Информационная система
«Ёшкин Кот»

Скачать базу одним архивом
Скачать обновления
История создания базы
Карта сайта

Скачать ГОСТ 14823-69 Калибры-пробки гладкие непроходные неполные диаметром свыше 75 до 300 мм. Конструкция и размеры

Дата актуализации: 10.08.2017

ГОСТ 14823-69

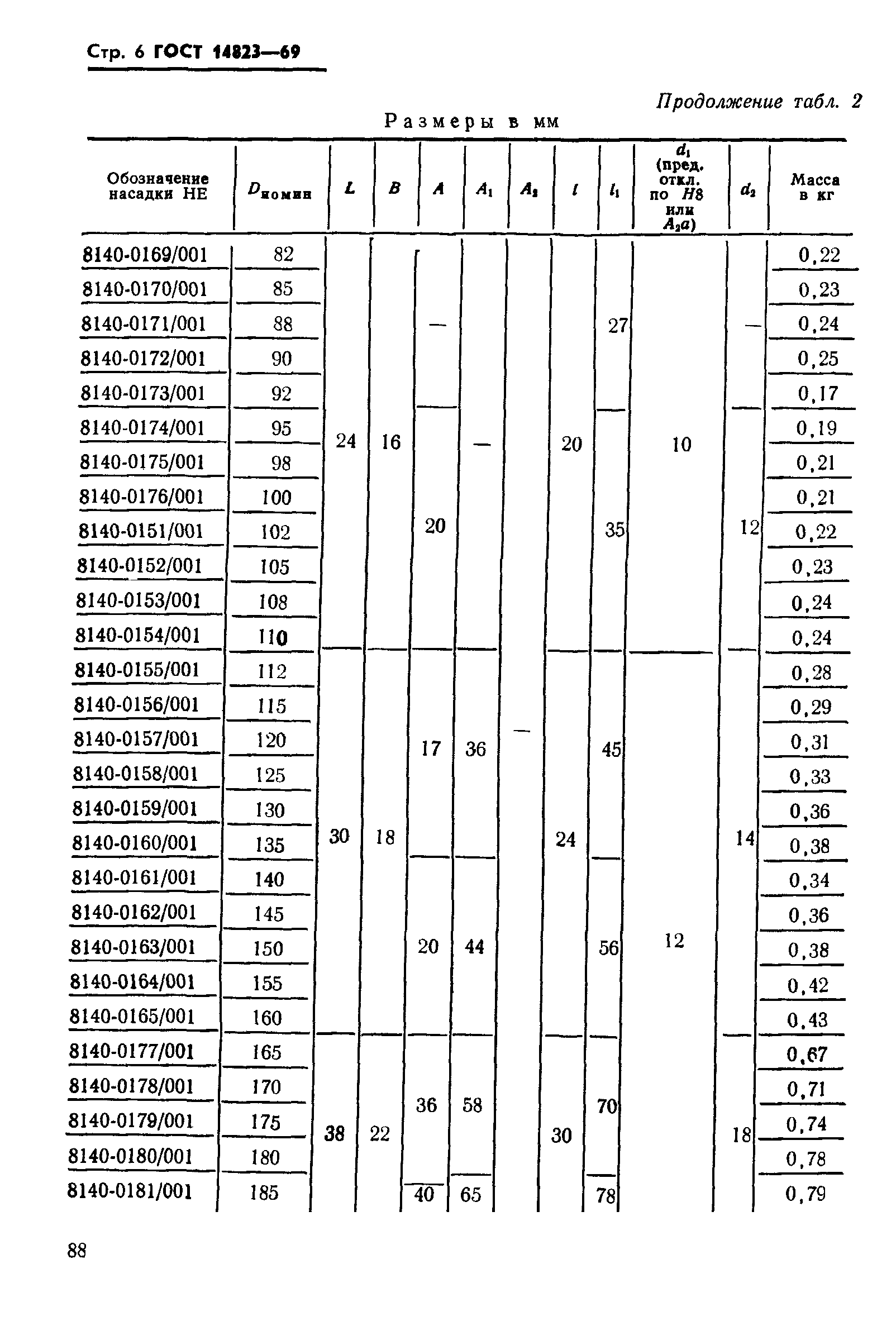
Калибры-пробки гладкие непроходные неполные диаметром свыше 75 до 300 мм. Конструкция и размеры

Обозначение: ГОСТ 14823-69
Обозначение англ: GOST 14823-69
Статус:действует
Название рус.:Калибры-пробки гладкие непроходные неполные диаметром свыше 75 до 300 мм. Конструкция и размеры
Название англ.:Cylindrical plug gauges (not go side). Gauging members of not full form above 75 to 300 mm nominal diameter. Design and dimensions
Дата добавления в базу:01.09.2013
Дата актуализации:05.05.2017
Дата введения:01.01.1971
Область применения:Стандарт распространяется на гладкие непроходные неполные калибры-пробки, предназначенные для контроля отверстий с полями допусков по ЕСДП СЭВ и по системе ОСТ.
Оглавление:1 Конструкция и размеры гладких непроходных неполных калибров-пробок
2 Конструкция и размеры непроходной неполной насадки НЕ (деталь 1)
Утверждён:07.07.1969 Госстандарт СССР (USSR Gosstandart 771)
Расположен в:Техническая документация Электроэнергия МЕТРОЛОГИЯ И ИЗМЕРЕНИЯ. ФИЗИЧЕСКИЕ ЯВЛЕНИЯ Линейные и угловые измерения Измерительные приборы Экология МЕТРОЛОГИЯ И ИЗМЕРЕНИЯ. ФИЗИЧЕСКИЕ ЯВЛЕНИЯ Линейные и угловые измерения Измерительные приборы
Заменяет собой:
  • МН 4134-62
ГОСТ 14823-69ГОСТ 14823-69ГОСТ 14823-69ГОСТ 14823-69ГОСТ 14823-69ГОСТ 14823-69ГОСТ 14823-69ГОСТ 14823-69ГОСТ 14823-69

© 2013 Ёшкин Кот :-) Карта сайта