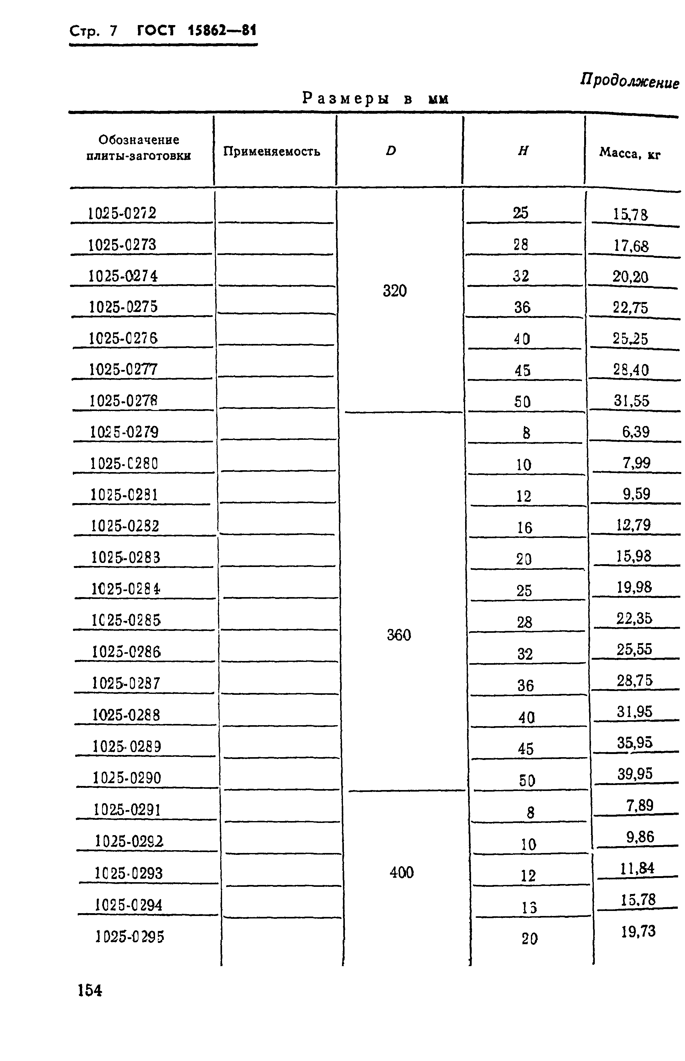
Скачать ГОСТ 15862-81 Плиты-заготовки круглые пакетов штампов листовой штамповки для разделительных операций. Конструкция и размерыДата актуализации: 10.08.2017 ГОСТ 15862-81
Плиты-заготовки круглые пакетов штампов листовой штамповки для разделительных операций. Конструкция и размеры| Обозначение: | ГОСТ 15862-81 | | Обозначение англ: | GOST 15862-81 | | Статус: | действует | | Название рус.: | Плиты-заготовки круглые пакетов штампов листовой штамповки для разделительных операций. Конструкция и размеры | | Название англ.: | Round plates for cutting cold plastic working dies (blanks). Construction and dimensions | | Дата добавления в базу: | 01.09.2013 | | Дата актуализации: | 05.05.2017 | | Дата введения: | 01.01.1982 | | Утверждён: | 25.03.1981 Госстандарт СССР (USSR Gosstandart 1565)
| | Расположен в: |
|
                 
|