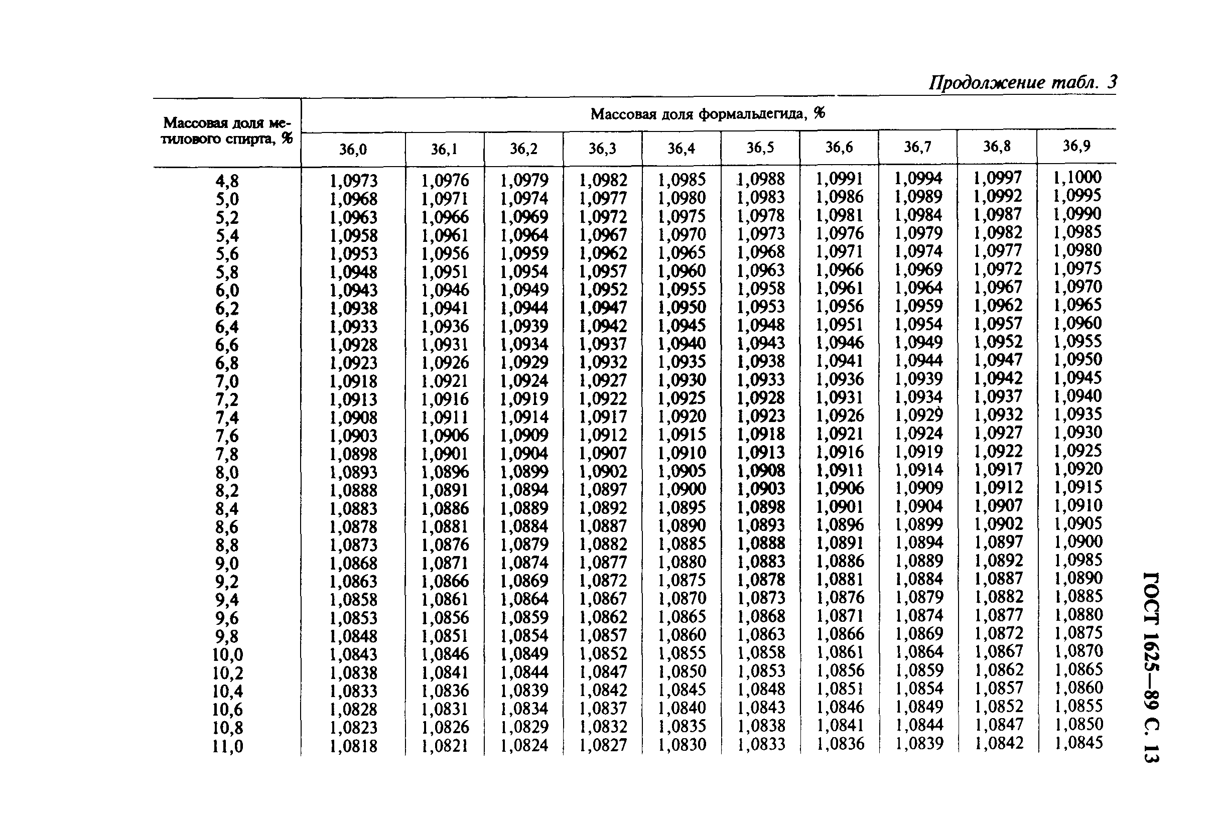
Приложение (обязательное) Массовая доля метилового спирта в формалине (при 20 град по Цельсию)
Разработан: Министерство химической промышленности СССР
Утверждён:13.12.1989 Государственный комитет СССР по управлениию качеством продукции и стандартам (3704)
Издан: Издательство стандартов (1989 г. )
ИПК Издательство стандартов (1997 г. )
Расположен в:Техническая документация Электроэнергия ХИМИЧЕСКАЯ ПРОМЫШЛЕННОСТЬ Органические химические вещества Альдегиды и кетоны Экология ХИМИЧЕСКАЯ ПРОМЫШЛЕННОСТЬ Органические химические вещества Альдегиды и кетоны
Заменяет собой:
Чем заменён:
Нормативные ссылки:
ГОСТ 1625-89ГОСТ 1625-89ГОСТ 1625-89ГОСТ 1625-89ГОСТ 1625-89ГОСТ 1625-89ГОСТ 1625-89ГОСТ 1625-89ГОСТ 1625-89ГОСТ 1625-89ГОСТ 1625-89ГОСТ 1625-89ГОСТ 1625-89ГОСТ 1625-89ГОСТ 1625-89ГОСТ 1625-89ГОСТ 1625-89ГОСТ 1625-89

© 2013 Ёшкин Кот :-) Карта сайта